Công thức Toán 11 Dãy số. Cấp số cộng và cấp số nhân (sách mới)
Tổng hợp công thức Toán 11 Dãy số. Cấp số cộng và cấp số nhân sách mới Kết nối tri thức, Chân trời sáng tạo, Cánh diều như là cuốn sổ tay công thức giúp học sinh lớp 11 nắm vững kiến thức trọng tâm Toán 11 Dãy số. Cấp số cộng và cấp số nhân.
Công thức Toán 11 Dãy số. Cấp số cộng và cấp số nhân (sách mới)
Công thức số hạng tổng quát và tính tổng n số hạng đầu của cấp số cộng
Công thức Số hạng tổng quát và tính tổng n số hạng đầu của cấp số nhân
Xem thêm tổng hợp công thức Toán lớp 11 đầy đủ và chi tiết khác:
- Công thức Giới hạn. Hàm số liên tục
- Công thức Toán 11 Hàm số mũ và hàm số lôgarit
- Công thức Toán 11 Đạo hàm
- Công thức Toán 11 Thống kê & Xác suất
- Công thức Toán 11 Hàm số lượng giác và phương trình lượng giác
- Công thức Toán 11 Quan hệ song song và quan hệ vuông góc
Lưu trữ: Công thức Toán 11 Chương 3 Đại số (sách cũ)
1. Phương pháp quy nạp toán học
Có nhiều cách để chứng minh một biểu thức P(n) đúng. Một trong những cách chính là qui nạp toán học:
Bước 1. Kiểm tra với n = 1 : P(1) đúng hay không.
Bước 2. Giả sử với n = k : P(k) đúng.
Với n = k + 1 , ta chứng minh P(k + 1) đúng.
2. Dãy số
Dãy số (un) là hàm số đi từ đến
. Có 3 cách xác định dãy số: cho số hạng tổng quát; mô tả; cho hệ thức truy hồi.
3. Dãy số tăng - dãy số giảm
+) (un) là dãy số tăng ⇔ un + 1 - u1 > 0,
Khi un > 0, ta có thể dùng
+) (un) là dãy số tăng ⇔ un + 1 - u1 < 0,
Khi un > 0, ta có thể dùng
4. Dãy số bị chặn
+) (un) bị chặn trên ⇔
+) (un) bị chặn dưới ⇔
(un) bị chặn ⇔ u(n) vừa bị chặn trên, vừa bị chặn dưới ⇔
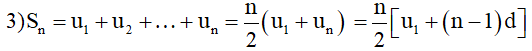
5. Cấp số cộng
Dãy (un) được gọi là CSC nếu thỏa un = un - 1 + d với d không đổi là công sai.
Ta có:
1) un = u1 + (n - 1)d
2) (un) là CSC ⇔ 2un = un - 1 + ub + 1
6. Cấp số nhân
Dãy (un) được gọi là CSN nếu thỏa un = un - 1.q với q không đổi là công bội.
Ta có:
1) un = n1.qn - 1
2) (un) là CSN ⇔ u2n = un - 1.un + 1
4) Sn = n.u1 khi q = 1
Tủ sách VIETJACK shopee lớp 6-8 (2025):
Đã có app VietJack trên điện thoại, giải bài tập SGK, SBT Soạn văn, Văn mẫu, Thi online, Bài giảng....miễn phí. Tải ngay ứng dụng trên Android và iOS.
Theo dõi chúng tôi miễn phí trên mạng xã hội facebook và youtube:Loạt bài 500 Công thức, Định Lí, Định nghĩa Toán, Vật Lí, Hóa học, Sinh học được biên soạn bám sát nội dung chương trình học các cấp.
Nếu thấy hay, hãy động viên và chia sẻ nhé! Các bình luận không phù hợp với nội quy bình luận trang web sẽ bị cấm bình luận vĩnh viễn.
- Đề thi lớp 1 (các môn học)
- Đề thi lớp 2 (các môn học)
- Đề thi lớp 3 (các môn học)
- Đề thi lớp 4 (các môn học)
- Đề thi lớp 5 (các môn học)
- Đề thi lớp 6 (các môn học)
- Đề thi lớp 7 (các môn học)
- Đề thi lớp 8 (các môn học)
- Đề thi lớp 9 (các môn học)
- Đề thi lớp 10 (các môn học)
- Đề thi lớp 11 (các môn học)
- Đề thi lớp 12 (các môn học)
- Giáo án lớp 1 (các môn học)
- Giáo án lớp 2 (các môn học)
- Giáo án lớp 3 (các môn học)
- Giáo án lớp 4 (các môn học)
- Giáo án lớp 5 (các môn học)
- Giáo án lớp 6 (các môn học)
- Giáo án lớp 7 (các môn học)
- Giáo án lớp 8 (các môn học)
- Giáo án lớp 9 (các môn học)
- Giáo án lớp 10 (các môn học)
- Giáo án lớp 11 (các môn học)
- Giáo án lớp 12 (các môn học)


Giải bài tập SGK & SBT
Tài liệu giáo viên
Sách
Khóa học
Thi online
Hỏi đáp

