Đề cương ôn tập Học kì 2 Vật Lí 11 năm 2025
Đề cương ôn tập Học kì 2 Vật Lí 11 năm 2025
Với mục đích giúp học sinh có kế hoạch ôn tập hiệu quả từ đó đạt điểm cao trong các bài thi, bài kiểm tra môn Vật Lí 11, VietJack biên soạn loạt bài đề cương ôn tập Vật Lí 11 Học kì 2 theo cấu trúc mới sách mới Kết nối tri thức, Chân trời sáng tạo, Cánh diều. Đề cương sẽ tóm tắt các nội dung chính, quan trọng cần ôn tập cũng như đưa ra các bài tập chọn lọc, điển hình giúp bạn ôn tập môn Vật Lí 11 hiệu quả.
A. LÝ THUYẾT CẦN NẮM
CHƯƠNG IV. TỪ TRƯỜNG
1. Tính hút đẩy
- Hai nam châm cùng cực thì đẩy nhau, khác cực thì hút nhau. (giống điện tích).
- Hai dòng điện cùng chiều thì đẩy nhau, ngược chiều thì hút nhau. (khác điện tích).
2. Lực từ tác dụng lên dây dẫn mang dòng điện
+ Điểm đặt: Tại trung điểm đoạn dây dẫn đang xét.
+ Phương: vuông góc với mặt phẳng chứa đoạn dòng điện và cảm ứng từ - tại điểm khảo sát.
+ Chiều lực từ: Quy tắc bàn tay trái.
Đặt bàn tay trái duỗi thẳng để các đường cảm ứng từ xuyên vào lòng bàn tay và chiều từ cổ tay đến ngón tay trùng với chiều dòng điện. Khi đó ngón tay cái choãi ra 90o sẽ chỉ chiều của lực từ tác dụng lên đoạn dây dẫn.
+ Độ lớn (Định luật Am-pe) F = BIℓ sin α
3. Từ trường của dòng điện chạy trong dây dẫn có hình dạng đặc biệt
a. Từ trường của dòng điện chạy trong dây dẫn thẳng dài:
Vectơ cảm ứng từ  tại một điểm được xác định:
- Điểm đặt tại điểm đang xét.
- Phương tiếp tuyến với đường sức từ.
- Chiều được xác định theo quy tắc nắm tay phải.
- Độ lớn: 
R: Khoảng cách từ điểm xét tới dòng điện.
I: Cường độ dòng điện.
b. Từ trường của dòng điện chạy trong dây dẫn uốn thành vòng tròn:
Vectơ cảm ứng từ tại tâm vòng dây được xác định:
- Phương vuông góc với mặt phẳng vòng dây
- Chiều là chiều của đường sức từ được xác định theo quy tắc nắm bàn tay phải: Khum bàn tay phải theo vòng dây của khung dây sao cho chiều từ cổ tay đến các ngón tay trùng với chiều của dòng điện trong khung, ngón tay cái choải ra chỉ chiều đương sức từ xuyên qua mặt phẳng dòng điện.
- Độ lớn: 
R: Bán kính của khung dây dẫn.
I: Cường độ dòng điện.
N: Số vòng dây.
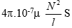
c. Từ trường của dòng điện chạy trong ống dây dẫn
Từ trường trong ống dây là từ trường đều. Vectơ cảm ứng từ  được xác định
- Phương song song với trục ống dây
- Chiều là chiều của đường sức từ được xác định theo quy tắc nắm tay phải
 - Độ lớn:      
: Số vòng dây trên 1m, N là tổng số vòng dây, ℓ là chiều dài ống dây
4. Từ trường của nhiều dòng điện
Nguyên lí chồng chất: Vectơ cảm ứng từ tại một điểm do nhiều dòng điện gây ra bằng tổng các vectơ cảm ứng từ do từng dòng điện gây ra tại điểm ấy.
5. Lực Lorenxơ
a. Lực Lorenxơ là lực từ tác dụng lên điện tích chuyển động trong từ trường, kết quả là làm bẻ cong (lệch hướng) chuyển động của điện tích
- Điểm đặt tại điện tích chuyển động.
- Phương vuông góc với mặt phẳng chứa  và 
.
- Chiều tuân theo quy tắc bàn tay trái: Đặt bàn tay trái duỗi thẳng để các đường cảm ứng từ xuyên vào lòng bàn tay và chiều từ cổ tay đến ngón tay trùng với chiều dòng điện. Khi đó ngón tay cái choãi ra 90o sẽ chỉ chiều của lực Lo-ren-xơ nếu hạt mang điện dương và nếu hạt mang điện âm thì chiều ngược lại
 - Độ lớn của lực Lorenxơ: f = |q0|vBsin α với α là góc tạo bởi  và 
.
b. Chuyển động của hạt điện tích trong từ trường đều
Chuyển động của hạt điện tích là chuyển động phẳng trong mặt phẳng vuông góc với từ trường (với điều kiện vận tốc ban đầu vuông góc với từ trường).
Quỹ đạo của một hạt điện tích là một đường tròn nằm trong mặt phẳng vuông góc với từ trường, có bán kính:  
Với R là bán kính cong của quỹ đạo.
CHƯƠNG V. CẢM ỨNG ĐIỆN TỪ
1. Từ thông qua diện tích S
- Số đường sức từ xuyên qua một mạch kín (C) gọi là từ thông:
Trong hệ SI, đơn vị từ thông là vêbe (Wb): 1Wb = 1T.1m2
Chú ý: Từ thông qua N vòng dây: Φ = NBScosα
2. Cảm ứng điện từ
+ Khi từ thông qua một mạch kín (C) biến thiên thì trong (C) xuất hiện dòng điện cảm ứng.
+ Dòng điện cảm ứng có chiều sao cho từ trường cảm ứng có tác dụng chống lại sự biến thiên của từ thông ban đầu qua (C). Nói riêng, khi từ thông qua (C) biến thiên do một chuyển động nào đó gây ra thì từ trường cảm ứng có tác dụng chống lại chuyển động nói trên.
3. Suất điện động cảm ứng
+ Khi từ thông qua một mạch kín (C) biến thiên thì trong mạch kín đó xuất hiện suất điện động cảm ứng ec và do đó tạo ra dòng điện cảm ứng.
+ Độ lớn suất điện động cảm ứng trong một đoạn dây chuyển động:
 
2. Tự cảm
+ Từ thông riêng qua ống dây: Φ = L.i
Với L là độ tự cảm của cuộn dây L =  (H)
+ Suất điện động tự cảm:   (V)
(dấu trừ biểu thị cho định luật Lenx)
4. Năng lượng từ trường trong ống dây: W = 0,5L.i2 (J)
...................................................................................................................................................................................................................
Tủ sách VIETJACK shopee lớp 6-8 (2025):
Đã có app VietJack trên điện thoại, giải bài tập SGK, SBT Soạn văn, Văn mẫu, Thi online, Bài giảng....miễn phí. Tải ngay ứng dụng trên Android và iOS.
Theo dõi chúng tôi miễn phí trên mạng xã hội facebook và youtube:Loạt bài 500 Công thức, Định Lí, Định nghĩa Toán, Vật Lí, Hóa học, Sinh học được biên soạn bám sát nội dung chương trình học các cấp.
Nếu thấy hay, hãy động viên và chia sẻ nhé! Các bình luận không phù hợp với nội quy bình luận trang web sẽ bị cấm bình luận vĩnh viễn.
- Đề thi lớp 1 (các môn học)
- Đề thi lớp 2 (các môn học)
- Đề thi lớp 3 (các môn học)
- Đề thi lớp 4 (các môn học)
- Đề thi lớp 5 (các môn học)
- Đề thi lớp 6 (các môn học)
- Đề thi lớp 7 (các môn học)
- Đề thi lớp 8 (các môn học)
- Đề thi lớp 9 (các môn học)
- Đề thi lớp 10 (các môn học)
- Đề thi lớp 11 (các môn học)
- Đề thi lớp 12 (các môn học)
- Giáo án lớp 1 (các môn học)
- Giáo án lớp 2 (các môn học)
- Giáo án lớp 3 (các môn học)
- Giáo án lớp 4 (các môn học)
- Giáo án lớp 5 (các môn học)
- Giáo án lớp 6 (các môn học)
- Giáo án lớp 7 (các môn học)
- Giáo án lớp 8 (các môn học)
- Giáo án lớp 9 (các môn học)
- Giáo án lớp 10 (các môn học)
- Giáo án lớp 11 (các môn học)
- Giáo án lớp 12 (các môn học)
 
    
						
 
						
 
						


 
 Giải bài tập SGK & SBT
		                    Giải bài tập SGK & SBT
		                 Tài liệu giáo viên
		                    Tài liệu giáo viên
		                 Sách
		                    Sách
		                 Khóa học
		                    Khóa học
		                 Thi online
		                    Thi online
		                 Hỏi đáp
		                    Hỏi đáp
		                
