Sở Giáo dục và Đào tạo .....
Đề kiểm tra trắc nghiệm Học kì 1
Môn: Vật lí 10
Thời gian làm bài: 45 phút
(Đề 1)
Câu 1: Trường hợp nào dưới đây có thể coi vật chuyển động như một chất điểm ?
A. Người nhảy cầu lúc đang rơi xuống nước.
B. Chiếc ô tô trong bến xe.
C. Hai hòn bi lúc va chạm với nhau.
D. Giọt nước mưa lúc đang rơi.
Câu 2: Đặc điểm nào dưới đây không phải là đặc điểm của vật chuyển động rơi tự do?
A. Chuyển động theo phương thẳng đứng, chiều từ trên xuống dưới.
B. Chuyển động nhanh dần đều.
C. Tại một vị trí xác định và ở gần mặt đất, mọi vật rơi tự do như nhau.
D. Công thức tính vận tốc v = g.t2
Câu 3: Lò xo có chiều dài ℓ0 = 60cm và có độ cứng k0. Cắt lò xo thành hai lò xo có chiều dài ℓ1 = 20cm và ℓ2 = 40cm với độ cứng của hai lò xo này lần lượt là k1, k2. Phát biểu nào sau đây là đúng ?
A. k0 = k1 = k2
B. k0 > k1 > k2.
C. k0 < k1 < k2.
D. k0 < k2 < k1.
Câu 4: Khi nói về một vật chịu tác dụng của lực, phát biểu nào sau đây đúng?
A. Khi không có lực tác dụng, vật không thể chuyển động.
B. Khi ngừng tác dụng lực lên vật, vật này sẽ dừng lại.
C. Gia tốc của vật luôn cùng chiều với chiều của lực tác dụng.
D. Khi có tác dụng lực lên vật, vận tốc của vật tăng.
Câu 5: Một hòn đá rơi tự do từ một điểm cách mặt đất 45m, tại nơi có gia tốc trọng trường g = 10 m/s2. Vận tốc của hoà đá ngay trước khi chạm đất là
A. 20m/s
B. 30m/s
C. 45m/s
D. 90m/s
Câu 6: Khi đang đi xe đạp trên đường nằm ngang, nếu ta ngừng đạp, xe vẫn tự di chuyển. Đó là nhờ
A. trọng lượng của xe
B. lực ma sát nhỏ.
C. quán tính của xe.
D. phản lực của mặt đường.
Câu 7: Một vật chuyển động tròn đều thì
A. Cả tốc độ dài và gia tốc đều không đổi.
B. Tốc độ dài của nó thay đổi, gia tốc không đôỉ
C. Tốc độ dài của nó không đổi, gia tốc thay đổi.
D. Cả tốc độ dài và gia tốc đều thay đổi.
Câu 8: Độ lớn F của hợp lực
hợp với nhau góc α là:
Câu 9: Một người dùng búa để nhổ một chiếc đinh (hình vẽ). Khi người ấy tác dụng một lực 50 N vào đầu búa thì đinh bắt đầu chuyển động. Lực cản của gỗ tác dụng vào đinh là
A. 1000 N
B. 500 N
C. 2000 N
D. 200 N
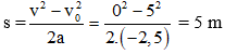
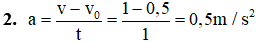
Câu 10: Một mẩu gỗ có khối lượng m = 250 g đặt trên sàn nhà nằm ngang. Người ta truyền cho nó một vận tốc tức thời v0 = 5 m/s. Tính thời gian để mẩu gỗ dừng lại và quãng đường nó đi được cho tới lúc đó. Hệ số ma sát trượt giữa mẩu gỗ và sàn nhà là µt = 0,25. Lấy g = 10 m/s2.
A. 1 s, 5 m.
B. 2 s, 5 m.
C. 1 s, 8 m.
D. 2 s, 8 m.
Câu 11: Một chiếc xe đua lượn vòng trên vòng tròn bán kính r . Nếu tốc độ dài của xe tăng gấp đôi và bán kính của vòng tròn giảm đi một nửa thì gia tốc hướng tâm của xe
A. không đổi
B. tăng 2 lần
C. tăng 8 lần
D. giảm 2 lần
Câu 12: Điều nào sau đây không đúng khi nói về chuyển động của vật ném ngang ?
A. Quỹ đạo của chuyển động ném ngang là đường thẳng.
B. Vectơ vận tốc tại mỗi điểm trùng với tiếp tuyến với quỹ đạo tại điểm đó.
C. Lực duy nhất tác dụng vào vật là trọng lực (bỏ qua sức cản của không khí).
D. Tầm xa của vật phụ thuộc vào vận tốc ban đầu.
Câu 13: Điều kiện cân bằng của vật có mặt chân đế là
A. vị trí trọng tâm không thay đổi
B. giá của trọng lực phải xuyên qua mặt chân đế
C. mặt chân đế của vật phải có diện tích đủ lớn
D. kích thước của vật phải đủ lớn
Câu 14: Xe máy đang chuyển động thẳng đều với vận tốc 72km/h. Bán kính bánh xe bằng 25cm. Gia tốc hướng tâm tại một điểm trên vành bánh xe bằng
A. 400 m/s2
B. 800 m/s2
C. 160 m/s2
D. 1600 m/s2
Câu 15: Trường hợp nào sau đây không liên quan đến tính quán tính của vật ?
A. khi áo có bụi ta giũ mạnh, áo sẽ sạch bụi.
B. bút máy tắc mực, ta vẩy cho mực ra
C. khi lái xe tăng ga, xe lập tức tăng tốc
D. khi đang chạy nếu bị vấp, người sẽ ngã về phía trước.
Câu 16: Phát biểu không đúng là
A. Động lượng là một đại lượng vectơ.
B. Xung của lực là một đại lượng vectơ.
C. Động lượng tỉ lệ với khối lượng vật.
D. Động lượng của vật trong chuyển động tròn đều là không đổi.
Câu 17: Một vật có khối lượng 2 kg rơi tự do xuống đất với g = 10m/s2, trong khoảng thời gian 0,5s. Độ biến thiên động lượng của vật trong khoảng thời gian đó bằng
A. 5,0 kg.m/s.
B. 10 kg.m/s.
C. 4,9 kg.m/s.
D. 0,5 kg.m/s.
Câu 18: Khối lượng súng là 4kg và của đạn là 25g. Lúc thoát khỏi nòng súng, đạn có vận tốc 800m/s. Vận tốc giật lùi của súng là
A. 6m/s
B. 7m/s
C. 5m/s
D. 12m/s
Câu 19: Một người kéo một thùng hàng chuyển động, lực tác dụng vào người làm người đó chuyển động về phía trước là
A. lực của người kéo tác dụng vào mặt đất.
B. lực của mà thùng hàng tác dụng vào người kéo.
C. lực của người kéo tác dụng vào thùng hàng.
D. lực mặt đất tác dụng vào bàn chân người kéo.
Câu 20: Đồ thị vận tốc theo thời gian của chuyển động thẳng như hình vẽ. Chuyển động thẳng nhanh dần đều là đoạn
A. MN.
B. NO.
C. OP.
D. PQ.
Câu 21: Một vật được ném ngang ở độ cao 45 m so với mặt đất. Bỏ qua sức cản của không khí và lấy g = 10 m/s2. Thời gian vật rơi tới khi chạm đất là
A.
.
B. 4,5 s.
C. 9 s.
D. 3 s.
Câu 22 Các lực tác dụng lên một vật gọi là cân bằng khi
A. hợp lực của tất cả các lực tác dụng lên vật bằng không.
B. hợp lực của tất cả các lực tác dụng lên vật là hằng số.
C. vật chuyển động với gia tốc không đổi.
D. vật đứng yên.
Câu 23: Điều nào sau đây là sai khi nói về phép tổng hợp lực?
A. Tổng hợp lực là phép thay thế nhiều lực tác dụng đồng thời vào một vật bằng một lực có tác dụng giống hệt như toàn bộ các lực ấy.
B. Phép tổng hợp lực có thể thực hiện bằng quy tắc hình bình hành.
C. Độ lớn của hợp lực luôn bằng tổng độ lớn của các lực thành phần.
D. Về mặt toán học, phép tổng hợp lực thực chất là phép cộng tát cả các vectơ lực thành phần.
Câu 24: Lực ma sát trượt xuất hiện khi
A. vật đặt trên mặt phẳng nghiêng
B. vật bị biến dạng
C. vật chịu tác dụng của ngoại lực nhưng nó vẫn đứng yên
D. vật trượt trên bề mặt nhám của vật khác
Câu 25: Hai xe chạy ngược chiều đến gặp nhau, cùng khởi hành một lúc từ hai địa điểm A và B cách nhau 120km. Vận tốc của xe đi từ A là 40 km/h, của xe đi từ B là 20 km/h. Phương trình chuyển động của hai xe khi chọn trục toạ độ 0x hướng từ A sang B, gốc
là
A. xA = 40t (km); xB = 120 + 20t (km)
B. xA = 40t (km); xB = 120 – 20t (km)
C. xA = 120 + 40t (km); xB = 20t (km)
D. xA = 120 – 40t (km); xB = 20t (km)
Câu 26 Vòi vặn nước có hai tai vặn. Tác dụng của các tai này là gì?
A. Tăng độ bền của đai ốc
B. Tăng mômen của ngẫu lực
C. Tăng mômen lực
D. Đảm bảo mỹ thuật
Câu 27: Trong ba vật bằng sắt dưới đây, vật ở hình nào có cân bằng bền hơn cả ?
A. Hình c
B. Ba hình cân bằng như nhau
C. Hình a
D. Hình b
Câu 28: Trọng tâm của vật trùng với tâm hình học của nó khi nào?
A. Vật có dạng hình học đối xứng.
B. Vật có dạng là một khối cầu.
C. Vật đồng tính, có dạng hình học đối xứng.
D. Vật đồng tính.
Câu 29: Một vòng tròn có thể quay quanh trục đối xứng O. Khi có một lực
tác dụng lên vòn tròn tại điểm K theo hướng được biểu diễn trên hình vẽ bên, thì giá trị của momen lực tính theo trục O của lực này bằng
A. F.OK.
B. F.KL.
C. F.OL.
D. F.KM.
Câu 30: Hình vẽ sau nêu sự phụ thuộc của lực đàn hồi vào độ dãn của một lò xo.Độ dãn của lò xo khi lực đàn hồi bằng 25N là:
A. 2cm.
B. 2,5cm.
C. 2,7cm.
D. 2,8cm.
Câu 31: Khi nói về lực hấp dẫn giữa hai chất điểm, phát biểu nào sau đây sai?
A. Lực hấp dẫn có phương trùng với đường thẳng nối hai chất điểm.
B. Lực hấp dẫn có điểm đặt tại mỗi chất điểm.
C. Lực hấp dẫn của hai chất điểm là cặp lực trực đối.
D. Lực hấp dẫn của hai chất điểm là cặp lực cân bằng.
Câu 32: Hành khách ngồi trên xe ôtô đang chuyển động, xe bất ngờ rẽ sang phải. Theo quán tính hành khách sẽ
A. nghiêng sang phải.
B. nghiêng sang trái.
C. ngả người về phía sau.
D. chúi người về phía trước.
Câu 33: Nếu bán kính của hai quả cầu đồng chất và khoảng cách giữa tâm của chúng cùng giảm đi 2 lần, thì lực hấp dẫn giữa chúng thay đổi như thế nào ?
A. giảm 8 lần.
B. giảm 16 lần.
C. tăng 2 lần.
D. không thay đổi.
Câu 34: Một chất điểm có trọng lượng P đặt trên mặt phẳng nghiêng góc α so với phương ngang. Áp lực của chất điểm lên mặt phẳng nghiêng là
A. P.
B. P sinα.
C. P cosα
D. 0.
Câu 35: Trong môn trượt tuyết, một vận động viên sau khi trượt trên đoạn đường dốc thì trượt ra khỏi dốc theo phương ngang ở độ cao 90 m so với mặt đất. Người đó bay xa được 180 m trước khi chạm đất. Hỏi tốc độ của vận động viên đó ngay trước khi chạm đất là bao nhiêu ? Lấy g = 9,8 m/s2.
A. 45 m/s.
B. 60 m/s.
C. 42 m/s.
D. 90 m/s.
Câu 36: Khối gỗ hình hộp hình chữ nhật có tiết diện thẳng là hình chữ nhật ABCD vơi AB = 20 cm, AD = 10 cm đặt trên mặt phẳng nghiêng góc α như hình vẽ. Giả thiết ma sát đủ lớn để không xảy ra sự trượt. Tìm α lớn nhất để khối hộp không bị lật.
A. 63,4°.
B. 30°.
C. 60°.
D. 26,6°.
Câu 37: Khi chế tạo các bộ phận bánh đà, bánh ôtô.... người ta phải cho trục quay đi qua trọng tâm vì
A. chắc chắn, kiên cố.
B. làm cho trục quay ít bị biến dạng.
C. để làm cho chúng quay dễ dàng hơn.
D. để dừng chúng nhanh khi cần.
Câu 38: Một xe có khối lượng 1600 kg chuyển động trên đường cua tròn có bán kính r = 100 m với vận tốc không đổi 72 km/h. Hỏi giá trị của hệ số ma sát giữa lốp xe và mặt đường ít nhất bằng bao nhiêu để xe không trượt. Lấy g = 10 m/s2.
A. 0,35.
B. 0,26.
C. 0,33.
D. 0,4.
Câu 39: Phương trình chuyển động của một vật chuyển động biến đổi đều có dạng: x = 5 + 2t + 0,25t2 (x tính bằng m; t tính bằng giây). Phương trình vận tốc của vật đó là (v đo bằng m/s)
A. v = -2 + 0,5t.
B. v = -2 + 0,25t.
C. v = 2 + 0,5t.
D. v = 2 + 0,25t.
Câu 40: Vòng xiếc là một vành tròn bán kính R = 8 m, nằm trong mặt phẳng thẳng đứng. Một người đi xe đạp trên vòng xiếc này, khối lượng cả xe và người là 80 kg. Lấy g = 9,8 m/s2, tính lực ép của xe lên vòng xiếc tại điểm cao nhất với vận tốc tại điểm này là v = 10 m/s.
A. 164 N.
B. 186 N.
C. 254 N.
D. 216 N..
Đáp án & Hướng dẫn giải
Câu 1: Chọn D.
Giọt nước mưa đang rơi có kích thước rất nhỏ so với quãng đường rơi nên được coi như một chất điểm.
Câu 2: Chọn D.
+ Chuyển động rơi tự do là chuyển động thẳng nhanh dần đều theo phương thẳng đứng, chiều từ trên xuống dưới. Tại một nơi nhất định trên Trái Đất và ở gần mặt đất, mọi vật đều rơi tự do với cùng gia tốc g.
+ Công thức của sự rơi tự do:
Câu 3: Chọn D
Từ 1 lò xo cắt ra thì lò xo có chiều dài càng ngắn thì có độ cứng càng lớn → D đúng
Câu 4: Chọn C.
Định luật II Niu-tơn
Gia tốc của một vật cùng hướng với lực tác dụng lên vật. Độ lớn của gia tốc tỉ lệ thuận với độ lớn của lực và tỉ lệ nghịch với khối lượng của vật:
Câu 5: Chọn B
Vận tốc của hòn đá ngay trước khi chạm đất là:
Câu 6: Chọn C
Định luật I niu tơn => Khi đang đi xe đạp trên đường nằm ngang, nếu ta ngừng đạp, xe vẫn tự di chuyển. Đó là nhờ quán tính của xe.
Câu 7: Chọn C
Tốc độ dài không đổi nhưng gia tốc của nó thay đổi về hướng (luôn hướng tâm), chỉ có độ lớn của gia tốc là không đổi.
Chú ý: Hướng của vectơ gia tốc trong chuyển động tròn đều luôn hướng vào tâm quỹ đạo nên gọi là gia tốc hướng tâm
Câu 8: Chọn A.
Hai lực thành phần hợp nhau góc α bất kỳ thì hợp lực F tuân theo quy tắc hình bình hành
Câu 9: Chọn B
Gọi dF là cánh tay đòn của lực
; dc là cánh tay đòn của lực cản gỗ.
dF = 20 cm = 0,2 m
dc = 2 cm = 0,02 m.
Áp dụng quy tắc Momen lực:
Câu 10: Chọn B
Ta có Fms = µP = µmg →
Áp dụng công thức độc lập thời gian ta có:
Ta có v = vo + at → Thời gian mẫu gỗ chuyển động:
Câu 11: Chọn C.
Câu 12: Chọn A
Quỹ đạo chuyển động của một vật được ném theo phương ngang là một đường Parabol có phương trình là
Câu 13: Chọn B
Điều kiện cân bằng của vật rắn có mặt chân đế là đường thẳng đứng đi qua trọng tâm của vật gặp mặt chân đế → Giá của trọng lực phải xuyên qua mặt chân đế
Câu 14: Chọn D.
Ta có: v = 72 km/h = 20 m/s
Vận tốc xe máy chuyển động (không trượt) chính là tốc độ dài tại một điểm trên vành bánh xe.
Câu 15: Chọn C
Quán tính là tính chất của mọi vật có xu hướng bảo toàn vận tốc cả về hướng và độ lớn → khi lái xe tăng ga, xe lập tức tăng tốc không liên quan đến quán tính
Câu 16: Chọn D.
Trong chuyển động tròn đều tuy vận tốc có độ lớn không đổi nhưng phương chiều luôn thay đổi nên động lượng luôn thay đổi về phương và chiều.
Câu 17: Chọn B
Theo mối liên hệ giữa động lượng và xung lượng của lực:
Lực ở đây chính là trọng lực
Vậy ta được độ biến thiên động lượng của vật trong khoảng thời gian 0,5s là
Câu 18: Chọn C
Áp dụng công thức bảo toàn động lượng cho hệ kín (súng + đạn) khi bắn
Phương trình bảo toàn véctơ động lượng cho hệ:
Độ lớn vận tốc giật lùi của súng là:
Câu 19: Chọn D.
Một người kéo một thùng hàng chuyển động, lực tác dụng vào người làm người đó chuyển động về phía trước là lực mặt đất tác dụng vào bàn chân người kéo.
Câu 20: Chọn D
Đoạn MN vật chuyển động đều.
Đoạn NO vật chuyển động chậm dần đều.
Đoạn OP vật chuyển động đều.
Đoạn PQ vật chuyển động nhanh dần đều.
Câu 21: Chọn D
Thời gian vật rơi tới khi chạm đất là:
Câu 22: Chọn A
Các lực tác dụng lên một vật là cân bằng khi hợp lực của tất cả các lực tác dụng lên vật bằng không.
Câu 23: Chọn C
Phát biểu: “Độ lớn của hợp lực luôn bằng tổng độ lớn của các lực thành phần” là sai. Vì:
Hợp lực của nhiều lực được xác định theo qui tắc của hình bình hành, chỉ có trường hợp các lực thành phần đều cùng phương, cùng chiều với nhau thì C mới xảy ra.
Câu 24: Chọn D
Lực ma sát trượt
Điều kiện xuất hiện: Lực ma sát trượt xuất hiện khi một vật trượt trên mặt một vật khác và có tác dụng cản trở lại chuyển động trượt của vật.
Đặc điểm của lực ma sát trượt:
+ Gốc: trên vật chuyển động trượt (chỗ tiếp xúc).
+ Phương: song song (tiếp tuyến) với mặt tiếp xúc.
Câu 25: Chọn B
Chọn gốc tọa độ tại A : xo1 = 0, xo2 = 120 km
Chọn gốc thời gian lúc 2 xe cùng xuất phát.
Chiều dương hướng từ A sang B : vA = 40 km/h, vB = -20 km/h
Phương trình chuyển động của 2 xe:
Câu 26: Chọn B
Tác dụng của chai tai vặn là tạo ra hệ hai lực song song, ngược chiều, có độ lớn bằng nhau cùng tác dụng vào một vật gọi là ngẫu lực.
Câu 27: Chọn D
Hình b cân bằng bền hơn các hình khác do có trọng tâm ở vị trí thấp hơn và có diện tích mặt chân đế lớn hơn.
Câu 28: Chọn C
Trọng tâm của vật trùng với tâm hình học của nó khi vật đồng tính, có dạng hình học đối xứng
Câu 29: Chọn C.
Ta thấy giá của lực
vuông góc với OL tại L nên giá trị của momen lực tính theo trục O của lực này bằng: MF/O = F.OL
Câu 30: Chọn A
Đồ thị suy ra:
Câu 31: Chọn D.
Lực hấp dẫn giữa hai chất điểm bất kì tỉ lệ thuận với tích hai khối lượng của chúng và tỉ lệ nghịch với bình phương khoảng cách giữa chúng
Trong đó:
gọi là hằng số hấp dẫn.
Phạm vị áp dụng định luật:
- Khoảng cách giữa các vật rất lớn so với khoảng cách giữa chúng (chất điểm).
- Các vật đồng chất hình cầu. Khi đó r là khoảng cách giữa hai tâm.
nên lực hấp dẫn giữa hai chất điểm có cùng phương trùng với đường thẳng nối hai chất điểm, là cặp lực trực đối.
Câu 32: Chọn B
Theo quán tính vật có xu hướng giữ nguyên chuyển động nên người nghiêng sang trái.
Câu 33: Chọn B
Ban đầu lực hấp dẫn giữa hai vật là
Khi bán kính của hai quả cầu và khoảng cách giữa chúng giảm 2 lần thì có:
- Thể tích quả cầu đồng chất
=> R' = r/2 => V' = V/8 => m' = m/8 và r' = r/2
=> Lực hấp dẫn giữa hai vật :
=> lực hấp dẫn bị giảm 16 lần.
Câu 34: Chọn C
Phân tích
theo phương song song và vuông góc với mặt phẳng nghiêng.
Dễ dàng tính được áp lực lên mặt phẳng nghiêng F2 = P cosα
Câu 35: Chọn B
Tầm bay xa của vận động viên là:
Phương trình vận tốc
Tốc độ của vận động viên ngay trước khi chạm đất là:
Câu 36: Chọn D
Để khối gỗ không bị lật thì giá của trọng lực phải rơi trên mặt chân đế BC. Khi khối gỗ bắt đầu lật thì
có giá đi qua C như hình vẽ:
Từ hình vẽ ta có:
Câu 37: Chọn B
Để hạn chế trục quay bị biến dạng do momen lực gây ra, khi chế tạo các bộ phận bánh đà, bánh ôtô.... người ta phải cho trục quay đi qua trọng tâm.
Câu 38: Chọn D
Đổi 72 km/h = 20 m/s.
Xe chuyển động tròn đều nên
đóng vai trò là lực hướng tâm.
Để xe không trượt trên đường thì:
Câu 39: Chọn C.
Ta có phương trình chuyển động của một vật chuyển động biến đổi đều là:
Phương trình vận tốc của vật là: v = v0 + at = 2 + 0,5t
Câu 40: Chọn D
Tại điểm cao nhất của vòng xiếc có các lực tác dụng lên xe là trọng lực
của vòng xiếc.
Ta có:
Gọi
là lực ép của người đi xe lên vòng xiếc, ta có:
N’ = N = mv2/R - mg = 80.102/8 – 80.9,8 = 216 N.
Sở Giáo dục và Đào tạo .....
Đề kiểm tra trắc nghiệm Học kì 1
Môn: Vật lí 10
Thời gian làm bài: 45 phút
(Đề 2)
Câu 1: Hệ quy chiếu bao gồm:
A. vật làm mốc, hệ toạ độ, mốc thời gian.
B. hệ toạ độ, mốc thời gian, đồng hồ.
C. vật làm mốc, mốc thời gian và đồng hồ.
D. vật làm mốc, hệ toạ độ, mốc thời gian và đồng hồ.
Câu 2: Một vật chuyển động thẳng đều với đồ thị chuyển động như hình vẽ. Phương trình chuyển động của vật là:
A. x = 200 + 50t (km)
B. x = 200 – 50t (km)
C. x = 100 + 50t (km)
D. x = 50t (km)
Câu 3: Có hai lực đồng qui có độ lớn bằng 9 N và 12 N. Trong số các giá trị sau đây, giá trị nào có thể là độ lớn của hợp lực?
A. 25 N. B. 15 N. C. 2 N. D. 1 N.
Câu 4: Có hai lò xo, một lò xo dãn 4 cm khi treo vật khối lượng m1 = 2 kg, lò xo kia dãn 1 cm khi treo vật có khối lượng m2 = 1 kg. Tìm tỉ số k1/k2.
A. 1 B. 1/2. C. 3/2. D. 2
Câu 5: Hãy tìm phát biểu sai.
A. Quỹ đạo của một vật là tương đối đối với các hệ quy chiếu khác nhau thì quỹ đạo của vật là khác nhau.
B. Vận tốc của vật là tương đối. Trong các hệ quy chiếu khác nhau thì vận tốc của cùng một vật là khác nhau.
C. Khoảng cách giữa hai điểm trong không gian là tương đối.
D. Tọa độ của một chất điểm phụ thuộc vào hệ quy chiếu.
Câu 6: Một vật A được thả rơi từ độ cao 45 m xuống mặt đất. Lấy g = 10 m/s2. Quãng đường vật rơi được trong 2 giây cuối cùng là:
A. 40 m. B. 35 m. C. 30 m. D. 25 m.
Câu 7: Định luật I Niutơn cho biết:
A. dưới tác dụng của lực, các vật chuyển động như thế nào.
B. mối liên hệ giữa lực tác dụng và khối lượng của vật.
C. nguyên nhân của chuyển động.
D. nguyên nhân của trạng thái cân bằng của các vật.
Câu 8: Câu nào đúng?
A. Tốc độ dài của chuyển động tròn đều phụ thuộc vào bánh kính quỹ đạo.
B. Tốc độ góc của chuyển động tròn đều phụ thuộc vào bán kính quỹ đạo.
C. Với v và ω cho trước, gia tốc hướng tâm phụ thuộc vào bán kính quỹ đạo.
D. Cả ba đại lượng trên không phụ thuộc vào bán kính quỹ đạo.
Câu 9: Một thanh AB có trọng lượng 150N có trọng tâm G chia đoạn AB theo tỉ lệ BG = 2 AG. Thanh AB được treo lên trần bằng dây nhẹ, không giãn (Hình vẽ bên). Cho góc α = 30º. Tính lực căng dây T?
A. 75N. B. 100N. C. 150N. D. 50N.
Câu 10: Một đoàn tàu đang chạy với vận tốc 54km/h thì hãm phanh. Sau đó chạy thêm được 25m thì dừng hẳn. Độ lớn gia tốc của đoàn tàu là:
A. - 4,5 m/s2. B. 4,5 m/s2.
C. -9 m/s2. D. -58,32 m/s2.
Câu 11: Một đồng hồ có kim giờ dài 3 cm, kim phút dài 4 cm. Tỉ số tốc độ dài của hai điểm ở hai đầu kim là?
Câu 12: Hai vật ở cùng độ cao, vật I được ném ngang với vận tốc đầu v0, cùng lúc đó vật II được thả rơi tự do không vận tốc đầu. Bỏ qua sức cản của không khí. Kết luận nào sau đây đúng ?
A. Vật I chạm đất trước vật II.
B. Vật I chạm đất sau vật II.
C. Vật I chạm đất cùng vật II.
D. Thời gian rơi phụ thuộc vào khối lượng của một vật.
Câu 13: Ở trường hợp nào sau dây, lực có tác dụng làm cho vật rắn quay quanh trục?
A. Lực có giá cắt trục quay.
B. Lực có giá song song với trục quay.
C. Lực có giá nằm trong mặt phẳng vuông góc với trục quay và không cắt trục quay.
D. Lực có giá nằm trong mặt phẳng vuông góc với trục quay và cắt trục quay.
Câu 14: Trái đất quay quanh trục Bắc – Nam với chuyển động đều mỗi vòng 24 giờ. Bán kính Trái đất là 6400 km. Tại một điểm trên mặt đất có vĩ độ β = 30º có tốc độ dài bằng?
A. 604 m/s.
B. 370 m/s.
C. 580 m/s.
D. 403 m/s.
Câu 15: Đặt một cốc đầy nước lên trên tờ giấy học trò. Tác dụng rất nhanh một lực F theo phương nằm ngang của tờ giấy thì hiện tượng gì sẽ xảy ra với tờ giấy và cốc nước?
A. Tờ giấy rời khỏi cốc nước mà nước vẫn không đổ.
B. Tờ giấy chuyển động về một hướng, cốc nước chuyển động theo hướng ngược lại.
C. Tờ giấy chuyển động và cốc nước chuyển động theo.
D. Tờ giấy bị đứt ở chỗ đặt cốc nước.
Câu 16: Một ô tô chạy với vận tốc 50 km/h trong trời mưa. Mưa rơi theo phương thẳng đứng. Trên cửa kính của xe, các vệt mưa rơi làm với phương thẳng đứng một góc 60º. Xác định vận tốc của giọt mưa đối với xe ô tô.
A. 57,73 km/h. B. 50 km/h.
C. 45,45 km/h. D. 60 km/h.
Câu 17: Một vệ tinh có khối lượng m = 60 kg đang bay trên quỹ đạo tròn quanh Trái Đất ở độ cao bằng bán kính Trái Đất. Biết Trái Đất có bán kính R = 6400 km. Lấy g = 9,8 m/s2. Tính tốc độ dài của vệ tinh.
A. 6,4 km/s. B. 11,2 km/s.
C. 4,9 km/s. D. 5,6 km/s.
Câu 18: Một ôtô khối lượng 2,5 tấn chuyển động qua một cầu vượt với tốc độ không đổi 54 km/h. Cầu vượt có dạng một cung tròn, bán kính 100 m. Tính áp lực của ôtô của ô tô lên cầu tại điểm cao nhất của quả cầu. Lấy g = 9,8 m/s2.
A. 15050 N. B. 18875 N.
C. 22020 N. D. 17590 N.
Câu 19: Vật khối lượng m đặt trên một mặt phẳng nghiêng một góc α so với phương nằm ngang (hình vẽ). Hệ số ma sát nghỉ giữa vật và mặt phẳng nghiêng là μn. Khi được thả ra nhẹ nhàng, vật có thể trượt xuống hay không là do những yếu tố nào sau đây quyết định.
A. m và μn. B. α và μn.
C. α và m. D. α, m, μn.
Câu 20: Đồ thị nào sau đây là đúng khi diễn tả sự phị thuộc của gia tốc hướng tâm vào vận tốc khi xe đi qua quãng đường cong có dạng cung tròn là đúng nhất?
Câu 21: Một vật được thả rơi tự do ở nơi có gia tốc trọng trường m/s2. Thời gian từ lúc thả đến khi chạm đất là 8s. Thời gian vật rơi 10 m cuối cùng trước khi chạm đất là.
A. 0,253s. B. 0,187s.
C. 0,126s. D. 0,250s.
Câu 22: Một người thực hiện động tác nằm sấp, chống tay xuống sàn để nâng người lên. Hỏi sàn nhà đẩy người đó như thế nào ?
A. Không đẩy gì cả B. Đẩy lên
C. Đẩy xuống D. Đẩy sang bên.
Câu 23: Chọn câu trả lời sai ? Lực ma sát nghỉ:
A. Xuất hiện ở mặt tiếp xúc của vật để giữ cho vật đứng yên khi nó bị một lực tác dụng song song với mặt tiếp xúc.
B. Có hướng ngược lại với hướng của lực tác dụng, có độ lớn bằng với độ lớn của lực tác dụng.
C. Có độ lớn cực đại, nhỏ hơn độ lớn của lực ma sát trượt.
D. Đóng vai trò là lực phát động giúp các vật chuyển động
Câu 24: Trong các phát biểu dưới đây, phát biểu nào đúng?
Chuyển động cơ là:
A. Sự thay đổi hướng của vật này so với vật khác theo thời gian.
B. Sự thay đổi chiều của vật này so với vật khác theo thời gian.
C. Sự thay đổi vị trí của vật này so với vật khác theo thời gian.
D. Sự thay đổi phương của vật này so với vật khác theo thời gian.
Câu 25: Một xe taxi chuyển động trên một đoạn đường thẳng và có vận tốc luôn luôn bằng 45 km/h. Bến xe nằm ở đầu đường thẳng và taxi xuất phát từ một điểm cách bến xe 5 km. Chọn bến xe làm vật mốc, chọn thời điểm taxi xuất phát làm mốc thời gian và chọn chiều chuyển động của taxi làm chiều dương. Phương trình chuyển động của xe trên đoạn đường thẳng này là?
A. x = 5 + 45t. B. x = 45 – 5t.
C. x = 5 – 45t. D. x = 45t.
Câu 26: Biểu thức hợp lực của hai lực song song cùng chiều là:
Câu 27: Xét một vật rắn đang ở trạng thái cân bằng. Đưa vật dời khỏi vị trí cân bằng một đoạn nhỏ rồi buông ra, nếu
A. Vật cân bằng ở bất kì vị trí nào mà ta di chuyển vật đến, vị trí cân bằng đó gọi là cân bằng không bền
B. Vật lập tức trở về vị trí cân bằng cũ thì vị trí cân bằng đó gọi là cân bằng phiếm định
C. Vật càng dời xa hơn vị trí cân bằng cũ thì vị trí cân bằng đó gọi là cân bằng không bền
D. Vật thiết lập một vị trí cân bằng mới, thì vị trí cân bằng đó gọi là cân bằng bền
Câu 28: Một thước dẹt quay quanh một trục đi qua nó, ở ba vị trí khác nhau như hình vẽ. Trong ba trường hợp, trường hợp nào là cân bằng phiếm định ?
A. Hình c
B. Hình a
C. Không có trường hợp nào
D. Hình b
Câu 29: Có 3 viên gạch giống nhau, mỗi viên có chiều dài L. Ba viên gạch này được xếp chồng lên nhau sao cho viên gạch trên đua ra một phần so với viên gạch dưới. Chiều dài lớn nhất của chồng gạch mà không bị đổ là:
A. 5L/4 B. 7L/4 C. 2L D. 1,5L
Câu 30: Một lò xo có chiều dài tự nhiên 20 cm và có độ cứng 75 N/m. Lò xo vượt quá giới hạn đàn hồi của nó khi bị kéo dãn vượt quá chiều dài 30 cm. Tính lực đàn hồi cực đại của lò xo.
A. 10 N. B. 12,5 N. C. 15 N. D. 7,5 N.
Câu 31: Định luật II Niutơn cho biết
A. lực là nguyên nhân làm xuất hiện gia tốc của vật.
B. mối liên hệ giữa khối lượng và vận tốc của vật.
C. mối liên hệ giữa lực tác dụng, khối lượng riêng và gia tốc của vật.
D. lực là nguyên nhân gây ra chuyển động.
Câu 32: Trường hợp nào sau đây không liên quan đến tính quán tính của vật ?
A. khi áo có bụi ta giũ mạnh, áo sẽ sạch bụi.
B. bút máy tắc mực, ta vẩy cho mực ra
C. khi lái xe tăng ga, xe lập tức tăng tốc
D. khi đang chạy nếu bị vấp, người sẽ ngã về phía trước.
Câu 33: Chia một vật khối lượng M thành 2 phần m1 và m2 rồi đặt chúng ở một khoảng cách xác định thì lực hấp dẫn giữa m1 và m2 lớn nhất khi
A. m1 = 0,9M; m2 = 0,1M.
B. m1 = 0,8M; m2 = 0,2M.
C. m1 = 0,6M; m2 = 0,4M.
D. m1 = m2 = 0,5M.
Câu 34: Cho vật được đỡ bởi hai thanh như hình vẽ. Biết gia tốc trọng trường g = 10 m/s2. Lực do thanh (1) tác dụng lên vật là 50 N. Khối lượng vật là
A. 2,5 kg.
B. 5 kg.
C. 7,5 kg.
D. 10 kg.
Câu 35: Một viên đạn pháo nổ ở độ cao 100m thành 2 mảnh : mảnh A có vận tốc v1 = 60 m/s hướng thẳng đứng lên trên và mảnh B có vận tốc v2 = 40m/s hướng thẳng đứng xuống dưới. Khoảng cách giữa 2 mảnh đó sau 0,5 s kể từ lúc đạn nổ là:
A. 65 m. B. 50 m. C. 21 m. D. 18 m.
Câu 36: Tính momen của lực F→ đối với trục quay O, cho biết F = 100 N, OA = 100 cm. Bỏ qua trọng lượng của thanh.
A. 50 N.m B. 50√3 N.m
C. 100 N.m D. 10√3 N.m
Câu 37: Điều nào sau đây là đúng khi nói về đặc điểm hợp lực của hai lực song song, cùng chiều?
A. Độ lớn bằng tổng độ lớn của hai lực thành phần.
B. Cùng chiều với hai lực thành phần.
C. Phương song song với hai lực thành phần.
D. Cả ba đặc điểm trên.
Câu 38: Một bàn nằm ngang quay tròn đều với chu kì T = 2 s. Trên bàn đặt một vật cách trục quay R = 25 cm. Hệ số ma sát giữa vật và bàn tối thiểu bằng bao nhiêu để vật không trượt trên mặt bàn. Lấy g = 10 m/s2, π2 = 10.
A. 0,35. B. 0,05. C. 0,12. D. 0,25.
Câu 39: Chuyển động của một vật có đồ thị vận tốc theo thời gian như hình vẽ. Tổng quãng đường vật đã đi bằng?
A. 240 m.
B. 140 m.
C. 120 m.
D. 320 m.
Câu 40: Gia tốc rơi tự do ở bề Mặt Trăng là g0 và bán kính Mặt Trăng là 1740 km. Ở độ cao h = 3480 km so với bề mặt Mặt Trăng thì gia tốc tự do tại đó bằng
A. g0/3. B. g0/9. C. g0/12. D. g0/2.
Đáp án và Thang điểm
| Câu |
1 |
2 |
3 |
4 |
5 |
6 |
7 |
8 |
9 |
10 |
| Đáp án |
D |
B |
B |
B |
C |
A |
D |
C |
D |
B |
| Câu |
11 |
12 |
13 |
14 |
15 |
16 |
17 |
18 |
19 |
20 |
| Đáp án |
B |
C |
C |
D |
A |
A |
B |
B |
B |
A |
| Câu |
21 |
22 |
23 |
24 |
25 |
26 |
27 |
28 |
29 |
30 |
| Đáp án |
C |
B |
C |
C |
A |
B |
C |
A |
B |
D |
| Câu |
31 |
32 |
33 |
34 |
35 |
36 |
37 |
38 |
39 |
40 |
| Đáp án |
D |
C |
D |
B |
B |
B |
D |
D |
A |
B |
Câu 1: Chọn D
Hệ quy chiếu bao gồm vật làm mốc, hệ toạ độ, mốc thời gian và đồng hồ
Câu 2: Chọn B.
Câu 3: Chọn B.
Hợp lực F có giới hạn: |F1 - F2| ≤ F ≤ |F1 + F2| → 3N ≤ F ≤ 21N
Câu 4: Chọn B.
Ta có: P1 = k1Δℓ1 = m1g; P2 = k2Δℓ2 = m2g
Câu 5: Chọn C.
Khoảng cách giữa hai điểm trong không gian là tuyệt đối.
Câu 6: Chọn A
Chọn gốc tọa độ tại vị trí vật rơi, chiều dương hướng xuống dưới.
Ta có x = 0,5gt2 = 5t2 (m)
Thời gian vật rơi là nghiệm phương trình 5t2 = 45 → t = 3s.
Quãng đường vật rơi trong 2 s cuối cùng là s = x3 – x1 = 45 – 5.12 = 40 m.
Câu 7: Chọn D
Nội dung của định luật I Niu-tơn: Nếu một vật không chịu tác dụng của lực nào hoặc chịu tác dụng của các lực cân bằng thì nó sẽ giữ yên trạng thái đứng yên nếu đang đứng yên, đang chuyển động sẽ tiếp tục chuyển động thẳng đều.
→Định luật I Niutơn cho biết nguyên nhân của trạng thái cân bằng của các vật.
Câu 8: Chọn C
Độ lớn (tốc độ dài):
Tốc độ góc:
; Δα là góc mà bán kính nối từ tâm đến vật quét được trong thời gian Δt. Đơn vị tốc độ góc là rad/s.
Gia tốc trong chuyển động tròn đều luôn hướng vào tâm quỹ đạo nên gọi là gia tốc hướng tâm; có độ lớn là:
→ Với v và ω cho trước, gia tốc hướng tâm phụ thuộc vào bán kính quỹ đạo
Câu 9: Chọn D
Thanh có thể quay quanh A: P. AG . cosα = T. AB cosα
⇔ T = P. AG/AB = P/3 – 150/3 = 50 N.
Câu 10: Chọn B
54 km/h = 15 m/s.
Áp dụng công thức độc lập thời gian ta có:
Câu 11: Chọn B.
Xét khoảng thời gian 1 giờ thì kim phút quay được 1 vòng, kim giờ quay được 30º = π/6 rad
Câu 12: Chọn C
Thời gian vật chạm đất là
Suy ra, hai bi chạm đất cùng lúc.
Câu 13: Chọn C
Lực có giá nằm trong mặt phẳng vuông góc với trục quay và không cắt trục quay → cánh tay đòn khác không → momen của lực F đối với trục quay khác không sẽ làm cho vật quay quanh trục quay.
Câu 14: Chọn D
Câu 15: Chọn A
Hiện tượng xảy ra là tờ giấy rời khỏi cốc nước mà nước vẫn không đổ. Do khi tác dụng lực trong thời gian ngắn do quán tính chiếc cốc không kịp thay đổi vận tốc tức là vận tốc vẫn giữ nguyên (bằng 0).
Câu 16: Chọn A
Sơ đồ vận tốc của giọt nước mưa đối với xe như hình.
Ta có sin 60º =
Với v1 là vận tốc của xe, bằng 50 km/h; v2 là vận tốc của giọt mưa đối với ô tô.
Câu 17: Chọn B
Lực hấp dẫn đóng vai trò là lực hướng tâm Fht = Fhd
Câu 18: Chọn B
54 km/h = 15 m/s.
Khi ô tô đi đến điểm cao nhất của cầu thì một phần trọng lực đóng vai trò là lực hướng tâm:
Fht = P – N → N = P – Fht
Câu 19: Chọn B
Điều kiện để vật trượt xuống được là: Fms ≤ P.sinα ↔ μmgcosα ≤ mgsinα ↔ μ ≤ tanα
Vậy chỉ phụ thuộc vào α và μ.
Câu 20: Chọn A
Gia tốc hướng tâm: a = an = v2/R →Đồ thị biểu diễn sự phụ thuộc của a theo R là một cung Parabol
Câu 21: Chọn C.
Độ cao của vật: H = 5.82 = 320 m
Thời gian vật rơi 10 m cuối cùng:
10 = 320 – 0,5.10(8 – Δt)2 → Δt = 0,126 s.
Câu 22: Chọn B
Người ấn xuống thì sàn đẩy lên, hai lực này là 2 lực trực đối.
Câu 23: Chọn C
Lực ma sát nghỉ
Điều kiện xuất hiện: Lực ma sát nghỉ xuất hiện khi một vật có xu hướng trượt (chưa trượt) trên bề mặt một vật khác do có ngoại lực tác dụng và có tác dụng cản trở xu hướng trượt của vật.
Đặc điểm của lực ma sát nghỉ:
+ Gốc: trên vật có xu hướng trượt (chỗ tiếp xúc).
+ Phương: song song (tiếp tuyến) với mặt tiếp xúc.
+ Chiều: ngược chiều với ngoại lực tác dụng.
+ Độ lớn: luôn cân bằng với thành phần tiếp tuyến của ngoại lực, có giá trị cực đại tỉ lệ với áp lực ở mặt tiếp xúc: Fmsn(max) = μn.N với μn là hệ số ma sát nghỉ, không có đơn vị.
Câu 24: Chọn C
Theo định nghĩa của chuyển động cơ: Chuyển động của một vật là sự thay đổi vị trí của vật đó so với các vật khác theo thời gian
Câu 25: Chọn A
Mốc là bến xe ⇒ x0 = 5km
Chiều dương là chiều chuyển động của xe ⇒ v = 45 km/h
Phương trình chuyển động của xe là x = 5 + 45t
Câu 26: Chọn B
Hợp lực là một lực song song, cùng chiều và có độ lớn bằng tổng các độ lớn của 2 lực: F = F1 + F2
- Giá của hợp lực chia trong khoảng cách giữa 2 điểm thành những đoạn tỉ lệ nghịch với độ lớn 2 lực
(chia trong)
Câu 27: Chọn C
Khi vật rắn cân bằng, nó có thể ở một trong ba trạng thái cân bằng sau:
- Khi vật bị lệch ra khỏi vị trí cân bằng mà vật không thể tự trở về vị trí cân bằng ban đầu được thì cân bằng như vậy gọi là cân bằng không bền.
- Khi vật bị lệch ra khỏi vị trí cân bằng mà vật có thể tự trở về vị trí cân bằng ban đầu được thì cân bằng như vậy gọi là cân bằng bền.
- Khi vật bị lệch ra khỏi vị trí cân bằng, sau đó nó thiết lập ngay một vị trí cân bằng mới thì cân bằng như vậy gọi là cân bằng phiếm định.
Câu 28: Chọn A
Trong hình C, vật cân bằng phiếm định do có trục quay đi qua trọng tâm của vật.
Câu 29: Chọn B
Viên gạch thứ 3 có thể nhô ra L/2 là khoảng cách lớn nhất. Hệ 2 viên gạch (2) và (3) nằm cân bằng thì hợp lực
như hình vẽ.
⇒ y = L/4
→ Chiều dài lớn nhất của chồng gạch là: L = L/4 + L/2 = 7L/4
Câu 30: Chọn D
Độ dãn cực đại của lò xo là Δlmax = lmax – l0 = 30 – 20 = 10 cm
Lực đàn hồi cực đại của lò xo Fmax = k.Δlmax = 75.0,1 = 7,5 N.
Câu 31: Chọn D
Nội dung định luật II Niu-tơn: Gia tốc của một vật cùng hướng với lực tác dụng lên vật. Độ lớn của gia tốc tỉ lệ thuận với độ lớn của lực và tỉ lệ nghịch với khối lượng của vật.
Biểu thức:
→ Định luật II Niutơn cho biết lực là nguyên nhân làm xuất hiện gia tốc của vật.
Câu 32: Chọn C
Quán tính là tính chất của mọi vật có xu hướng bảo toàn vận tốc cả về hướng và độ lớn → khi lái xe tăng ga, xe lập tức tăng tốc không liên quan đến quán tính
Câu 33: Chọn D
Ta có m1 + m2 = M
Lực hấp dẫn :
→ Fdh max ↔ (m1m2)max
Áp dụng bdt cauchy cho hai số không âm ta có :
→ (m1m2)max ↔ m1 = m2 = M/2.
Câu 34: Chọn B
Điều kiện cân bằng của vật là
Câu 35: Chọn B
Chọn gốc tọa độ tại vị trí đạn nổ , chiều dương hướng thẳng lên trên và gốc thời gian là lúc đạn nổ. Phương trình chuyển động của 2 mảnh A và B là :
Khoảng cách H giữa 2 mảnh sau 0,5 s là : H = |yA - yB| = 100 . 0,5 = 50 m
Câu 36: Chọn B
Momen của lực là M = F.AH = 100.1.cos30º = 50√3 N.m
Câu 37: Chọn D
- Hợp lực của hai lực song song là một lực song song, cùng chiều và có độ lớn bằng tổng các độ lớn của 2 lực. F = F1 + F2
Câu 38: Chọn D
Khi vật không trượt chịu tác dụng của 3 lực
Trong đó
Lúc đó vật chuyển động tròn đều nên
đóng vai trò là lực hướng tâm.
Để vật không trượt trên bàn thì Fht ≤ Fmsn → mω2R ≤ μmg
Câu 39: Chọn A.
Cách 1: (hơi lâu)
Đoạn OA: cđ nhanh dần đều a =
= 0,4 m/s2 → s1 =
= 20 m
Đoạn AB: cđ đều v = 4 m/s → s2 = v.t = 4.(20 – 10) = 40 m
Đoạn BC: cđ nhanh dần đều a =
m/s2 → s3 =
= 60 m
sĐoạn CD: cđ chậm dần đều a =
m/s2 → s4 =
= 80 m
Đoạn DE: cđ chậm dần đều a =
m/s2 → s5 =
= 20 m
Đoạn EF: cđ nhanh dần đều a =
m/s2 → s6 =
= 20 m
→ Tổng quãng đường vật đi được: s = 20 + 40 + 60 + 80 + 20 + 20 = 240 m.
Cách 2 (đếm ô): Tổng quãng đường vật đã đi bằng tổng diện tích hình đa giác OABCD và tam giác DEF = 12 ô vuông = 12 .2.10 = 240m
Câu 40: Chọn B
Ta có
- Khi h = 0 ta có gia tốc rơi tự do tại bề mặt mặt trăng là
- Gia tốc tại điểm có độ cao h = 3480 km = 2R là
Sở Giáo dục và Đào tạo .....
Đề kiểm tra trắc nghiệm Học kì 1
Môn: Vật lí 10
Thời gian làm bài: 45 phút
(Đề 3)
Câu 1: Trường hợp nào dưới đây có thể coi vật chuyển động như một chất điểm ?
A. Quyển sách rơi từ trên bàn xuống sàn nhà.
B. Chiếc ô tô trong bến xe.
C. Mặt trăng trong chuyển động quanh trái đất.
D. Con cá trong chậu nước.
Câu 2: Đặc điểm nào dưới đây không phải là đặc điểm của vật chuyển động rơi tự do?
A. Chuyển động theo phương thẳng đứng, chiều từ trên xuống dưới.
B. Chuyển động nhanh dần đều.
C. Tại một vị trí xác định và ở gần mặt đất, mọi vật rơi tự do như nhau.
D. Công thức tính vận tốc v = g.t2
Câu 3: Độ lớn F của hợp lực F→
của hai lực đồng quy F→1
và F→2
hợp với nhau góc α là:
Câu 4: Lò xo có chiều dài l0 = 60cm và có độ cứng k0. Cắt lò xo thành hai lò xo có chiều dài l1 = 20cm và l2 = 40cm với độ cứng của hai lò xo này lần lượt là k1, k2. Phát biểu nào sau đây là đúng ?
A. k0 = k1 = k2 A.
B. k0 > k1 > k2 .
C. k0 < k1 < k2 .
D. k0 < k2 < k1 .
Câu 5: Phát biểu nào sau đây là đúng ?
A. Nếu không chịu lực nào tác dụng thì vật phải đứng yên.
B. Vật chuyển động được là nhờ có lực tác dụng lên nó.
C. Khi vận tốc của vật thay đổi thì chắc chắn đã có lực tác dụng lên vật.
D. Khi không chịu lực nào tác dụng lên vật nữa thì vật đang chuyển động sẽ lập tức dừng lại.
Câu 6: Một vật chuyển động thẳng nhanh dần đều với gia tốc a từ trạng thái đứng yên và đi được quãng đường s trong thời gian t. Hãy tính khoảng thời gian vật đi hết 1 mét cuối cùng
Câu 7: Khi đang đi xe đạp trên đường nằm ngang, nếu ta ngừng đạp, xe vẫn tự di chuyển. Đó là nhờ:
A. trọng lượng của xe.
B. lực ma sát nhỏ.
C. quán tính của xe.
D. phản lực của mặt đường.
Câu 8: Chọn câu đúng.
A. Trong các chuyển động tròn đều có cùng bán kính, chuyển động nào có chu kỳ quay lớn hơn thì có vận tốc dài lớn hơn.
B. Trong chuyển động tròn đều, chuyển động nào có chu kỳ quay nhỏ hơn thì có vận tốc góc nhỏ hơn.
C. Trong các chuyển động tròn đều, chuyển động nào có tần số lớn hơn thì có chu kỳ nhỏ hơn.
D. Trong các chuyển động tròn đều, với cùng chu kỳ, chuyển động nào có bán kính nhỏ hơn thì có vận tốc góc nhỏ hơn.
Câu 9: Thanh OA = 60cm có trọng lượng P1 = 40N được giữ nằm ngang nhờ bản lề tại O và dây treo AD. Tại B (AB = 20cm) người ta treo vật nặng P2 = 60N. Biết α = 45º. Tính momen lực P2 đối với O.
A. 24 N.m B. 36 N.m
C. 12 N.m D. 18 N.m
Câu 10: Một mẩu gỗ có khối lượng m = 250 g đặt trên sàn nhà nằm ngang. Người ta truyền cho nó một vận tốc tức thời v0 = 5 m/s. Tính thời gian để mẩu gỗ dừng lại và quãng đường nó đi được cho tới lúc đó. Hệ số ma sát trượt giữa mẩu gỗ và sàn nhà là μt = 0,25. Lấy g = 10 m/s2.
A. 1 s, 5 m. B. 2 s, 5 m.
C. 1 s, 8 m. D. 2 s, 8 m.
Câu 11: Trái đất quay một vòng quanh của nó trong thời gian 24 giờ. Bán kính Trái đất bằng 6400 km. Gia tốc hướng tâm của một điểm ở xích đọa Trái đất là:
A. 2,65.10-3 m/s2 B. 33,85.10-3 m/s2
C. 25,72.10-3 m/s2 D. 37,56.10-3 m/s2
Câu 12: Điều nào sau đây không đúng khi nói về chuyển động của vật ném ngang ?
A. Quỹ đạo của chuyển động ném ngang là đường thẳng.
B. Vectơ vận tốc tại mỗi điểm trùng với tiếp tuyến với quỹ đạo tại điểm đó.
C. Lực duy nhất tác dụng vào vật là trọng lực (bỏ qua sức cản của không khí).
D. Tầm xa của vật phụ thuộc vào vận tốc ban đầu.
Câu 13: Điều kiện cân bằng của vật có mặt chân đế là:
A. vị trí trọng tâm không thay đổi
B. giá của trọng lực phải xuyên qua mặt chân đế
C. mặt chân đế của vật phải có diện tích đủ lớn
D. kích thước của vật phải đủ lớn
Câu 14: Một ròng rọc chuyển động tròn đều với tốc độ góc ω, hai điểm A và B nằm trên cùng bán kính R của một ròng tọc như hình vẽ. Điểm A ngoài vành của ròng rọc có vận tốc vA = 2,4 m/s. Điểm B cách A 10 cm có vận tốc vB = 0,8 m/s. Coi ròng rọc chuyển động đều quanh trục. Tốc độ góc ω và bán kính R của ròng rọc lần lượt là:
A. 8 rad/s và 15 cm. B. 16 rad/s và 5 cm.
C. 16 rad/s và 15 cm. D. 8 rad/s và 5 cm
Câu 15: Trường hợp nào sau đây không liên quan đến tính quán tính của vật ?
A. khi áo có bụi ta giũ mạnh, áo sẽ sạch bụi.
B. bút máy tắc mực, ta vẩy cho mực ra
C. khi lái xe tăng ga, xe lập tức tăng tốc
D. khi đang chạy nếu bị vấp, người sẽ ngã về phía trước.
Câu 16: Một phi công muốn máy bay của mình bay về hướng Tây trong khi gió thổi về hướng Nam với vận tốc 50 km/h. Biết rằng khi không có gió, vận tốc của máy bay là 200 km/h. Khi đó vận tốc của máy bay so với mặt đất là bao nhiêu ?
A. 120,65 km/h. B. 123,8 km/h.
C. 193,65 km/h. D. 165,39 km/h.
Câu 17: Vòng xiếc là một vành tròn bán kính R = 8 m, nằm trong mặt phẳng thẳng đứng. Một người đi xe đạp trên vòng xiếc này, khối lượng cả xe và người là 80 kg. Lấy g = 9,8 m/s2, tính lực ép của xe lên vòng xiếc tại điểm cao nhất với vận tốc tại điểm này là v = 10 m/s.
A. 164 N. B. 186 N. C. 254 N. D. 216 N.
Câu 18: Tính khoảng cách giữa tâm vệ tinh địa tĩnh của Trái Đất với tâm Trái Đất. Biết khối lượng của Trái Đất là M = 6,1024 kg. Chu kì quay của Trái Đất quanh trục của nó là 24 h. Hằng số hấp dẫn G = 6,67.10-11 Nm2/kg2.
A. 422980 km. B. 42298 km.
C. 42982 km. D. 42982 m.
Câu 19: Một vật chịu 4 lực tác dụng: lực F1 = 40 N hướng về phía Đông, lực F2 = 50 N hướng về phía Bắc, lực F3 = 70 N hướng về phía Tây, lực F4 = 90 N hướng về phía Nam. Độ lớn của hợp lực tác dụng lên vật là bao nhiêu ?
A. 50 N. B. 170 N. C. 131 N. D. 250 N.
Câu 20: Đồ thị vận tốc theo thời gian của chuyển động thẳng như hình vẽ. Chuyển động thẳng nhanh dần đều là đoạn
A. MN. B. NO. C. OP. D. PQ.
Câu 21: Để ước lượng độ sâu của một giếng cạn nước, một người dùng đồng hồ bấm giây, ghé sát tai vào miệng giếng và thả một hòn đá rơi tự do từ miệng giếng; sau 3s thì người đó nghe thấy tiếng hòn đá đập vào đáy giếng. Giả sử tốc độ truyền âm trong không khí là 330 m/s, lấy g = 9,9 m/s2. Độ sâu định lượng của giếng nước đó là:
A. 43 m. B. 45 m. C. 39 m. D. 41 m.
Câu 22: Các lực tác dụng lên một vật gọi là cân bằng khi:
A. hợp lực của tất cả các lực tác dụng lên vật bằng không.
B. hợp lực của tất cả các lực tác dụng lên vật là hằng số.
C. vật chuyển động với gia tốc không đổi.
D. vật đứng yên.
Câu 23: Điều nào sau đây là sai khi nói về phép tổng hợp lực?
A. Tổng hợp lực là phép thay thế nhiều lực tác dụng đồng thời vào một vật bằng một lực có tác dụng giống hệt như toàn bộ các lực ấy.
B. Phép tổng hợp lực có thể thực hiện bằng quy tắc hình bình hành.
C. Độ lớn của hợp lực luôn bằng tổng độ lớn của các lực thành phần.
D. Về mặt toán học, phép tổng hợp lực thực chất là phép cộng tát cả các vectơ lực thành phần.
Câu 24: Lực ma sát trượt xuất hiện khi
A. vật đặt trên mặt phẳng nghiêng
B. vật bị biến dạng
C. vật chịu tác dụng của ngoại lực nhưng nó vẫn đứng yên
D. vật trượt trên bề mặt nhám của vật khác
Câu 25: Hai xe chạy ngược chiều đến gặp nhau, cùng khởi hành một lúc từ hai địa điểm A và B cách nhau 120km. Vận tốc của xe đi từ A là 40 km/h, của xe đi từ B là 20 km/h. Phương trình chuyển động của hai xe khi chọn trục toạ độ 0x hướng từ A sang B, gốc 0 ≡ A là
A. xA = 40t (km); xB = 120 + 20t (km)
B. xA = 40t (km); xB = 120 – 20t (km)
C. xA = 120 + 40t (km); xB = 20t (km)
D. xA = 120 – 40t (km); xB = 20t (km)
Câu 26: Vòi vặn nước có hai tai vặn. Tác dụng của các tai này là gì?
A. Tăng độ bền của đai ốc
B. Tăng mômen của ngẫu lực
C. Tăng mômen lực
D. Đảm bảo mỹ thuật
Câu 27: Trong ba vật bằng sắt dưới đây, vật ở hình nào có cân bằng bền hơn cả ?
A. Hình c
B. Ba hình cân bằng như nhau
C. Hình a
D. Hình b
Câu 28: Hình vẽ sau mô tả ba ô tô chở hàng leo dốc. Hình nào cho biết ô tô dễ gây tai nạn nhất?
A. Hình c B. Hình b
C. Hình a D. Như nhau
Câu 29: Người ta khoét một lỗ tròn bán kính R/2 trong một đĩa tròn đồng chất bán kính R. Trọng tâm của phần còn lại cách tâm đĩa tròn lớn bao nhiêu ?
A. R/2 B. R/4 C. R/3 D. R/6
Câu 30: Một lò xo có độ cứng k, có chiều dài tự nhiên l0 một đầu giữ cố định ở A đầu kia gắn vào quả cầu khối lượng m có thể trượt không ma sát trên thanh (Δ) nằm ngang. Thanh (Δ) quay đều với vận tốc góc ω quanh trục (Δ) thẳng đứng. Tính độ dãn của lò xo khi l0 = 20 cm, ω = 20π rad/s, m = 10 g; k = 200 N/m.
A. 5 cm. B. 3,5 cm.
C. 6 cm. D. 8 cm.
Câu 31: Chọn câu đúng: Cặp "lực và phản lực" trong định luật III Niutơn
A. tác dụng vào cùng một vật.
B. tác dụng vào hai vật khác nhau.
C. không bằng nhau về độ lớn.
D. bằng nhau về độ lớn nhưng không cùng giá
Câu 32: Hành khách ngồi trên xe ôtô đang chuyển động, xe bất ngờ rẽ sang phải. Theo quán tính hành khách sẽ
A. nghiêng sang phải.
B. nghiêng sang trái.
C. ngả người về phía sau.
D. chúi người về phía trước.
Câu 33: Nếu bán kính của hai quả cầu đồng chất và khoảng cách giữa tâm của chúng cùng giảm đi 2 lần, thì lực hấp dẫn giữa chúng thay đổi như thế nào ?
A. giảm 8 lần. B. giảm 16 lần.
C. tăng 2 lần. D. không thay đổi.
Câu 34: Một đèn tín hiệu giao thông được treo ở một ngã tư nhờ một dây cáp có trọng không đáng kể. Hai đầu dây cáp được giữ bằng hai cột đèn AB và A’B’, cách nhau 8 m . Đèn nặng 60 N, được treo vào điểm giữa O của dây cáp, làm dây võng xuống 0,5 m tại điểm giữa như hình. Tính lực kéo của mỗi nửa dây.
A. 60 N và 60 N. B. 120 N và 240 N.
C. 120 N và 120N. D. 240 N và 240 N.
Câu 35: Trong môn trượt tuyết, một vận động viên sau khi trượt trên đoạn đường dốc thì trượt ra khỏi dốc theo phương ngang ở độ cao 90 m so với mặt đất. Người đó bay xa được 180 m trước khi chạm đất. Hỏi tốc độ của vận động viên đó ngay trước khi chạm đất là bao nhiêu ? Lấy g = 9,8 m/s2.
A. 45 m/s. B. 60 m/s.
C. 42 m/s. D. 90 m/s.
Câu 36: Một thanh nhẹ gắn vào sàn tại B. Tác dụng lên đầu A lực kéo F = 100N theo phương ngang. Thanh được giữ cân bằng nhờ dây AC. Biết α = 30º.
Tính lực căng dây AC?
A. 250 N
B. 100 N
C. 200 N
D. 150 N
Câu 37: Khi chế tạo các bộ phận bánh đà, bánh ôtô.... người ta phải cho trục quay đi qua trọng tâm vì:
A. chắc chắn, kiên cố.
B. làm cho trục quay ít bị biến dạng.
C. để làm cho chúng quay dễ dàng hơn.
D. để dừng chúng nhanh khi cần.
Câu 38: Một xe có khối lượng 1600 kg chuyển động trên đường cua tròn có bán kính r = 100 m với vận tốc không đổi 72 km/h. Hỏi giá trị của hệ số ma sát giữa lốp xe và mặt đường ít nhất bằng bao nhiêu để xe không trượt. Lấy g = 10 m/s2.
A. 0,35. B. 0,26. C. 0,33. D. 0,4.
Câu 39: Phương trình chuyển động của một vật chuyển động biến đổi đều có dạng: x = 5 + 2t + 0,25t2 (x tính bằng m; t tính bằng giây). Phương trình vận tốc của vật đó là (v đo bằng m/s)
A. v = -2 + 0,5t. B. v = -2 + 0,25t.
C. v = 2 + 0,5t. D. v = 2 + 0,25t
Câu 40: Ngẫu lực là hệ hai lực
A. song song, ngược chiều, có độ lớn bằng nhau và cùng tác dụng vào một lực
B. song song, cùng chiều, có độ lớn bằng nhau và cùng tác dụng vào một vật
C. song song, ngược chiều, có độ lớn bằng nhau và tác dụng vào hai vật
D. song song, có độ lớn bằng nhau và cùng tác dụng vào một vật
Đáp án và Thang điểm
| Câu |
1 |
2 |
3 |
4 |
5 |
6 |
7 |
8 |
9 |
10 |
| Đáp án |
C |
D |
A |
D |
C |
C |
C |
C |
A |
B |
| Câu |
11 |
12 |
13 |
14 |
15 |
16 |
17 |
18 |
19 |
20 |
| Đáp án |
B |
A |
B |
C |
C |
C |
D |
B |
A |
D |
| Câu |
21 |
22 |
23 |
24 |
25 |
26 |
27 |
28 |
29 |
30 |
| Đáp án |
D |
A |
C |
D |
B |
B |
D |
A |
D |
A |
| Câu |
31 |
32 |
33 |
34 |
35 |
36 |
37 |
38 |
39 |
40 |
| Đáp án |
B |
B |
B |
D |
B |
C |
B |
D |
C |
A |
Câu 1: Chọn C
Kích thước mặt trăng so với khoảng cách giữa trái đất và mặt trăng là rất nhỏ nên mặt trăng trong trường hợp này có thể coi như là một chất điểm
Câu 2: Chọn D
+ Chuyển động rơi tự do là chuyển động thẳng nhanh dần đều theo phương thẳng đứng, chiều từ trên xuống dưới. Tại một nơi nhất định trên Trái Đất và ở gần mặt đất, mọi vật đều rơi tự do với cùng gia tốc g.
+ Công thức của sự rơi tự do:
Câu 3: Chọn A
Hai lực thành phần hợp nhau góc α bất kỳ thì hợp lực F tuân theo quy tắc hình bình hành
Câu 4: Chọn D
Từ 1 lò xo cắt ra thì lò xo có chiều dài càng ngắn thì có độ cứng càng lớn → D đúng
Câu 5: Chọn C
Lực là nguyên nhân gây ra sự thay đổi chuyển động của vật nên khi vận tốc của vật thay đổi thì chắc chắn đã có lực tác dụng lên vật
Câu 6: Chọn C
Câu 7: Chọn C
Định luật I niu tơn ⇒ Khi đang đi xe đạp trên đường nằm ngang, nếu ta ngừng đạp, xe vẫn tự di chuyển là nhờ quán tính của xe.
Câu 8: Chọn C
Chu kỳ T của chuyển động tròn đều là thời gian để vật đi được một vòng:
. Đơn vị của chu kỳ là giây (s).
Tần số f của chuyển động tròn đều là số vòng mà vật đi được trong 1 giây: f = 1/T
→ chuyển động nào có tần số lớn hơn thì có chu kỳ nhỏ hơn.
Câu 9: Chọn A
Ta có:
Câu 10: Chọn B
Ta có Fms = μP = μmg
Áp dụng công thức độc lập thời gian có v2 – vo2 = 2aS
Ta có v = vo + at → Thời gian mẫu gỗ chuyển động:
Câu 11: Chọn B
Tốc độ góc:
Gia tốc hướng tâm của điểm ở xích đạo:
Câu 12: Chọn A
Quỹ đạo chuyển động của một vật được ném theo phương ngang là một đường Parabol có phương trình là
Câu 13: Chọn B
Điều kiện cân bằng của vật rắn có mặt chân đế là đường thẳng đứng đi qua trọng tâm của vật gặp mặt chân đế.
→ giá của trọng lực phải xuyên qua mặt chân đế
Câu 14: Chọn C
Điểm A và B chuyển động với cùng tốc độ góc:
Câu 15: Chọn C
Quán tính là tính chất của mọi vật có xu hướng bảo toàn vận tốc cả về hướng và độ lớn.→ khi lái xe tăng ga, xe lập tức tăng tốc không liên quan đến quán tính
Câu 16: Chọn C
Áp dụng công thức cộng vận tốc ta có
v→
là vận tốc của máy bay theo hướng tây; v→1
là vận tốc của máy bay theo hướng bay thực tế; v→2 là vận tốc của gió theo hướng nam.
Từ hình vẽ ta có v2 = v12 – v22 = 2002 - 502
→ v = 193,65 km/h.
Câu 17: Chọn D
Tại điểm cao nhất của vòng xiếc có các lực tác dụng lên xe là trọng lực P→
và phản lực N→
của vòng xiếc.
Ta có:
Gọi
là lực ép của người đi xe lên vòng xiếc, ta có:
N’ = N = mv2/R - mg = 80.102/8 – 80.9,8 = 216 N.
Câu 18: Chọn B
Vận tốc dài của vệ tinh v = ωr = (2π/T).r
Lực hấp dẫn đóng vai trò là lực hướng tâm.
Thay T = 24h = 86400 s; M = 6.1024 kg, G vào → r = 42298 km
Câu 19: Chọn A
Lực F1 và F3 cùng phương, ngược chiều ta có F13 = |F1 – F3| = 30N
Tương tự ta có: F24 = |F2 – F4| = 40N
F13; F24 có phương vuông góc với nhau nên:
Câu 20: Chọn D
Đoạn MN vật chuyển động đều.
Đoạn NO vật chuyển động chậm dần đều.
Đoạn OP vật chuyển động đều.
Đoạn PQ vật chuyển động nhanh dần đều.
Câu 21: Chọn D
Ta có 3 s là thời gian để viên đá rơi nhanh dần đều xuống vực phát ra âm thanh và thời gian để âm thanh chuyển động đều từ vực đến tai người nghe: t1 + t2 = 3 s (1)
Quãng đường đá rơi = quãng đường âm thanh truyền:
Từ (1) và (2), suy ra: t2 = 0,124 s; t1 = 2,875 s
Độ cao từ vách núi xuống đáy vực: S = va.t2 = 330.0,124 = 40,92 m.
Câu 22: Chọn A
Các lực tác dụng lên một vật là cân bằng khi hợp lực của tất cả các lực tác dụng lên vật bằng không.
Câu 23: Chọn C
Phát biểu: “Độ lớn của hợp lực luôn bằng tổng độ lớn của các lực thành phần” là sai. Vì:
Hợp lực của nhiều lực được xác định theo qui tắc của hình bình hành, chỉ có trường hợp các lực thành phần đều cùng phương, cùng chiều với nhau thì C mới xảy ra.
Câu 24: Chọn D
Lực ma sát trượt
Điều kiện xuất hiện: Lực ma sát trượt xuất hiện khi một vật trượt trên mặt một vật khác và có tác dụng cản trở lại chuyển động trượt của vật.
Đặc điểm của lực ma sát trượt:
+ Gốc: trên vật chuyển động trượt (chỗ tiếp xúc).
+ Phương: song song (tiếp tuyến) với mặt tiếp xúc.
Câu 25: Chọn B
Chọn gốc tọa độ tại A : x01 = 0, x02 = 120 km
Chọn gốc thời gian lúc 2 xe cùng xuất phát.
Chiều dương hướng từ A sang B : vA = 40 km/h, vB = -20 km/h
⇒ Phương trình chuyển động của 2 xe:
Câu 26: Chọn B
Tác dụng của chai tai vặn là tạo ra hệ hai lực song song, ngược chiều, có độ lớn bằng nhau cùng tác dụng vào một vật gọi là ngẫu lực.
Câu 27: Chọn D
Hình b cân bằng bền hơn các hình khác do có trọng tâm ở vị trí thấp hơn và có diện tích mặt chân đế lớn hơn.
Câu 28: Chọn A
Hình C có trọng tâm gần đuôi xe nhất, dễ bị chệch ra khỏi mặt chân đế nhất → dễ gây tai nạn nhất.
Câu 29: Chọn D
Sử dụng quy hợp lực song song ngược chiều. Ta được:
F1.O1O' = P.OO' (ở đây ta coi F1 giống như một lực nâng có độ lớn bằng trọng lượng phần khoét đi lên biểu thị cho phần lỗ tròn rỗng, và P là trọng lực của cả đĩa tròn khi chưa khoét)
Câu 30: Chọn A
Lực đàn hồi của lò xo đóng vai trò là lực hướng tâm.
Khi trục quay thì lò xo giãn ra một đoạn Δl
Fht = Fdh ↔ mω2(ℓo + Δℓ) = k.Δℓ → (k – mω2).Δℓ = mω2ℓo
Câu 31: Chọn B
Trong định luật III Niu – tơn, lực và phản lực có những đặc điểm:
+ Lực và phản lực luôn luôn xuất hiện (hoặc mất đi) đồng thời.
+ Lực và phản lực có cùng giá, cùng độ lớn, nhưng ngược chiều. Hai lực có đặc điểm như vậy được gọi là hai lực trực đối.
Lực và phản lực không cân bằng nhau vì chúng đặt vào hai vật khác nhau.
Câu 32: Chọn B
Theo quán tính vật có xu hướng giữ nguyên chuyển động nên người nghiêng sang trái.
Câu 33: Chọn B
Ban đầu lực hấp dẫn giữa hai vật là
Khi bán kính của hai quả cầu và khoảng cách giữa chúng giảm 2 lần thì có:
- Thể tích quả cầu đồng chất
⇒ R' = r/2 ⇒ V' = V/8 ⇒ m' = m/8 và r' = r/2
⇒ Lực hấp dẫn giữa hai vật :
⇒ lực hấp dẫn bị giảm 16 lần.
Câu 34: Chọn D
Đèn chịu tác dụng của 3 lực như hình. Do đèn treo ở điểm giữa dây nên lực kéo của mỗi nửa dây là như nhau hay T1 = T2.
Gọi T là hợp lực của dây cáp ta có:
T = P = mg = 60N.
Thay vào (1) → T1 = T2 = 4T = 240N.
Câu 35: Chọn B
Tầm bay xa của vận động viên là:
Phương trình vận tốc
Tốc độ của vận động viên ngay trước khi chạm đất là
Câu 36: Chọn C
Xét trục quay tạm thời tại B (MQ = 0), điều kiện cân bằng của thanh AB là:
MF = MT
↔ F.AB = T.BH với BH = AB.sinα = AB/2
Câu 37: Chọn B
Để hạn chế trục quay bị biến dạng do momen lực gây ra, khi chế tạo các bộ phận bánh đà, bánh ôtô.... người ta phải cho trục quay đi qua trọng tâm.
Câu 38: Chọn D
Đổi 72 km/h = 20 m/s.
Xe chuyển động tròn đều nên
đóng vai trò là lực hướng tâm.
Để xe không trượt trên đường thì
Câu 39: Chọn C.
Ta có phương trình chuyển động của một vật chuyển động biến đổi đều là
x = x0 + v0t + 0,5at2 = 5 + 2t + 0,5.0,5t2
⇒ v0 = 2m/s; a = 0,5 m/s2
Phương trình vận tốc của vật là: v = v0 + at = 2 + 0,5t
Câu 40: Chọn A
Ngẫu lực là hệ hai lực song song, ngược chiều, có độ lớn bằng nhau và cùng tác dụng vào một lực.
Trắc nghiệm - Tự luận
Sở Giáo dục và Đào tạo .....
Đề kiểm tra trắc nghiệm - tự luận Học kì 1
Môn: Vật lí 10
Thời gian làm bài: 45 phút
(Đề 1)
Phần I: Trắc nghiệm
Câu 1: Chọn đáp án sai.
A. Trong chuyển động thẳng đều vận tốc được xác định bằng công thức: v = v0 + at.
B. Quãng đường đi được của chuyển động thẳng đều được tính bằng công thức: s = v.t.
C. Trong chuyển động thẳng đều tốc độ trung bình trên mọi quãng đường là như nhau.
D. Phương trình chuy ển động của chuyển động thẳng đều là: x = x0 + vt.
Câu 2: Hai tàu hoả cùng chạy trên một đoạn đường sắt thẳng. Tàu A chạy với tốc độ vA = 60 km/h, tàu B chạy với tốc độ vB = 80 km/h. Vận tốc tương đối của tàu A đối với tàu B khi hai tàu chạy ngược chiều nhau là
A. -80km/h
B. 140km/h
C. 70km/h
D. -20km/h
Câu 3: Một tấm ván AB nặng 1000 N, được bắc qua một con mương. Trọng tâm G của tấm ván cách điểm tựa A một đoạn là 0,6m và cách điểm tựa B là 0,4m. Lực mà tấm ván tác dụng lên điểm tựa A là:
A. 300N.
B. 260N.
C. 400 N.
D. 600 N.
Câu 4: Vật thứ nhất thả rơi tự do từ độ cao h1, vật chạm đất trong thờ gian t1, vật thứ hai thả rơi tự do từ độ cao h2, vật chạm đất trong thời gian t2 . Tỉ số t1 : t2 bằng
Câu 5: Biểu thức nào là biểu thức mômen của lực đối với một trục quay?
Câu 6: Một vật được ném ngang ở độ cao h sau 2 giây với vận tốc ban đầu là 25 m/s .Tầm ném xa của vật là Lấy g =10 m/s2
A. 25m
B. 40m
C. 50m
D. 30 m
Câu 7: Điều kiện cân bằng của một vật có mặt chân đế là giá của trọng lực phải
A. Nằm ngoài mặt chân đế
B. Trùng với mặt chân đế.
C. Không xuyên qua mặt chân đế
D. Xuyên qua mặt chân đế
Câu 8: Ôtô chở hàng nhiều, chất đầy hàng nặng trên nóc xe dễ bị lật vì…
A. Xe chở quá nặng.
B. Giá của trọng lực tác dụng lên xe đi qua mặt chân đế.
C. Vị trí của trọng tâm của xe cao so với mặt chân đế.
D. Mặt chân đế của xe quá nhỏ.
Câu 9: Đặc điểm của hệ ba lực cân bằng là
A. có giá đồng phẳng và đồng quy, có hợp lực bằng 0.
B. có giá đồng phẳng và đồng quy, có hợp lực khác 0.
C. có giá đồng quy, có hợp lực bằng 0.
D. có giá đồng phẳng, có hợp lực bằng 0.
Câu 10: Theo định luật Húc về lực đàn hồi của lò xo thì độ lớn lực đàn hồi của lò xo được xác định bằng biểu thức nào sau đây ?
Câu 11: Một vật đang chuyển động với vận tốc 5m/s. Nếu bỗng nhiên các lực tác dụng lên nó mất đi thì
A. vật chuyển động chậm dần rồi dừng lại.
B. vật đổi hướng chuyển động.
C. vật tiếp tục chuyển động theo hướng cũ với vận tốc 5m/s.
D. vật dừng lại ngay.
Câu 12: Câu nào đúng? Cặp "lực và phản lực" trong định luật III Niutơn
A. là cặp lực cân bằng.
B. là cặp lực có cùng điểm đặt.
C. là cặp lực cùng phương, cùng chiều và cùng độ lớn.
D. là cặp lực xuất hiện và mất đi đồng thời.
Phần II: Tự luận
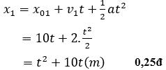
Bài 1: Từ đỉnh tháp cao 80 m so với mặt đất, ném một vật nhỏ theo phương ngang với vận tốc ban đầu v0 = 30 m/s. Bỏ qua lực cản không khí. Lấy g = 10 m/s2.
a, Tính thời gian chuyển động của vật đến khi chạm đất.
b, Xác định tầm bay xa của vật.
c, Vẽ quĩ đạo đường đi của vật.
Bài 2: Một hộp chứa cát ban đầu đứng yên, được kéo trên sàn nhà bằng một sợi dây với lực kéo F = 1200N. Hệ số ma sát giữa hộp với sàn là µ = 0,38. Lấy g = 9,8 m/s2.
Biểu diễn các lực tác dụng lên hộp cát trên hình vẽ. Từ đó, viết phương trình định luật II Niu-tơn đối với hộp cát. Góc giữa dây kéo và phương ngang là bao nhiêu để kéo được lượng cát lớn nhất? Tính khối lượng cát và hộp khi đó?
Đáp án & Hướng dẫn giải
Phần I: Trắc nghiệm
Câu 1: Đáp án A
Câu A sai vì vận tốc trong câu A có gia tốc
Câu 2: Đáp án B
Coi tàu A là (1), tàu B là (2), đường ray (trái đất) là (3)
chọn Ox gắn với 3, chiều dương hướng từ A sang B
vAB > 0 đã cho thấy
cùng chiều với chiều + đã chọn, hướng từ A sang B
Câu 3: Đáp án C
Gọi F1, F2 là độ lớn của hai lực đặt lên hai đầu điểm tựa A và B.
F1, F2 lần lượt cách vai là d1 = 60 cm, d2 = 40 cm.
Ta có: F1 + F2 = 1000 (1)
Từ (1) và (2) → F1 = 400 N, F2 = 600 N
Câu 4: Đáp án C
Khi các vật chạm đất:
Câu 5: Đáp án D
Mômen lực đối với một trục quay là đại lượng đặc trưng cho tác dụng làm quay của lực và được đo bằng tích của lực với cánh tay đòn của nó: M = F.d
Câu 6: Đáp án C
Tầm ném xa của vật là
Câu 7: Đáp án D
Điều kiện cân bằng của một vật có mặt chân đế:
Giá của trọng lực phải xuyên qua mặt chân đế (hay trọng tâm "rơi" trên mặt chân đế).
Câu 8: Đáp án C
Ôtô chở hàng nhiều, chất đầy hàng nặng trên nóc xe dễ bị lật vì vị trí của trọng tâm của xe cao so với mặt chân đế.
Câu 9: Đáp án A
Muốn cho một vật chịu tác dụng của ba lực không song song ở trạng thái cân bằng thì:
- Ba lực đó phải đồng phẳng và đồng qui.
- Hợp lực của hai lực phải cân bằng với lực thứ ba:
Câu 10: Đáp án B
Định luật Húc
Trong giới hạn đàn hồi, độ lớn của lực đàn hồi của lò xo tỉ lệ thuận với độ biến dạng của lò xo:
Trong đó:
+ k là độ cứng (hệ số đàn hồi) của lò xo, phụ thuộc vào hình dạng, kích thước và chất liệu của lò xo. Đơn vị của độ cứng là N/m.
+
là độ biến dạng của lò xo; ℓ0, ℓ lần lượt là chiều dài tự nhiên và chiều dài khi biến dạng của lò xo.
Câu 11: Đáp án C
Một vật đang chuyển động với vận tốc 5m/s. Nếu bỗng nhiên các lực tác dụng lên nó mất đi thì vật vẫn tiếp tục chuyển động đều theo hướng cũ với vận tốc 5 m/s.
Câu 12: Đáp án D
Định luật III Niu-tơn:
Trong mọi trường hợp, khi vật A tác dụng lên vật B một lực, thì vật B cũng tác dụng lại vật A một lực. Hai lực này cùng giá, cùng độ lớn, nhưng ngược chiều.
Lực và phản lực
Một trong hai lực tương tác gọi là lực tác dụng, lực kia gọi là phản lực.
- Lực và phản lực luôn xuất hiện (hoặc mất đi) đồng thời.
- Lực và phản lực cùng giá, cùng độ lớn, nhưng ngược chiều. Hai lực có đặc điểm như vậy gọi là hai lực trực đối.
- Lực và phản lực không cân bằng nhau vì chúng đặt vào hai vật khác nhau.
Phần II: Tự luận
Bài 1:
a) Thời gian chuyển động của vật:
b) Tầm bay xa: s = v0.t = 30.4 = 120 m
Bài 2:
a) Vẽ hình , biểu diễn đúng các lực tác dụng lên vật
Phương trình định luật II Niu-tơn đối với vật là:
b) Chiếu (1) lên Oxy ta được:
Ox: F. cos a - F ms = m.a
Oy: F sina + N - P = 0.
Từ đó rút ra
Từ (2) : Đk để mMax
Theo bất đẳng thức Bunhiacopxki:
Dấu = xảy ra khi
Sở Giáo dục và Đào tạo .....
Đề kiểm tra trắc nghiệm - tự luận Học kì 1
Môn: Vật lí 10
Thời gian làm bài: 45 phút
(Đề 2)
Phần trắc nghiệm
Câu 1: Theo định luật II Niu -Tơn thì:
A. Gia tốc của vật tỉ lệ nghịch với khối lượng của vật.
B. Khối lượng tỉ lệ nghịch với lực tác dụng lên vật.
C. Gia tốc của vật tỉ lệ thuận với khối lượng của vật.
D. Gia tốc của vật là một hằng số đối với mỗi vật.
Câu 2: Thả rơi một vật trong chân không vật sẽ chuyển động:
A. Thẳng đều. B. Nhanh dần đều.
C. Chậm dần đều D. Biến đổi
Câu 3: Hai lực cân bằng không thể có:
A. Cùng hướng B. Cùng phương
C. Cùng giá D. Cùng độ lớn
Câu 4: Đơn vị của mômen lực là:
A. N/m. B. N/m C. N.m D. N.
Câu 5: Biểu thức nào sau đây đúng với biểu thức gia tốc hướng tâm?
Câu 6: Ở trường hợp nào sau đây, lực có tác dụng làm cho vật rắn quay quanh một trục.
A. Lực có giá song song với trục quay
B. Lực có giá nằm trong mặt phẳng vuông góc với trục quay và cắt trục quay
C. Lực có giá cắt trục quay
D. Lực có giá nằm trong mặt phẳng vuông góc với trục quay và không cắt trục quay
Câu 7: Có ba vật (1), (2) và (3). Áp dụng công thức cộng vận tốc có thể viết dưới dạng phương trình nào sau đây?
Câu 8: Phải treo vật có trọng lượng bằng bao nhiêu vào lò xo có độ cứng k = 100 N/m để nó dãn ra 10cm.
A. 100 N. B. 10 N.
C. 150 N. D. 1000 N.
Câu 9: Hai con tàu có khối lượng 4 (tấn) và 2 (tấn) đặt cách nhau một khoảng r = 400 (m) (Tính từ hai trọng tâm của hai tàu) thì lực hút giữa chúng sẽ có giá trị là:
A. 13,34.10-8N B. 3335.10-12N
C. 13,34.10-13N D. 3,335.10-9N
Câu 10: Một tấm ván có chiều dài AB = 5 (dm), được bắc ngang qua một con mương. Biết trọng lượng của tấm ván đè lên hai đầu bờ mương A và B lần lượt là P1 = 30N và P2 = 20N. Vị trí của trọng tâm cách hai đầu bờ mương A và B lần lượt là:
A. d1 = 3(dm), d2 = 2(dm)
B. d1 = 2(dm), d2 = 3(dm)
C. d1 = 1,5(dm), d2 = 3,5(dm)
D. d1 = 2,5(dm), d2 = 2,5(dm).
Câu 11: Một ôtô con chuyển động thẳng đều trên mặt đường nằm ngang. Hệ số ma sát lăn là 0,023. Biết rằng khối lượng của ôtô là 1500 (Kg) và lấy g = 10 (m/s2). Lực ma sát lăn giữa bánh xe và mặt đường có thể nhận giá trị nào sau đây:
A. Fms = 435N B. Fms = 345N
C. Fms = 534N D. Fms = 453N
Câu 12: Có hai lực vuông góc với nhau với các độ lớn
và
. Hợp lực của chúng tại với lực này các góc (lấy tròn tới độ).
A. 30º và 60o B. 42º và 48º
C. 37º và 53o D. 35º và 45º
Câu 13: Một vật được thả rơi tự do từ độ cao 10 (m) xuống đất. Bỏ qua lực cản của không khí. Lấy g = 10 (m/s2). Vận tốc của vật khi chạm đất là bao nhiêu
A. 14 (m/s) B. 16 (m/s) C. 20 (m/s) D . 24 (m/s)
Câu 14: Một ôtô đang chuyển động với vận tốc 72 (km/h) thì gặp một vật cản trước mặt, người lái ôtô hãm phanh cho chuyển động chậm dần đều với gia tốc 1 (m/s2). Tính quãng đường ôtô đi được cho đến khi dừng lại:
A. 100 (m) B. 200 (m) C. 300 (m) D. 400 (m)
Câu 15: Người ta dùng hai lò xo có độ cứng lần lượt là k1 và k2. Lò xo thứ nhất treo vật có khối lượng m1 = 6kg thì độ dãn ∆l1 = 12cm, lò xo thứ hai khi treo vật có khối lượng m2 = 2kg thì có độ dãn ∆l2 = 4cm. So sánh độ cứng của hai lò xo
Phần tự luận
Câu 1. (1,5 điểm) Nêu định luật vạn vật hấp dẫn và viết biểu thức, giải thích các đại lượng?
Câu 2. (1,0 điểm) Dưới tác dụng của lực F = 2000N theo phương ngang. Một ô tô chuyển động thẳng đều trên đường nằm ngang. Hệ số ma sát lăn giữa xe và mặt đường là 0,04. Lấy g = 10 (m/s2). Tính khối lượng của xe ?
Câu 3. (1,5 điểm) Đặt một quả cầu khối lượng m = 2kg tựa trên hai mặt phẳng tạo với mặt nằm ngang các góc α1 = 30º, α1 = 60º như hình vẽ. Hãy xác định áp lực của mặt cầu lên hai mặt phẳng đỡ Bỏ qua ma sát và lấy g = 10m/s2.
Đáp án và Thang điểm
Phần trắc nghiệm
| Câu |
1 |
2 |
3 |
4 |
5 |
6 |
7 |
8 |
| Đáp án |
A |
B |
A |
C |
C |
D |
D |
B |
| Câu |
9 |
10 |
11 |
12 |
13 |
14 |
15 |
|
| Đáp án |
D |
B |
B |
C |
A |
B |
A |
|
Phần tự luận
Câu 1: (1,0 điểm)
1) Định luật. (0,75 điểm)
Lực hấp dẫn giữa hai chất điểm bất kì tỉ lệ thuận với tích hai khối lượng của chúng và tỉ lệ nghịch với bình phương khoảng cách giữa chúng.
2) Hệ thức: (0,75 điểm)
Trong đó:
m1, m2 là khối lượng của hai chất điểm
r là khoảng cách giữa hai chất điểm (m)
G = 6,67.10-11 Nm2/kg2 gọi là hằng số hấp dẫn và không đổi đối với mọi vật.
Câu 2: (1,5 điểm)
(0,25 điểm)
Cho biết: F = 2000 (N), μ = 0,04, lấy g = 10 (m/s2), a = 0 Tìm m = ?
(0,25 điểm)
Giải: Áp dụng định luật II Niu Tơn:
Với
(0,25 điểm)
(0,25 điểm):
(0,25 điểm):
Lực ma sát: Fms = μN = μ.m.g (b)
(0,25 điểm) Thay (b) vào (a)
Câu 3: (1,0 điểm)
(0,25 điểm) Cho biết: m = 2(kg), α1 = 30º, α1 = 60º
Lấy g = 10 (m/s2) Tính: Nx = ?; Ny = ?
Chọn trục tọa độ Oxy như hình vẽ.
(0,25 điểm) Điều kiện cân bằng của vật
(0,25 điểm) Chiếu phương trình (*) lên trục
:
(0,25 điểm) Chiếu phương trình (*) lên trục
:
Sở Giáo dục và Đào tạo .....
Đề kiểm tra trắc nghiệm - tự luận Học kì 1
Môn: Vật lí 10
Thời gian làm bài: 45 phút
(Đề 3)
Phần trắc nghiệm
Câu 1: Phát biểu nào sau đây là đúng?
A. Nếu không có lực tác dụng vào vật thì vật không thể chuyển động được
B. Lực là nguyên nhân là biến đổi chuyển động của một vật
C. Không cần có lực tác dụng vào vật thì vật vẫn chuyển động tròn đều được
D. Lực là nguyên nhân duy trì chuyển động của một vật
Câu 2: Hệ thức nào sau đây xác định độ lớn của lực hấp dẫn (định luật vạn vật hấp dẫn là)?
Câu 3: Một lò xo khi treo vật m = 200g sẽ dãn ra một đoạn Δl = 4cm. Độ cứng của lò xo bằng bao nhiêu? Lấy g = 10m/s2.
A. 0,5N/m. B. 0,05N/m.
C. 500N/m. D. 50N/m.
Câu 4: Kết luận nào sau đây là SAI khi nói về chuyển động thẳng nhanh dần đều?
A. Có vận tốc có độ lớn tăng theo hàm bậc nhất đối với thời gian.
B. Có vectơ gia tốc của vật có độ lớn là một hằng số
C. Có quãng đường đi được của vật luôn tỉ lệ thuận với thời gian vật đi.
D. Có quỹ đạo là đường thẳng.
Câu 5: Chất điểm chuyển động tròn đều trên đừơng tròn bán kính r = 0,1m với tốc độ dài v = 0,5m/s.Chu kỳ và tốc độ góc của chất điểm là:
A. T =5s; ω = 1,256 rad/s.
B. T = 125,6s; ω = 0,05 rad/s.
C. T = 12,56s; ω = 0,5 rad/s.
D. T = 1,256s; ω = 5 rad/s.
Câu 6: Một người gánh một thùng gạo nặng 300N và một thùng ngô nặng 200N bằng một đòn gánh dài 1m. Bỏ qua trọng lượng của đòn gánh. Để đòn gánh nằm cân bằng trên vai thì người đó phải điều chỉnh vai đặt vào đòn gánh ở vị trí nào?
A. Cách đầu gánh gạo 0,6m.
B. Cách đầu gánh ngô 0,5m.
C. Cách đầu gánh ngô 0,4m.
D. Cách đầu gánh gạo 0,4m.
Câu 7: Một vật chịu tác dụng của ba lực không song song sẽ cân bằng khi giá của ba lực đó:
A. đồng quy.
B. đồng phẳng.
C. đồng quy tại một điểm của vật.
D. đồng phẳng và đồng quy.
Câu 8: Một vật rơi tự do từ độ cao h xuống đất, vận tốc vật khi chạm đất là v. Thời gian rơi của vật xác định từ công thức nào sau đây?
Câu 9: Công thức tính độ lớn lực đàn hồi theo định luật Húc là:
Câu 10: Phương trình chuyển động thẳng biến đổi đều:
Câu 11: Một thanh nhẹ nằm ngang, dài 7,0m có trục quay tại điểm cách đầu bên trái 2,0m. Một lực 50N hướng xuống tác dụng vào đầu bên trái và một lực 150N hướng xuống tác dụng vào đầu bên phải của thanh. Cần đặt lực 250N hướng lên tại điểm cách trục quay bao nhiêu để thanh cân bằng?
A. 5,0m. B. 3,4m. C. 4,5m. D. 2,5m.
Câu 12: Trong chuyển động thẳng đều:
A. Tọa độ x tỉ lệ thuận với thời gian chuyển động t.
B. Tọa độ x tỉ lệ thuận với vận tốc v.
C. Quãng đường đi được s tỉ lệ thuận với vận tốc v.
D. Quãng đường đi được s tỉ lệ thuận với thời gian chuyển động.
Câu 13: Muốn tăng mức vững vàng của vật có mặt chân đế thì cần:
A. nâng cao trọng tâm và giảm diện tích mặt chân đế.
B. hạ thấp trọng tâm và giảm diện tích mặt chân đế.
C. hạ thấp trọng tâm và tăng diện tích mặt chân đế.
D. nâng cao trọng tâm và tăng diện tích mặt chân đế.
Câu 14: Một vật được ném ngang từ độ cao h = 80 m với vận tốc đầu v0 = 20 m/s. Lấy g = 10 m/s2. Thời gian và tầm bay xa của vật là:
A. 3s và 60m. B. 2s và 40m.
C. 1s và 20m. D. 4s và 80m.
Câu 15: Một ô tô đang chuyển động thì đột ngột hãm phanh, hành khách ngồi trên xe sẽ
A. Dừng lại ngay
B. Ngã người về phía sau
C. Dồn người về phía trước
D. Ngã người sang bên cạnh
Câu 16: Hai ôtô A và B chạy cùng chiều trên một đoạn đường với vận tốc lần lượt là 60km/h và 30 km/h. Độ lớn vận tốc tương đối của ôtô A so với B là:
A. 40km/h. B. 70 km/h. C. 90km/h. D. 30 km/h.
Phần tự luận
Câu 1: (2 điểm)
Một vật được thả rơi tự do từ độ cao h = 45m so với mặt đất. Bỏ qua lực cản của không khí và lấy g = 10m/s2.
1. Tính thời gian kể từ vật bắt đầu rơi đến khi chạm đất.
2. Tính quãng đường vật rơi trong 2 giây cuối cùng trước khi chạm đất.
Câu 2: (2 điểm)
Một hộp gỗ có m = 1,5kg trượt trên mặt sàn nằm ngang có hệ số ma sát trượt là 0,2 với một lực đẩy theo phương nằm ngang. Lấy g = 10m/s2. Tính lực đẩy trong các trường hợp sau:
1. Vật chuyển động thẳng đều.
2. Vật chuyển động thẳng nhanh dần đều và sau 1s vận tốc tăng từ 1,8 km/h đến 3,6 km/h.
3. So sánh lực đẩy của vật ở câu a với trọng lượng của vật.
Câu 3: (2 điểm)
Thanh AB khối lượng m1 = 10kg, chiều dài l = 3m gắn vào tường bởi bản lề A. Đầu B của thanh treo vật nặng m2 = 5kg. Thanh được giữ cân bằng nằm ngang nhờ dây treo CD; góc α = 45º. Tìm lực căng và phản lực tác dụng lên thanh AB biết AC = 2m.
Đáp án và Thang điểm
Phần trắc nghiệm
| Câu |
1 |
2 |
3 |
4 |
5 |
6 |
7 |
8 |
| Đáp án |
B |
C |
D |
C |
D |
D |
D |
A |
| Câu |
9 |
10 |
11 |
12 |
13 |
14 |
15 |
16 |
| Đáp án |
B |
D |
B |
D |
C |
D |
C |
D |
Phần tự luận
Câu 1:
(0,5 điểm)
(0,25 điểm)
(0,5 điểm)
(0,25 điểm)
Câu 2:
Có 4 lực tác dụng lên vật:
vẽ hình
viết pt:
(0,5 điểm)
chiếu (*) lên:
Oy: N = P = m.g = 1,5.10 = 15N (0,25 điểm)
(0,25 điểm)

(0,25 điểm)
1. Vật chuyển động thẳng đều nên a = 0
→ Fđ = 3 + 1,5.0= 3N (0,25 điểm)
(0,25 điểm)
(0,25 điểm)
Câu 3:
Vẽ hình và phân tích lực: (0,5 điểm)

Ta có P1 = m1.g = 100N; P2 = m2.g = 50N
Theo điều kiện cân bằng của một vật rắn quay quanh một trục cố định:
(0,5 điểm)
(0,25 điểm)
Theo điều kiện cân bằng lực của vật rắn:
Chọn hệ quy chiếu Oxy như hình vẽ.
Chiếu theo Ox ta có:
(0,5 điểm)
Sở Giáo dục và Đào tạo .....
Đề kiểm tra trắc nghiệm - tự luận Học kì 1
Môn: Vật lí 10
Thời gian làm bài: 45 phút
(Đề 4)
Phần trắc nghiệm
Câu 1: “Một vật chuyển động thẳng đều trên đường ngang là do hợp lực tác dụng lên vật bằng không”. Đó là chuyển động tuân theo:
A. Định luật I Niu Tơn.
B. Định luật II Niu Tơn.
C. Định luật III Niu Tơn.
D. Định luật vạn vật hấp dẫn.
Câu 2: Trong quá trình rơi tự do của một vật thì điều nào dưới đây là SAI:
A. Vec tơ gia tốc luôn hướng thẳng đứng từ trên xuống.
B. Vec tơ trọng lực luôn hướng thẳng đứng xuống.
C. Vật chuyển động thẳng nhanh dần đều.
D. Độ lớn g luôn là một hằng số tại mọi nơi trên trái đất.
Câu 3: Cho 2 lực thành phần là
gọi F→
là hợp lực của 2 lực ấy. Độ lớn của lực F thỏa mãn điều kiện nào dưới đây:
Câu 4: Trong các công thức dưới đây công thức nào KHÔNG PHẢI của chuyển động tròn đều:(r là bán kính quỹ đạo chuyển động tròn, s là độ dài cung tròn, φ là góc quay)
Câu 5: Một ô tô bắt đầu chuyển động thẳng nhanh dần đều thì điều nào dưới đây không đúng:
A. Véc tơ gia tốc cùng chiều vec tơ hợp lực tác dụng vào ô tô.
B. Véc tơ gia tốc cùng chiều vec tơ vận tốc của ô tô.
C. Độ lớn gia tốc của ô tô tỉ lệ thuận với khối lượng của ô tô.
D. Hợp lực tác dụng vào ô tô luôn khác không.
Câu 6: Công thức ĐÚNG của định luật III NIU TƠN là:
Câu 7: Trong các công thức dưới đây, công thức nào mô tả đúng của chuyển động thẳng đều:
Câu 8: Khi viết về đặc điểm của lực đàn hồi của lò xo thì điều nào dưới đây là SAI:
A. Lực đàn hồi có hướng luôn ngược chiều độ biến dạng.
B. Độ lớn lực đàn hồi tỉ lệ với độ biến dạng.
C. Lực đàn hồi của lò xo có phương dọc theo trục của lò xo.
D. Lực đàn hồi của lò xo xuất hiện chỉ khi lò xo dãn.
Câu 9: Trong bài thực hành đo hệ số ma sát μ, để xác định góc hợp bởi mặt phẳng nghiêng và mặt phẳng ngang người ta dùng thiết bị nào trong các thiết bị dưới đây:
A. Ê ke đo độ và quả rọi.
B. Nam châm điện và quả rọi.
C. Thước thẳng và đồng hồ hiện số có cổng quang điện.
D. Nam châm điện và ê ke đo độ.
Câu 10: Một chất điểm chuyển động tròn đều thì điều nào dưới đây là SAI:
A. Vectơ lực hướng tâm tác dụng vào vật là vec tơ tổng hợp lực.
B. Vectơ lực hướng tâm tác dụng vào vật vuông góc với vec tơ gia tốc của vật.
C. Vectơ lực hướng tâm tác dụng vào vật vuông góc với vec tơ vận tốc của vật.
D. Vectơ lực hướng tâm tác dụng vào vật cùng hướng với vec tơ gia tốc của vật.
Câu 11: Chọn câu viết SAI khi viết về lực hấp dẫn:
A. Lực hấp dẫn là lực hút giữa 2 vật bất kì.
B. Trọng lực là lực hút của trái đất tác dụng vào vật.
C. Độ lớn của lực hấp dẫn được tính theo công thức:
D. Lực hấp dẫn có phương thuộc đường thẳng nối tâm 2 vật.
Câu 12: Một gói hàng cứu trợ được ném theo phương ngang với vận tốc là 20m/s ở độ cao 80m so với mặt đất. Bỏ qua lực cản của môi trường, lấy g = 10(m/s2). Thời gian gói hàng chuyển động cho đến khi chạm đất là:
A. 4s. B. 2s. C. √2 s D. 2√10 s
Phần tự luận
Câu 1: (4,0 điểm) Một vật nặng 500 g đặt trên mặt bàn nằm ngang chịu tác dụng của lực kéo F theo phương ngang, chuyển động thẳng nhanh dần đều với gia tốc 0,2 m/s2, hệ số ma sát giữa vật và mặt bàn là 0,1. Lấy g = 10 m/s2.
a. Tính vận tốc của vật sau khi tác dụng lực là 5s? Tính vận tốc trung bình của vật trong khoảng thời gian ấy?
b. Tính lực ma sát tác dụng lên vật trong quá trình chuyển động? Tính lực F?
c. Sau 5 giây người ta đột ngột đổi chiều lực F ngược lại nhưng độ lớn không đổi. Nếu xét chuyển động của vật khi chưa đổi chiều thì quãng đường của vật đi được trong suốt quá trình chuyển động là bao nhiêu?
Câu 2: (3,0 điểm) Một lò xo có độ cứng k = 40 N/m, khối lượng không đáng kể được treo theo phương thẳng đứng tại nơi có g = 10 m/s2. Đầu dưới của lò xo treo vật m = 100g.
a. Xác định độ biến dạng của lò xo khi vật m cân bằng?
b. Nếu tác dụng vào vật m thêm một lực F theo phương thẳng đứng ta thấy, vật m cân bằng thì lò xo bị nén 2cm. Xác định vec tơ lực F?
c. Nếu người ta cho m quay đều trong mặt phẳng ngang xung quanh một trục thẳng đứng qua điểm treo lò xo thì thấy trục của lò xo luôn hợp với phương thẳng đứng một góc là 45º và chiều dài của lò xo là 40 cm. Tính thời gian để vật m quay được một vòng?
Đáp án và Thang điểm
Phần trắc nghiệm
| Câu |
1 |
2 |
3 |
4 |
5 |
6 |
| Đáp án |
A |
D |
A |
D |
C |
B |
| Câu |
7 |
8 |
9 |
10 |
11 |
12 |
| Đáp án |
A |
D |
A |
B |
C |
A |
Phần tự luận
Câu 1: (4,0 điểm)
a) (1,25đ)
- Chọn hệ quy chiếu, trục tọa độ, mốc thời gian, vẽ hình biểu diễn trục toạ độ. (0,25 điểm)
- ADCT:
(0,5 điểm)
- ADCT:
(0,5 điểm)
b) (1,75đ)
- Vẽ hình biểu diễn các lực tác dụng vào vật. (0,25 điểm)
- Viết PT:
(0,25 điểm)
- Chiếu PT vectơ lên phương của vec tơ Q→
(0,25 điểm)
- Theo ĐL 3 Niu Tơn: N = Q = m.g (0,5 điểm)
- ADCT:
- Chiếu PT vec tơ lên phương của vec tơ F→
- Tính:
(0,5 điểm)
c) (1,0đ)
- ADCT:
(0,5 điểm)
- ADCT:
(0,5 điểm)
d) (1,0đ)
- Khi đổi chiều của lực F thì gia tốc chuyển động của vật sau đó là:
(0,25 điểm)
- Quãng đường vật đi trong giai đoạn 1:
(0,25 điểm)
- Quãng đường vật đi trong giai đoạn 2:
(0,25 điểm)
- Tổng quãng đường vật đi được là: s = s1 + s2 ≈ 2,73(m) (0,25 điểm)
Câu 2: 3,0 điểm)
a) (1 điểm)
- Phân tích lực cho m, vẽ hình biểu diễn các lực. (0,25 điểm)
- Viết PT:
(0,25 điểm)
(0,5 điểm)
- Vậy khi m cân bằng thì lò xo dãn 2,5 cm.
b)
- Theo định luật 2 Niu Tơn ta có:
(0,25 điểm)
- Chiếu PT vec tơ lên phương của trọng lực ta có:
(0,25 điểm)
- Vị trí cân bằng của vật trùng với vị trí lò xo không biến dạng nên Fdh = 0
⇒ F = -P = -mg = -0,1.10 = -1(N) (0,5 điểm)
- Vậy lực F tác dụng vào vật hướng thẳng đứng từ dưới lên, có độ lớn là 1 N.
c)
- Ta có:
Vì vật m chuyển động quay trong mặt phẳng ngang nên
(0,25 điểm)
- Có:
Xét:
(0,25 điểm)
- ADCT:
(0,25 điểm)
- ADCT:
(0,25 điểm)
Tự luận
Sở Giáo dục và Đào tạo .....
Đề kiểm tra tự luận Học kì 1
Môn: Vật lí 10
Thời gian làm bài: 45 phút
(Đề 1)
Câu 1 (1,5 điểm): Sự rơi tự do là gì? Nêu các đặc điểm và công thức của sự rơi tự do.
Câu 2 (1,5 điểm): Phát biểu và viết biểu thức các định luật Niu-tơn.
Câu 3 (1,0 điểm): Phát biểu điều kiện cân bằng của một chất điểm và quy tắc hình bình hành khi tổng hợp hai lực đồng qui.
Câu 4 ( 2,0 điểm): Một canô chạy thẳng xuôi dòng từ bến A đến bến B cách nhau 36km mất một khoảng thời gian là 1 giờ 30 phút. Vận tốc của nước đối với bờ sông là 6 km/h.
a) Tính vận tốc của ca nô đối với nước.
b) Tính khoảng thời gian để canô chạy ngược dòng chảy từ bến B trở về bến A.
Câu 5 (2,0 điểm): Cùng một lúc ở hai điểm cách nhau 300 m, có hai ô tô đi ngược chiều nhau. Xe thứ nhất đi từ A có tốc độ ban đầu là 10 m/s, xe thứ hai đi từ B với tốc độ ban đầu là 20 m/s. Biết xe đi từ A chuyển động nhanh dần đều, xe đi từ B chuyển động chậm dần đều và hai xe chuyển động với gia tốc có cùng độ lớn 2 m/s2
a) Viết phương trình chuyển động của mỗi xe.
b) Tính khoảng cách giữa hai xe sau 5s.
c) Hai xe gặp nhau sau thời gian bao lâu kể từ lúc xuất phát. Khi đó vị trí hai xe gặp nhau cách vị trí ban đầu của xe thứ nhất một khoảng bằng bai nhiêu ?
Câu 6 ( 2 điểm): Một vật đang nằm trên mặt phẳng nằm ngang, dưới tác dụng của một lực 20 N theo phương nằm ngang thì vật chuyển động với gia tốc 0,2 m/s2. Bỏ qua ma sát giữa vật và mặt phẳng ngang.
a) Tính khối lượng của vật.
b) Tính quãng đường vật đi được khi vật đạt vận tốc 18 m/s.
c) Nếu hệ số ma sát giữa vật và mặt phẳng ngang là 0,005. Tính gia tốc của vật khi tác dụng lực ở trên lên vật, lấy g = 10 m/s2.
Đáp án & Hướng dẫn giải
Câu 1:
Sự rơi tự do là sự rơi chỉ dưới tác dụng của trọng lực (0,25đ)
+ Phương của chuyển động rơi tự do là phương thẳng đứng (phương của dây dọi).
+ Chiều của chuyển động rơi tự do là chiều từ trên xuống dưới. (0,75đ)
+ Chuyển động rơi tự do là chuyển động thẳng nhanh dần đều.
Các công thức của chuyển động rơi tự do.
(0,50 đ)
Câu 2:
* Định luật I Niu-tơn (0,50 đ)
Nếu một vật không chịu tác dụng của lực nào hoặc chịu tác dụng của các lực có hợp lực bằng không, thì vật đang đứng yên sẽ tiếp tục đứng yên, đang chuyển động sẽ tiếp tục chuyển động thẳng đều.
* Định luật II Niu-tơn (0,50 đ)
Gia tốc của một vật cùng hướng với lực tác dụng lên vật. Độ lớn của gia tốc tỉ lệ thuận với độ lớn của lực và tỉ lệ nghịch với khối lượng của vật.
Trường hợp vật chịu nhiều lực tác dụng
là hợp lực của tất cả các lực đó:
* Định luật III Niu-tơn (0,50 đ)
Trong mọi trường hợp, khi vật A tác dụng lên vật B một lực, thì vật B cũng tác dụng lại vật A một lực. Hai lực này cùng giá, cùng độ lớn, nhưng ngược chiều.
Câu 3:
* Điều kiện cân bằng của một chất điểm: hợp lực của tất cả các lực đồng thời tác dụng lên vật phải bằng không:
(0,50 đ)
* Quy tắc tổng hợp hai lực đồng qui. Nếu hai lực đồng qui làm thành hai cạnh của một hình bình hành, thì đường chéo kể từ điểm đồng qui biểu diễn hợp lực của chứng.
(0,50 đ)
Câu 4 :
a)
Ta ký hiệu canô là (1), nước là (2), bờ sông là (3)
Áp dụng công thức cộng vận tốc:
(0,25 đ)
Khi canô xuôi dòng:
(0,50 đ)
Mà
(0,25đ)
Vậy vận tốc của canô đối với nước: v12 = 24 – 6 = 18 km/h (0,25đ)
b) Khi ca nô đi ngược dòng:
v13 = v12 - v23 (0,25đ)
= 18 - 6 = 12 km/h (0,25đ)
Vậy thời gian ngược dòng của canô:
(0,25đ)
Câu 5 :
a) Chọn Ox có gốc tại A, chiều dương hướng từ A sang B. Gốc thời gian là lúc hai xe bắt đầu chuyển động. Suy ra x01 = 0; x02 = 300 m.
- Với xe thứ nhất chuyển động theo chiều dương của Ox nên: v01 = 10m/s và chuyển động nhanh dần đều nên a1 = 2 m/s2 (do v01a1 > 0) (0,25đ)
- Xe thứ hai chuyển động theo chiều âm của Ox nên v02 = - 20 m/s và chuyển động chậm dần đều nên a2 = 2 m/s2 (do v02a2 < 0), x2 = 300 m. (0,25đ)
Phương trình chuyển động của xe thứ nhất:
Phương trình chuyển động của xe thứ hai:
b) Khoảng cách giữa hai xe:
c) Hai xe gặp nhau khi:
(0,25đ)
Vậy hai xe gặp nhau sau 10s.
Khi đó thay t = 10s vào ta có:
(0,25đ)
Suy ra vị trí gặp nhau cách vị trí xuất phát ban đầu của xe thứ 1 là 200 m.
Câu 6 :
a) Chọn chiều dương là chiều chuyển động của vật (0,25đ)
Các lực tác dụng lên vật như hình vẽ :
Theo định luật II Niu tơn:
(0,25đ)
c) Chọn chiều dương là chiều chuyển động của vật
Các lực tác dụng lên vật như hình vẽ: (0,25đ)
Theo định luật II Niu tơn:
(0,25đ)
Sở Giáo dục và Đào tạo .....
Đề kiểm tra tự luận Học kì 1
Môn: Vật lí 10
Thời gian làm bài: 45 phút
(Đề 2)
Câu 1: (2 điểm) Tại sao gia tốc rơi tự do và trọng lượng của vật càng lên cao thì càng giảm.
Câu 2: (4 điểm)
Một vật có khối lượng m = 4,0 kg bắt đầu chuyển động trên mặt sàn nằm ngang dưới tác dụng của một lực
hợp với hướng chuyển động một góc α = 30° (Hình vẽ). Hệ số ma sát trượt giữa vật và sàn là μt = 0,30. Cho biết độ lớn lực kéo F = 17N và gia tốc trọng trường g = 10m/s2.
a) Tính gia tốc của vật ?
b) Quãng đường vật đi được trong giây thứ 5 kể thừ khi vật bắt đầu chuyển động.
Câu 3: (2 điểm)
Người ta treo một đầu lò xo vào một điểm cố định, đầu dưới của lò xo là những chùm quả nặng, mỗi quả đều có khối lượng 200g. Khi chùm quả nặng có 2 quả, chiều dài của lò xo là 15cm. Khi chùm quả nặng có 4 quả, chiều dài của lò xo là 17cm. Cho g = 10m/s2. Số quả nặng cần treo để lò xo dài 21 cm là bao nhiêu?
Câu 4: (2 điểm)
Từ tầng nhà cao 80 m ta thả một vật rơi tự do, 1 giây sau đó ta ném thẳng đứng xuống dưới một vật khác thì hai vật chạm đất cùng lúc. Lấy g = 10 m/s2.
a) Tính vận tốc ban đầu ta đã truyền cho vật thứ hai.
b) Tính vận tốc mỗi vật khi chạm đất.
Đáp án & Hướng dẫn giải
Câu 1 (2 điểm)
Công thức gia tốc rơi tự do:
Từ công thức trên ra thấy h tỉ lệ nghịch với g nên càng lên cao (h tăng) thì g càng giảm. (0,50đ)
Trọng lượng của vật:
(0,50đ)
Từ công thức trên ra thấy h tỉ lệ nghịch với P nên càng lên cao (h tăng) thì P càng giảm. (0,50đ)
Câu 2 (4 điểm)
a) (3 điểm)
Các lực tác dụng lên vật được biểu diễn như hình vẽ. (1,00đ)
Chọn hệ trục Ox theo hướng chuyển động, Oy vuông góc phương chuyển động.
*Áp dụng định luật II Niu – tơn ta được:
Chiếu hệ thức (*) lên trục Ox ta được:
(0,50đ)
Chiếu hệ thức (*) lên trục Oy ta được:
Mặt khác
Từ (1), (2) và (3) suy ra:
b) (1 điểm)
Quãng đường mà vật đi được trong giây thứ 5 là:
S = S5 – S4 = 0,5.a.t52 – 0,5.a.t42 = 0,5.1,25.52 - 0,5.1,25.42 = 5,625 m. (1,00đ)
Câu 3 (2 điểm)
Khi treo hai quả nặng mỗi quả nặng có khối lượng m = 200 g
Khi treo thêm hai quả nặng m = 200g:
(0,50đ)
Từ
(0,50đ)
Khi treo n quả nặng vào lò xo chiều dài của lò xo là:
(0,50đ)
Câu 4: (2 điểm)
a) (1 điểm)
Chọn trục tọa độ ox như hình vẽ
Chọn gốc thời gian ngay khi thả rơi vật thứ nhất
Xét vật 1:
b) (1 điểm)
Vận tốc vật 1 khi chạm đất: v1 = g.t = 10.4 = 40m/s (0,50đ)
Vận tốc vật 2 khi chạm đất:
Sở Giáo dục và Đào tạo .....
Đề kiểm tra tự luận Học kì 1
Môn: Vật lí 10
Thời gian làm bài: 45 phút
(Đề 3)
Câu 1 (3,0 điểm)
a/ (1,0 điểm) Chuyển động thẳng nhanh dần đều, thẳng chậm dần đều là gì?
b/ (1,0 điểm) Chuyển động tròn đều là gì?
c/ (1,0 điểm) Vào thế kỉ 16, Galileo Galilei đã thả hai quả đạn có khối lượng khác nhau từ trên tháp nghiêng Pisa (Ý) để chứng minh các vật đều rơi nhanh như nhau. Từ thí nghiệm trên, biết rằng nơi thả vật có độ cao là 57 m. Nếu bỏ qua ảnh hưởng của không khí thì sau bao lâu vật rơi chạm đất ? Lấy g = 10 m/s2.
Câu 2 (1,0 điểm) Rất nhiều tai nạn giao thông có nguyên nhân vật lí là quán tính. Em hãy tìm một ví dụ về điều đó và nêu cách phòng tránh tai nạn trong những trường hợp như thế?
Câu 3 (2,0 điểm) Một ôtô có khối lượng 1 tấn đang chuyển động với vận tốc 18 km/h thì tăng tốc chuyển động thẳng nhanh dần đều sau khi đi được quãng đường 50 m thì đạt vận tốc 54 km/h. Biết lực kéo của động cơ xe có độ lớn 2200 N, hệ số ma sát giữa bánh xe và mặt đường là μ.
Lấy g = 10 m/s2.
a/ (0,5 điểm) Vẽ hình biểu diễn các lực cơ bản tác dụng lên vật.
b/ (0,5 điểm) Tính gia tốc của vật.
c/ (1,0 điểm) Tính hệ số ma sát μ giữa bánh xe và mặt đường.
Câu 4 (2,0 điểm)
a/ (1,0 điểm) Phát biểu và viết hệ thức của định luật ba Niu – tơn.
b/ (1,0 điểm) Một lò xo nhẹ, có chiều dài tự nhiên là 12 cm một đầu được giữ cố định. Treo một vật có khối lượng m = 200 g vào đầu dưới của lò xo, ở trạng thái cân bằng thì chiều dài lò xo lúc này là 14 cm. Lấy g = 10 m/s2. Tính độ cứng của lò xo.
Câu 5 (2,0 điểm)
a/ (1,0 điểm) Phát biểu điều kiện cân bằng của một vật có trục quay cố định (quy tắc momen lực).
b/ (1,0 điểm) Bạn An đang cùng với bố của mình ngồi trên một chiếc bập bênh như hình vẽ. Bạn An phải ngồi cách bố mình một đoạn bao nhiêu để bập bênh đạt trạng thái cân bằng? Biết trục quay O nằm tại trọng tâm của bập bênh.
Cho d = 1 m, P1 = 770 N, P2 = 350 N.
Đáp án & Hướng dẫn giải
Câu 1 (3,0 điểm)
a/ (1,0 điểm) Chuyển động thẳng nhanh dần đều, thẳng chậm dần đều là gì?
Chuyển động thẳng nhanh dần đều là chuyển động có quỹ đạo là đường thẳng và độ lớn vận tốc tức thời tăng đều theo thời gian.
Chuyển động thẳng chậm dần đều là chuyển động có quỹ đạo là đường thẳng và độ lớn vận tốc tức thời giảm đều theo thời gian.
b/ (1,0 điểm) Chuyển động tròn đều là gì?
Chuyển động tròn đều là chuyển động có quỹ đạo là đường tròn
và có tốc độ trung bình như nhau trên mọi cung tròn.
c/ (1,0 điểm) Thời gian rơi của vật
Câu 2 (1,0 điểm)
Ví dụ: Trong các vụ tai nạn tàu hỏa, tàu hỏa không thể phanh gấp vì tàu hỏa đang chuyển động thường có quán tính lớn. Nếu tàu hỏa phanh gấp sẽ làm cho đoàn tàu phía sau bị lật khỏi đường ray gây tai nạn nghiêm trọng.
Vì thế, khi đi đến đoạn giao với đường sắt, người đi đường cần chú ý giảm tốc độ và quan sát cẩn thận trước khi băng qua đường.
Câu 3 (2,0 điểm)
a/ (0,5 điểm)
b/ (0,5 điểm)
Gia tốc:
c/ (1,0 điểm)
Áp dụng định luật II Niu – tơn:
Chiếu lên chiều dương (hoặc chiếu lên chiều chuyển động)
Câu 4 (2,0 điểm)
a/ (1,0 điểm) Phát biểu và viết hệ thức của định luật ba Niu – tơn.
Trong mọi trường hợp, khi vật A tác dụng lên vật B một lực, thì vật B cũng tác dụng lại vật A một lực.
Hai lực này có cùng giá, cùng độ lớn nhưng ngược chiều.
b/ (1,0 điểm)
Khi vật cân bằng: Fđh = P
Câu 5 (2,0 điểm)
a/ (1,0 điểm)
Muốn cho một vật có trục quay cố định ở trạng thái cân bằng, thì tổng các mômen lực có xu hướng làm vật quay cùng chiều kim đồng hồ phải bằng tổng các mômen lực có xu hướng làm vật quay ngược chiều kim đồng hồ.
b/ (1,0 điểm)
Áp dụng qui tắc momen:
Khoảng cách giữa bạn An và bố mình là: 2.2 + 1 = 3.2 m
Sở Giáo dục và Đào tạo .....
Đề kiểm tra tự luận Học kì 1
Môn: Vật lí 10
Thời gian làm bài: 45 phút
(Đề 4)
Câu 1: (1,5 điểm): Sự rơi tự do là gì? Nêu các đặc điểm và công thức của sự rơi tự do.
Câu 2: (1,5 điểm): Phát biểu và viết biểu thức định luật vạn vật hấp dẫn, giải thích các đại lượng trong biểu thức.
Câu 3: (1,0 điểm): Nêu điều kiện cân bằng của vật chịu tác dụng của ba lực không song song. Viết biểu thức.
Câu 4: (2,0 điểm): Một canô chạy thẳng xuôi dòng từ bến A đến bến B cách nhau 36km mất một khoảng thời gian là 1 giờ 30 phút. Vận tốc của nước đối với bờ sông là 6 km/h.
a) Tính vận tốc của ca nô đối với nước.
b) Tính khoảng thời gian để canô chạy ngược dòng chảy từ bến B trở về bến A.
Câu 5: (2,0 điểm): Lúc 7 giờ một ôtô bắt đầu chuyển động nhanh dần đều với gia tốc 0,1 m/s2 trên đường thẳng nằm ngang từ điểm A đến B cách A 200 km.
a) Viết phương trình chuyển động của ôtô.
b) Tính vận tốc và quãng đường ô tô đi được sau khi khởi hành được 5 phút.
c) Tính thời gian ô tô đi từ A đến B.
Câu 6: (2,0 điểm): Một vật đang nằm trên mặt phẳng nằm ngang, dưới tác dụng của một lực 20 N theo phương nằm ngang thì vật chuyển động với gia tốc 0,2 m/s2. Bỏ qua ma sát giữa vật và mặt phẳng ngang.
a) Tính khối lượng của vật.
b) Tính quãng đường vật đi được khi vật đạt vận tốc 18 m/s.
c) Nếu hệ số ma sát giữa vật và mặt phẳng ngang là 0,005. Tính gia tốc của vật khi tác dụng lực ở trên lên vật, lấy g = 10 m/s2.
Đáp án và Thang điểm
Câu 1:
Sự rơi tự do là sự rơi chỉ dưới tác dụng của trọng lực (0,25 điểm)
+ Phương của chuyển động rơi tự do là phương thẳng đứng (phương của dây dọi).
+ Chiều của chuyển động rơi tự do là chiều từ trên xuống dưới. (0,75 điểm)
+ Chuyển động rơi tự do là chuyển động thẳng nhanh dần đều.
Các công thức của chuyển động rơi tự do.
Câu 2:
- Lực hấp dẫn giữa hai chất điểm bất kì tỉ lệ thuận với tích hai khối lượng của chúng và tỉ lệ nghịch với bình phương khoảng cách giữa chúng. (0,5 điểm)
Công thức:
(0,5 điểm)
+ G = 6,67 (Nm/kg2 ): hằng số hấp dẫn
+ m1; m2 (kg): Khối lượng của hai vật (0,5 điểm)
+ r (m): Khoảng cách giữa hai vật
Câu 3:
Muốn cho một vật chịu tác dụng của ba lực không song song ở trạng thái cân bằng thì :
+ Ba lực đó phải đồng phẵng và đồng qui.
+ Hợp lực của hai lực phải cân bằng với lực thứ ba. (0,5 điểm)
Biểu thức:
(0,5 điểm)
Câu 4:
a) Gọi: (0,25 điểm)
(1): canô (2): nước (3): bờ sông
Áp dụng công thức cộng vận tốc:
(0,25 điểm)
Khi canô xuôi dòng:
(0,25 điểm)
Mà
(0,25 điểm)
Vậy vận tốc của canô đối với nước: v12 = 24 – 6 = 18 km/h (0,25 điểm)
b) khi ca nô đi ngược dòng: v13 = v12 - v23 (0,25 điểm)
= 18 - 6 = 12 km/h (0,25 điểm)
Vậy thời gian ngược dòng của canô:
(0,25 điểm)
Câu 5:
a) Chọn: (0,25 điểm)
+ trục OX trùng với quỹ đạo chuyển động của xe
+ gốc tọa độ tại vị trí A
+ gốc thời gian lúc 7 giờ
Phương trình chuyển động của ôtô: x = x0 + v0.t + 0,5.a.t2 (0,25 điểm)
Ta có x0 = 0; v0 = 0; a = 0,1 m/s2. (0,25 điểm)
Suy ra: x = 0,05.t2 (m) (0,25 điểm)
b) Quãng đường ô tô đi được sau 5 phút:
S = |x| = 0,05.(5.60)2 = 4500 m = 4,5 km (0,25 điểm)
Phương trình vận tốc: v = v0 + a.t = 0,1.t (m/s) (0,25 điểm)
Vận tốc của ôtô sau 5 phút chuyển động: (0,25 điểm)
v = 0,1.(5.60)= 30 m/s = 108 km/s
c) thời gian ô tô đi từ A đến B:
AB = 0,05.t2
= 2000 s = 33 phút 20 giây. (0,25 điểm)
Câu 6:
a) Chọn chiều dương là chiều chuyển động của vật (0,25 điểm)
Các lực tác dụng lên vật như hình vẽ:
Theo định luật II Niu tơn:
(0,25 điểm)
⇒ F = m.a
b) ta có công thức v2 – v20 = 2.a.S (0,25 điểm)
c) Chọn chiều dương là chiều chuyển động của vật
Các lực tác dụng lên vật như hình vẽ: (0,25 điểm)
Theo định luật II Niu tơn:
(0,25 điểm)
⇒ F - Fms = m.a1 ↔ F - μ.m.g = m.a1
(0,25 điểm)
Sở Giáo dục và Đào tạo .....
Đề kiểm tra tự luận Học kì 1
Môn: Vật lí 10
Thời gian làm bài: 45 phút
(Đề 5)
Câu 1: (2 điểm): Em hãy viết biểu thức tính độ lớn lực đàn hồi của lò xo và giải thích ý nghĩa mỗi kí hiệu trong công thức ?
Câu 2: (4 điểm): Một vật có khối lượng m = 5kg trượt trên mặt phẳng nằm ngang nhờ lực kéo F→
như hình vẽ. Cho biết: độ lớn lực kéo F = 20N; g = 10m/s2.
a) Tính gia tốc của vật, khi bỏ qua mọi ma sát ?
b) Tính gia tốc của vật, khi hệ số ma sát trượt giữa vật và mặt phẳng là μ = 0,2?
Câu 3: (2 điểm): Một lò xo có độ cứng k = 100 N/m có chiều dài tự nhiên là 50 cm. Treo vào đầu dưới của lò xo một vật có khối lượng 0,5 kg, lấy g = 10m/s2. Xác định chiều dài của lò xo khi vật ở vị trí cân bằng.
Câu 4: (2 điểm): Từ tầng nhà cao 80 m ta thả một vật rơi tự do, 1 giây sau đó ta ném thẳng đứng xuống dưới một vật khác thì hai vật chạm đất cùng lúc. Lấy g = 10 m/s2 .
a) Tính vận tốc ban đầu ta đã truyền cho vật thứ hai
b) Tính vận tốc mỗi vật khi chạm đất
Đáp án và Thang điểm
Câu 1:
Fđh = k|Δl| = k|l - l0| (1 điểm)
k là độ cứng của lò xo
l0 là chiều dài tự nhiên của lò xo (1 điểm)
l là chiều dài của lò xo tại vị trí cần tính lực đàn hồi của lò xo
Câu 2:
a) (2 điểm)
+ Vẽ hình, biểu diễn tất cả mọi lực tác dụng lên vật: (0,5 điểm)
+ Viết phương trình định luật II Niu-tơn:
(0,5 điểm)
+ Chiếu pt (1) lên trục Ox ta được: F = m.a (0,5 điểm)
(0,5 điểm)
b) (2 điểm)
+ Vẽ hình, biểu diễn tất cả mọi lực tác dụng lên vật
+ Viết phương trình định luật II Niu-tơn
(0,5 điểm)
+ Chiếu pt (2) lên trục Oy: N – P = 0
→ N = P = m.g = 5.10 = 50N (0,5 điểm)
+ Độ lớn lực ma sát: Fms = μ.N = 0,2.50 = 10N (0,5 điểm)
+ Chiếu pt (2) lên trục Ox: F – Fms = ma
(0,5 điểm)
Câu 3:
Tại VTCB ta có:
→ P = F (1 điểm)
→ mg = k (l – l0)
↔ 0,5.10 = 100(l - 0,5)
→ l = 0,55(m) = 55(cm) (1 điểm)
Câu 4:
a) (1 điểm)
Chọn trục tọa độ ox như hình vẽ
Chọn gốc thời gian ngay khi thả rơi vật thứ nhất
Xét vật 1:
(0,5 điểm)
Xét vật 2:
(0,5 điểm)
b) (1 điểm)
Vận tốc vật 1 khi chạm đất: v1 = g.t = 10.4 = 40m/s (0,5 điểm)
Vận tốc vật 2 khi chạm đất:
(0,5 điểm)
Xem thêm bộ đề thi Vật Lí 10 năm 2025 chọn lọc khác: