Đề kiểm tra 45 phút Toán 12 Chương 3 Hình học có đáp án (Đề 1)
Đề kiểm tra Toán 12
Thời gian làm bài: 45 phút
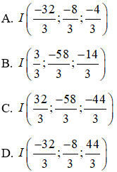
Câu 1. Trong không gian tọa độ Oxyz cho ba điểm M(1;1;1); N(2;3;4); P(7;7;5). Để tứ giác MNPQ là hình bình hành thì tọa độ điểm Q là
Câu 2. Cho điểm M(3;2;-1), điểm M'(a;b;c) đối xứng của M qua trục Oy, khi đó a + b + c bằng:
A. 6
B. 4
C. 0
D. 2
Câu 3. Cho . Để góc giữa hai vectơ
có số đo bằng 45° thì m bằng
Câu 4. Trong không gian Oxyz, cho tam giác ABC có A(1;0;0), B(0;0;1), C(2;1;1). Tam giác ABC có diện tích bằng
Câu 5. Trong không gian Oxyz, cho tam giác ABC có A(-1;2;4), B(3;0;-2), C( 1;3;7). Gọi D là chân đường phân giác trong của góc
A. Tìm tọa độ điểm D?
Câu 6. Phương trình mặt cầu có tâm I(-1;2;-3), bán kính R = 3 là:
Câu 7. Tính bán kính mặt cầu (S) có tâm I(1;2;0) và (S) qua P(2;-2;1).
Câu 8. Mặt cầu (S) qua 2 điểm và có tâm thuộc
. Tìm tâm của mặt cầu?
Câu 9. Trong không gian Oxyz, cho mặt cầu và mặt phẳng (P): 2x + y + 2z – 1 = 0. Giá trị của a để (P) cắt mặt cầu (S) theo đường tròn (C)
Câu 10. Viết phương trình tiếp diện (α) của mặt cầu , biết tiếp diện song song với mặt phẳng (P):
.
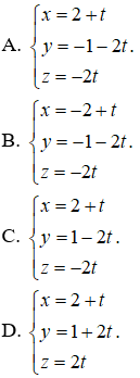
A. x + 2y – 2z - 6 = 0
B. x +2y – 2z + 12 = 0
C. Cả A và B đúng
D. Đáp án khác
Câu 11. Trong không gian với hệ toạ độ Oxyz, cho mặt phẳng (P) có phương trình -2x + 2y - z - 3 = 0. Mặt phẳng (P) có một vectơ pháp tuyến là:
Câu 12. Trong không gian Oxyz, viết phương trình mặt phẳng (P) đi qua điểm A(1;0;-2) và có vectơ pháp tuyến .
A. x – 2z + 3 = 0
B. x – y + 2z + 3 = 0
C. x + 2y – z + 3 = 0
D. x - 2z - 3 = 0
Câu 13. Trong không gian Oxyz, viết phương trình mặt phẳng (α) chứa đường thẳng và điểm M(-4;3;2)?
A. 4x - 5y – 10z + 11 = 0
B. 4x + 5y - 10z + 1 = 0
C. –4x + 5y + 10z – 11 = 0
D. 4x + 5y + 10z - 19 = 0
Câu 14. Cho hai đường thẳng . Góc giữa hai đường thẳng d1 và d2 là:
A. 30°
B. 45°
C. 90°
D. 60°
Câu 15. Trong không gian Oxyz, viết phương trình mặt phẳng (P) chứa đường thẳng
A. y + 2z –3 = 0
B. x + y + z - 3 = 0
C. 2x - z – 1 = 0
D. 2x - y -1 = 0
Câu 16. Trong không gian với hệ trục tọa độ Oxyz, cho hai mặt phẳng . Giá trị số thực m để hai mặt phẳng (P); (Q) vuông góc
Câu 17. Trong không gian Oxyz, cho mặt phẳng (P): 3x + 5y – z – 2 = 0 và đường thẳng . Trong các mệnh đề sau, mệnh đề nào đúng?
Câu 18. Hai đường thẳng có vị trí tương đối là:.
A. Trùng nhau.
B. Song song.
C. Chéo nhau.
D. Cắt nhau.
Câu 19. Trong không gian với hệ toạ độ Oxyz, gọi (α) là mặt phẳng qua G(1;2;3) và cắt các trục Ox, Oy, Oz lần lượt tại các điểm A,B, C (khác gốc O) sao cho G là trọng tâm của tam giác ABC. Khi đó mặt phẳng (α) có phương trình:
Câu 20. Trong không gian với hệ tọa độ Oxyz, cho đường thẳng . Đường thẳng d đi qua điểm M và có vectơ chỉ phương
có tọa độ là:
Câu 21. Trong không gian với hệ tọa độ Oxyz, phương trình nào sau đây là phương trình tham số của đường thẳng d qua điểm M (-2;3;1) và có vectơ chỉ phương ?
Câu 22. Trong không gian với hệ tọa độ Oxyz, cho tam giác ABC có A(2;1;-2) ; B (4;-1;1) và C(0;-3;1). Phương trình d đi qua trọng tâm của tam giác ABC và vuông góc với mặt phẳng (ABC) là
Câu 23. Trong không gian với hệ tọa độ Oxyz cho hai đường thẳng và
. Phương trình đường thẳng ∆ đi qua điểm A(1;2;3) vuông góc với d1 và cắt d2 là:
Câu 24. Trong không gian với hệ tọa độ Oxyz, cho hai đường thẳng và
. Phương trình đường thẳng vuông góc với
và cắt hai đường thẳng d1; d2 là:
Câu 25. Trong không gian với hệ tọa độ Oxyz cho hai đường thẳng và
. Phương trình đường vuông góc chung của hai đường thẳng d1, d2 là.
Đáp án & Hướng dẫn giải
Câu 1. Chọn B.
Gọi tọa độ điểm Q(x;y;z)
Vì MNPQ là hình bình hành nên:
Câu 2. Chọn C.
Với M(a;b;c) ⇒ điểm đối xứng của M qua trục Oy là M'(-a;b;-c)
⇒ M'(-3;2;1) ⇒ a + b + c = -3 + 2 + 1 = 0.
Câu 3. Chọn B.
Cosin góc giữa hai vecto đã cho là
Câu 4. Chọn C.
Câu 5. Chọn A.
Gọi D(x;y;z).
Theo tính chất đường phân giác của tam giác ta có:
Câu 6. Chọn C.
Mặt cầu có tâm I(-1;2;-3), bán kính R = 3 có phương trình:
Câu 7. Chọn D.
Câu 8. Chọn C
Ta có là tâm của mặt cầu (S) cần tìm.
Câu 9. Chọn C.
có tâm I(a;2;3) và có bán kính R = 3
Để (P) cắt mặt cầu (S) theo đường tròn
Câu 10. Chọn C.
Mặt cầu (S) có tâm I(-1;2;3) và bán kính
Do mặt phẳng (α) // (P) nên (α) có dạng: x + 2y - 2z + m = 0.
Do (α) tiếp xúc với (S) d(I;(α)) = R
* Với m = -6 suy ra mặt phẳng có phương trình: x + 2y - 2z - 6 = 0
* Với m = 12 suy ra mặt phẳng có phương trình: x + 2y - 2z + 12 = 0.
Câu 11. Chọn A.
+) Trong không gian hệ tọa độ Oxyz, mỗi mặt phẳng (P) có phương trình:
ax + by + c.z + d = 0(a^2 + b^2 + c^2 > 0). Khi đó, một vecto pháp tuyến của mặt phẳng (P) là:
. Các vecto có dạng
cũng là vetco pháp tuyến của mặt phẳng.
+) Mặt phẳng (P): -2 x + 2y – z - 3 = 0 có một vecto pháp tuyến là: .
Do đó, vecto cũng là 1 vecto pháp tuyến của mặt phẳng (P).
Câu 12. Chọn B.
Mặt phẳng (P) đi qua điểm A(1;0;-2) và có vectơ pháp tuyến có phương trình là:
Vậy phương trình mặt phẳng (P) là: x - y + 2z + 3 = 0.
Câu 13. Chọn D.
Đường thẳng d đi qua điểm N(1;1;1) vectơ chỉ phương .
Mặt phẳng (α) chứa đường thẳng d và điểm M nên (α) có một vectơ pháp tuyến là:
Phương trình mặt phẳng là: 4(x - 1) + 5(y – 1) + 10(z – 1) = 0
Hay 4x + 5y + 10z – 19 = 0.
Câu 14. Chọn D.
Gọi lần lượt là vectơ chỉ phương của đường thẳng d1; d2.
Câu 15. Chọn A.
Đường thẳng d1 đi qua điểm M1(1;1;1) vectơ chỉ phương .
Đường thẳng d2 đi qua điểm M2(1;1;1) vectơ chỉ phương .
Do nên đường thẳng d1, d2 cắt nhau.
Mặt phẳng (α) chứa đường thẳng d1, d2 cắt nhau nên (α) có một vectơ pháp tuyến là:
và đi qua M1 (1; 1; 1)
Phương trình mặt phẳng (α) là: 0(x – 1) + 1(y – 1) + 2(z – 1) = 0 hay y + 2z – 3 = 0.
Câu 16. Chọn D.
Vecto pháp tuyến của hai mặt phẳng (P) và (Q) lần lượt là:
Để 2 mặt phẳng (P); (Q) vuông góc:
Câu 17. Chọn C.
Mặt phẳng (P): 3x + 5y – z – 2 = 0 có VTPT
Đường thẳng có VTCP
Câu 18. Chọn A.
Câu 19. Chọn B.
Gọi là giao điểm của mặt phẳng (α) các trục Ox, Oy, Oz
Phương trình mặt phẳng
Ta có G là trọng tâm tam giác ABC
Câu 20. Chọn A.
Đường thẳng d đi qua M(-2;2;1) và có vectơ chỉ phương
Câu 21. Chọn D.
Phương trình tham số của đường thẳng d qua điểm M(-2;3;1) và có vectơ chỉ phương
Câu 22. Chọn A.
Đường thẳng d đi qua G(2;-1;0) và có vectơ chỉ phương là
Vậy phương trình tham số của d là
Câu 23. Chọn A.
Câu 24. Chọn B.
d đi qua điểm A(2;0;-1) và có vectơ chỉ phương
Vậy phương trình của d là
Câu 25. Chọn A.
Gọi d là đường thẳng cần tìm
⇒ A(2;1;2); B(3;3;1)
d đi qua điểm A(2;1;2) và có vectơ chỉ phương
Vậy phương trình của d là
Xem thêm các Đề thi Toán 12 chọn lọc, có đáp án hay khác:
Đề kiểm tra 45 phút Toán 12 Chương 3 Hình học có đáp án (Đề 2)
Đề kiểm tra 45 phút Toán 12 Chương 3 Hình học có đáp án (Đề 3)
Đề kiểm tra 45 phút Toán 12 Chương 3 Hình học có đáp án (Đề 4)
Để học tốt lớp 12 các môn học sách mới:
- Giải bài tập Lớp 12 Kết nối tri thức
- Giải bài tập Lớp 12 Chân trời sáng tạo
- Giải bài tập Lớp 12 Cánh diều
Đã có app VietJack trên điện thoại, giải bài tập SGK, SBT Soạn văn, Văn mẫu, Thi online, Bài giảng....miễn phí. Tải ngay ứng dụng trên Android và iOS.
Theo dõi chúng tôi miễn phí trên mạng xã hội facebook và youtube:Nếu thấy hay, hãy động viên và chia sẻ nhé! Các bình luận không phù hợp với nội quy bình luận trang web sẽ bị cấm bình luận vĩnh viễn.
- Giáo án lớp 12 (các môn học)
- Giáo án điện tử lớp 12 (các môn học)
- Giáo án Toán 12
- Giáo án Ngữ văn 12
- Giáo án Vật Lí 12
- Giáo án Hóa học 12
- Giáo án Sinh học 12
- Giáo án Địa Lí 12
- Giáo án Lịch Sử 12
- Giáo án Lịch Sử 12 mới
- Giáo án GDCD 12
- Giáo án Kinh tế Pháp luật 12
- Giáo án Tin học 12
- Giáo án Công nghệ 12
- Giáo án GDQP 12
- Đề thi lớp 12 (các môn học)
- Đề thi Ngữ văn 12
- Đề thi Toán 12
- Đề thi Tiếng Anh 12 mới
- Đề thi Tiếng Anh 12
- Đề thi Vật Lí 12
- Đề thi Hóa học 12
- Đề thi Sinh học 12
- Đề thi Địa Lí 12
- Đề thi Lịch Sử 12
- Đề thi Giáo dục Kinh tế Pháp luật 12
- Đề thi Giáo dục quốc phòng 12
- Đề thi Tin học 12
- Đề thi Công nghệ 12


Giải bài tập SGK & SBT
Tài liệu giáo viên
Sách
Khóa học
Thi online
Hỏi đáp

