Top 4 Đề thi 1 tiết Toán 12 Chương 3 Hình học có đáp án
Dưới đây là danh sách Top 4 Đề thi 1 tiết Toán 12 Chương 3 Hình học có đáp án, cực sát đề chính thức. Hi vọng bộ đề thi này sẽ giúp bạn ôn luyện & đạt điểm cao trong các bài thi Toán lớp 12.
Đề thi 1 tiết Toán 12
Sở Giáo dục và Đào tạo .....
Đề thi 45 phút Chương 3 Hình học
Môn: Toán 12
Thời gian làm bài: 45 phút
Câu 1. Trong không gian tọa độ Oxyz, cho ba điểm M(1;1;1), N(2;3;4), P(7;7;5). Để tứ giác MNPQ là hình bình hành thì tọa độ điểm Q là
A. Q(-6;5;2).
B. Q(6;5;2).
C. Q(6;-5;2).
D. Q(-6;-5;-2).
Câu 2. Cho điểm M(-2;5;0), hình chiếu vuông góc của điểm M trên trục Oy là điểm
A. M'(2;5;0).
B. M'(0;-5;0).
C. M'(0;5;0).
D. M'(-2;0;0).
Câu 3. Cho điểm M(3;2;-1), điểm đối xứng của M qua mặt phẳng (Oxy) là điểm
A. M'(3;-2;1).
B. M'(3;-2;-1).
C. M'(3;2;1).
D. M'(3;2;0).
Câu 4. Trong không gian với hệ trục tọa độ Oxyz, cho ba điểm A(1;2;-1), B(2;-1;3), C(-2;3;3). Tìm tọa độ điểm D là chân đường phân giác trong góc A của tam giác ABC
A. D(0;3;1).
B. D(0;1;3)
C. D(0;-3;1).
D. D(0;3;-1).
Câu 5. Trong không gian tọa độ Oxyzcho ba điểm A(2;5;1), B(-2;-6;2), C(1;2;-1) và điểm M(m;m;m), để đạt giá trị nhỏ nhất thì m bằng
A. 1
B. 3.
C. 2.
D. 4.
Câu 6. Trong không gian với hệ tọa độ Oxyz, cho điểm A(1;2;3); B(1;0;-1) và C(-1;2;0).
Tính
A. (2;3; 8)
B. (6;-8; -4)
C. (6;8;-4)
D. (2;-3;8)
Câu 7. Trong không gian Oxyz, cho hai điểm A(1;2;1), B(2;-1;2). Điểm M trên trục và cách đều hai điểm A, B có tọa độ là
Câu 8. Cho . Với giá trị nào của m thì ba vectơ trên đồng phẳng
Câu 9. Trong không gian cho A(1;1;1); B(2;3;4) và C(7;7;5). Diện tích của hình bình hành đó bằng
Câu 10. Cho A(1;-2;0), B(3;3;2), C(-1;2;2), D(3;3;1). Thể tích của tứ diện ABCD bằng
A. 5.
B. 4.
C. 3.
D. 6.
Câu 11. Trong không gian Oxyz, viết phương trình mặt phẳng (P) đi qua điểm A(1;-2;3) và có vectơ pháp tuyến .
A. x – 2y +3z + 2 = 0
B. x – 2y + 3z - 2 = 0
C. 2x - y - 2z + 2 = 0
D. 2x - y + 2z – 3 = 0
Câu 12. Cho hai mặt phẳng (P): (m - 1)x + 2y – z + 10 = 0 và (Q): - x + (2m + 1)y – mz + 2 = 0. Tìm m để hai mặt phẳng trên vuông góc với nhau.
Câu 13. Trong không gian với hệ trục tọa độ Oxyz, cho các điểm A(5;1;3); B(1;2;6); C(5;0;4); D(4;0;6). Viết phương trình mặt phẳng qua D và song song với mặt phẳng (ABC).
A. x + y + z – 10 = 0.
B. x + y + z - 9 = 0.
C. x + y + z – 8 = 0.
D. x + 2y + z – 10 = 0.
Câu 14. Trong không gian với hệ toạ độ Oxyz, (α) là mặt phẳng đi qua điểm A(2;-1;5) và vuông góc với hai mặt phẳng (P): 3x – 2y + z – 1 = 0 và (Q): 5x – 4y + 3z + 10 = 0. Phương trình mặt phẳng (α) là:
A. x + 2y + z- 5 = 0.
B. 2x – 4y – 2z – 9 = 0.
C. x - 2y + z -1 = 0
D. x- 2y- z + 1 = 0
Câu 15. Trong không gian với hệ tọa độ Oxyz, cho đường thẳng d có phương trình tham số . Phương trình chính tắc của đường thẳng d là?
Câu 16. Trong không gian Δ, cho hai đường thẳng . Trong các mệnh đề sau, mệnh đề nào đúng?
A. Song song.
B. Trùng nhau.
C. Cắt nhau.
D. Chéo nhau.
Câu 17. Trong không gian với hệ tọa độ Oxyz, cho tam giác ABC với A(1;4;-1); B(2;4;3); C(2;2;-1). Phương trình tham số của đường thẳng d đi qua điểm A và song song với BC là
Câu 18. Trong không gian với hệ tọa độ Oxyz, cho hai đường thẳng . Phương trình đường thẳng d nằm trong (α): x + 2y - 3z - 2 = 0 và cắt hai đường thẳng d1;d2 là:
Câu 19. Phương trình mặt cầu có tâm I(-1;2;-3), bán kính R = 3 là:
Câu 20. Cho đường thẳng và và mặt cầu (S): x2 + y2 + z2 - 2x + 4z + 1 = 0. Số điểm chung của (Δ) và (S) là :
A. 0.
B. 1.
C. 2.
D. 3.
Đáp án &Hướng dẫn giải
Câu 1. Chọn B.
Gọi điểm Q(x;y;z)
Câu 2. Chọn C.
Với M(a, b, c) thì hình chiếu vuông góc của M lên trục Oy là M1(0;b;0)
Do đó, hình chiếu vuông góc của M(-2;5;0) lên trục Oy là M’(0;5;0).
Câu 3. Chọn C.
Với M(a, b,c) thì điểm đối xứng của M qua mặt phẳng (Oxy) là M’(a;b;- c).
Do đó, điểm đối xứng với điểm M(3;2;-1) qua mặt phẳng (Oxy) là M’(3;2;1).
Câu 4. Chọn B.
Suy ra, tam giác ABC cân ở A nên D là trung điểm BC.
Câu 5. Chọn C.
Câu 6. Chọn C.
Ta có:
Câu 7. Chọn C.
Do điểm M thuộc trục Ox nên M(a;0;0)
Vì M cách đều hai điểm A, B nên MA = MB hay
Ta có:
Câu 8. Chọn D.
Câu 9. Chọn A.
Câu 10. Chọn C.
Câu 11. Chọn C
Phương trình mặt phẳng (P) qua A(1;-2;3), vecto pháp tuyến
2(x - 1) – 1.(y + 2) – 2.(z – 3) = 0 hay 2x - y – 2z + 2 = 0
Câu 12. Chọn A.
Câu 13. Chọn A.
+) Mặt phẳng đi qua D (4;0;6) có VTPT có phương trình:
1(x - 4) + 1(y - 0) + 1.(z – 6) = 0 hay x + y + z – 10 = 0
Câu 14. Chọn A.
Mặt phẳng (α) vuông góc với 2 mặt phẳng (P) và (Q) nên có một VTPT là
Phương trình mặt phẳng (α) là:
1(x - 2) + 2(y + 1) + 1.(z - 5) = 0 hay x + 2y + z – 5 = 0
Câu 15. Chọn B.
Đường thẳng d đi qua điểm A(2;0;-1) và có vectơ chỉ phương
Vậy phương trình chính tắc của d là
Câu 16. Chọn C.
Đường thẳng d có VTCP và đi qua M(1;7;3).
Đường thẳng d’ có VTCP và đi qua N(6;-1;-2).
Câu 17. Chọn A.
Vì d song song với BC nên d có vectơ chỉ phương
Đường thẳng d qua A(1;4;-1) và có vectơ chỉ phương
Vậy phương trình tham số của d là
Câu 18. Chọn C.
*) Gọi A = d1 ∩ (α)
A ∈ d1 ⇒ A(2-a;1+3a;1+2a)
Mà điểm A thuộc mp(α) nên thay tọa độ điểm A vào phương trình mặt phẳng ta được
(2 - a) + 2(1 + 3a) – 3(1 + 2a) – 2 = 0
⇔ 2 – a + 2 + 6a – 3 – 6a – 2 = 0
⇒ a = -1 ⇒ A(3;-2;-1)
*) Gọi B = d2 ∩ (α)
B ∈ d2 ⇒ B(1-3b;-2+b;-1-b)
Mà điểm B thuộc mp(α) nên thay tọa độ điểm B vào phương trình mặt phẳng ta được:
(1 - 3b) + 2(-2 + b) - 3(-1 - b) - 2 = 0
⇔ 1 - 3b – 4 + 2b + 3 + 3b - 2 = 0
⇔ 2b - 2 = 0 ⇔ b = 1 ⇒ B(-2;-1;-2)
*) Đường thẳng d đi qua điểm A(3;-2;-1) và có vectơ chỉ phương
Vậy phương trình chính tắc của d là
Câu 19. Chọn C.
Mặt cầu có tâm I(-1;2;-3), bán kính R= 3 có phương trình :
(x + 1)2 + (y - 2)2 + (z + 3)2 = 9.
Câu 20. Chọn A.
Đường thẳng(Δ)đi qua M(0;1;2) và có một vectơ chỉ phương là
Mặt cầu (S) có tâm I(1;0;-2) và bán kính .
Vì d(I,Δ)> R nên (Δ) không cắt mặt cầu (S).
Sở Giáo dục và Đào tạo .....
Đề thi 45 phút Chương 3 Hình học
Môn: Toán 12
Thời gian làm bài: 45 phút
Câu 1. Cho điểm M(1;2;-3) và N(1;-2;1), khoảng cách MN = ?
Câu 2. Cho điểm M(1;2;-3), hình chiếu vuông góc của điểm M trên mặt phẳng (Oxy) là:
A. M'(1;2;0).
B. M'(1;0;-3).
C. M'(0;2;-3).
D. M'(1;2;3).
Câu 3. Cho . Để góc giữa hai vectơ
có số đo bằng 45° thì m bằng
Câu 4. Trong không gian với hệ tọa độ Oxyz, cho điểm A(1;2;3); B(1;0;-1) và C(-1;2;0).
Tính
A. (2;3; 8)
B. (6;-8; -4)
C. (6;8;-4)
D. (2;-3;8)
Câu 5. Trong không gian Oxyz, cho tứ diện ABCD có A(1;0;2), B(-2;1;3), C(3;2;4), D(6;9;-5). Tìm tọa độ trọng tâm G của tứ diện ABCD
Câu 6. Trong không gian Oxyz, cho hai điểm A(1;2;1), B(2;-1;2). Điểm M trên trục Ox và cách đều hai điểm A, B có tọa độ là
Câu 7. Trong không gian Oxyz, cho ba điểm A(2;5;3), B(3;7;4), C(x;y;6). Giá trị của x, y để ba điểm A, B, C thẳng hàng là
A. x = 5; y = 11.
B. x = -5; y = 11.
C. x = -11; y = -5.
D. x = 11; y = 5
Câu 8. Cho A(1;-2;0), B(3;3;2), C(-1;2;2), D(3;3;1). Thể tích của tứ diện ABCD bằng
A. 5.
B. 4.
C. 3.
D. 6.
Câu 9. Trong không gian Oxyz, viết phương trình mặt phẳng (P) đi qua điểm A(1;0;-2) và có vectơ pháp tuyến .
A. x – y + 2z – 3 = 0
B. x – y + 2z + 3 = 0
C. x - 2z + 3 = 0
D. x + 2z – 3 = 0
Câu 10. Trong không gian Oxyz, cho hai mặt phẳng (P): 2x + my + 2mz - 9 = 0 và (Q): 6x - y - z - 10 = 0. Tìm m để (P)⊥(Q).
A. m = 4
B. m = -4
C. m = -2
D. m = 2
Câu 11. Trong không gian Oxyz, viết phương trình mặt phẳng đi qua ba điểm A(1;0;-2), B(1;1;1), C(0;-1;2).
A. 7x - 3y + z – 1 = 0
B. 7x + 3y + z + 3 = 0
C. 7x + 3y + z + 1 = 0
D. 7x – 3y + z – 5 = 0
Câu 12. Trong không gian Oxyz, viết phương trình mặt phẳng (P) đi qua điểm M(-1;-2;5) và vuông góc với hai mặt phẳng (Q): x + 2y - 3z + 1 = 0 và (R): 2x - 3y + z + 1 = 0.
A. x - y + z – 6 = 0
B. x + y - z + 8 = 0
C. –x + y + z – 4 = 0
D. x + y + z - 2 = 0
Câu 13. Trong không gian Oxyz, viết phương trình mặt phẳng (P) song song với mặt phẳng (Q): x + 2y - 2z + 1 = 0 và tiếp xúc với mặt cầu (S) : x2 + y2 + z2 + 2x – 4y – 2z – 3 = 0
A. x + 2y – 2z + 12 = 0 và x + 2y – 2z - 6 = 0
B. x + 2y – 2z – 12 = 0 và x + 2y – 2z + 6 = 0
C. x + 2y – 2z + 10 = 0 và x + 2y – 2z - 8 = 0
D. x + 2y – 2z – 10 = 0 và x + 2y – 2z + 8 = 0
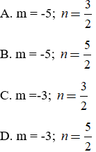
Câu 14. Trong không gian với hệ trục tọa độ Oxyz, cho hai mặt phẳng (α): 3x + (m - 1)y + 4z - 2 = 0, (β): nx + (m + 2)y + 2z + 4 = 0. Với giá trị thực của m, n bằng bao nhiêu để (α) song song (β)
Câu 15. Trong không gian với hệ tọa độ Oxyz, cho đường thẳng . Đường thẳng d đi qua điểm M và có vectơ chỉ phương
có tọa độ là:
Câu 16. Trong không gian với hệ tọa độ Oxyz, cho tam giác ABC có A(-1;3;2), B(2;0;5), C(0;-2;1). Phương trình đường trung tuyến AM của tam giác ABC là.
Câu 17. Cho hai đường thẳng . Góc giữa hai đường thẳng d1 và d2 là:
A. 30°
B. 45°
C. 90°
D. 60°
Câu 18. Trong không gian với hệ tọa độ Oxyz, cho hai đường thẳng . Phương trình đường thẳng ∆ song song với
và cắt hai đường thẳng Δ_1, Δ_2 là:
Câu 19. Mặt cầu (S): x2 + y2 + z2 - 4x + 1 = 0 có tọa độ tâm và bán kính R là:
Câu 20. Viết phương trình mặt cầu (S) biết (S) qua bốn điểm A(1;2;-4), B(1;-3;1), C(2;2;3) và D(1;0;4).
A. (x + 2)2 + (y - 1)2 + z2 = 26
B. (x - 2)2 + (y + 1)2 + z2 = 13
C. (x + 2)2 + (y + 1)2 + z2 = 52
D. Đáp án khác
Đáp án &Hướng dẫn giải
Câu 1. Chọn D.
Ta có:
Câu 2. Chọn A.
Với M(a, b, c) thì hình chiếu vuông góc của M lên mặt phẳng (Oxy) là M_1(a;b;0)
Do đó,hình chiếu của điểm M(1;2;-3) lên mặt phẳng (Oxy) là điểm M’(1;2;0).
Câu 3. Chọn B.
Câu 4. Chọn C.
Ta có:
Câu 5. Chọn D.
Gọi G(a,b,c) là trọng tâm của tứ diện, ta có:
Câu 6. Chọn C.
Do điểm M thuộc trục Ox nên M(a;0;0)
Vì M cách đều hai điểm A, B nên MA = MB hay
Câu 7. Chọn A
Để 3 điểm A, B, C thẳng hàng cùng phương:
Câu 8. Chọn C.
Ta có:
Câu 9. Chọn B.
Mặt phẳng (P) đi qua điểm A(1;0;-2) và có vectơ pháp tuyến có phương trình là:
1(x - 1) - 1(y - 0) + 2(z + 2) = 0 ⇔ x - y + 2z + 3 = 0.
Vậy phương trình mặt phẳng (P) là: x - y + 2z + 3 = 0.
Câu 10. Chọn A.
Câu 11. Chọn D.
Câu 12. Chọn D
VTPT của (Q) là , VTPT của (R) là
Ta có nên mặt phẳng (P) nhận
là một VTPT và (P) đi qua điểm M(-1 ;-2 ;5) nên có phương trình là:
1(x + 1) + 1(y + 2) + 1(z- 5) = 0 hay x + y + z -2 = 0.
Câu 13. Chọn D.
Mặt cầu (S) có tâm I(-1;2;1) và bán kính
Do (P) song song với mặt phẳng (Q) nên phương trình của mặt phẳng (P) có dạng:
x + 2y – 2z + D = 0 với D ≠ 1.
Vì (P) tiếp xúc với mặt cầu (S) nên d(I;(P)) = R = 3
Vậy có hai mặt phẳng thỏa mãn: x + 2y – 2z – 10 = 0 và x + 2y – 2z + 8 = 0
Câu 14. Chọn A.
Câu 15. Chọn C
Đường thẳng d đi qua điểm M(-2;1;3) và có vectơ chỉ phương
Câu 17. Chọn D.
Gọi lần lượt là vectơ chỉ phương của đường thẳng d1, d2.
Áp dụng công thức ta có cosin góc giữa hai đường thẳng là:
Câu 18. Chọn A.
Ta có A(2;3;3), B(2;2;2)
∆ đi qua điểm A(2;3;3) và có vectơ chỉ phương
Vậy phương trình của Δ là
Câu 19. Chọn A.
Phương trình mặt cầu (S) có dạng x2 + y2 + z2 - 2ax - 2by - 2cz + d = 0 với a2 + b2 + c2 - d > 0, có tâm I(a;b;c), bán kính .
Do đó, mặt cầu (S) có tâm I(2;0;0) và bán kính:
Câu 20. Chọn A.
Gọi phương trình mặt cầu (S): x2 + y2 + z2 - 2ax - 2by - 2cz + d = 0, (a2 + b2 + c2 - d > 0)
có tâm I (a;b;c) và bán kính
Do A(1;2;-4) ∈ (S) nên: 12 + 22 + (-4)2 – 2.a.1 – 2b.2 - 2c.(-4) + d = 0 hay -2a - 4b + 8c + d = -21 (1)
Giải hệ (1), (2), (3), (4) ta có: a = -2; b = 1; c = 0; d = -21, suy ra phương trình mặt cầu (S): (x + 2)2 + (y -1)2 + z2 = 26.
Xem thêm các bài thi Toán lớp 12 chọn lọc, có đáp án hay khác:
Top 4 Đề kiểm tra 15 phút Toán 12 Chương 3 Giải tích có đáp án
Top 4 Đề kiểm tra 15 phút Toán 12 Chương 4 Giải tích có đáp án
Top 5 Đề kiểm tra 15 phút Toán 12 Chương 3 Hình học có đáp án
Để học tốt lớp 12 các môn học sách mới:
- Giải bài tập Lớp 12 Kết nối tri thức
- Giải bài tập Lớp 12 Chân trời sáng tạo
- Giải bài tập Lớp 12 Cánh diều
Đã có app VietJack trên điện thoại, giải bài tập SGK, SBT Soạn văn, Văn mẫu, Thi online, Bài giảng....miễn phí. Tải ngay ứng dụng trên Android và iOS.
Theo dõi chúng tôi miễn phí trên mạng xã hội facebook và youtube:Nếu thấy hay, hãy động viên và chia sẻ nhé! Các bình luận không phù hợp với nội quy bình luận trang web sẽ bị cấm bình luận vĩnh viễn.
- Giáo án lớp 12 (các môn học)
- Giáo án điện tử lớp 12 (các môn học)
- Giáo án Toán 12
- Giáo án Ngữ văn 12
- Giáo án Vật Lí 12
- Giáo án Hóa học 12
- Giáo án Sinh học 12
- Giáo án Địa Lí 12
- Giáo án Lịch Sử 12
- Giáo án Lịch Sử 12 mới
- Giáo án GDCD 12
- Giáo án Kinh tế Pháp luật 12
- Giáo án Tin học 12
- Giáo án Công nghệ 12
- Giáo án GDQP 12
- Đề thi lớp 12 (các môn học)
- Đề thi Ngữ văn 12
- Đề thi Toán 12
- Đề thi Tiếng Anh 12 mới
- Đề thi Tiếng Anh 12
- Đề thi Vật Lí 12
- Đề thi Hóa học 12
- Đề thi Sinh học 12
- Đề thi Địa Lí 12
- Đề thi Lịch Sử 12
- Đề thi Giáo dục Kinh tế Pháp luật 12
- Đề thi Giáo dục quốc phòng 12
- Đề thi Tin học 12
- Đề thi Công nghệ 12


Giải bài tập SGK & SBT
Tài liệu giáo viên
Sách
Khóa học
Thi online
Hỏi đáp

