Top 4 Đề kiểm tra 15 phút Toán 12 Chương 3 Giải tích có đáp án
Dưới đây là danh sách Top 4 Đề kiểm tra 15 phút Toán 12 Chương 3 Giải tích có đáp án, cực sát đề chính thức. Hi vọng bộ đề thi này sẽ giúp bạn ôn luyện & đạt điểm cao trong các bài thi Toán lớp 12.
Bộ Đề thi 15 phút Toán 12
Đề kiểm tra 15 phút Toán 12 Chương 3 Giải tích có đáp án (Đề 1)
Đề kiểm tra 15 phút Toán 12 Chương 3 Giải tích có đáp án (Đề 2)
Đề kiểm tra 15 phút Toán 12 Chương 3 Giải tích có đáp án (Đề 3)
Đề kiểm tra 15 phút Toán 12 Chương 3 Giải tích có đáp án (Đề 4)
Sở Giáo dục và Đào tạo .....
Đề kiểm tra 15 phút Chương 3 Giải tích
Môn: Toán 12
Thời gian làm bài: 15 phút
Câu 1. Giả sử và a < b < c thì
bằng bao nhiêu ?
A. 5.
B. 1.
C. –1.
D. –5
Câu 2. Tích phân bằng
A. I = 1.
B. I = 2.
C. I = 3.
D. I = -1.
Câu 3. Tích phân bằng
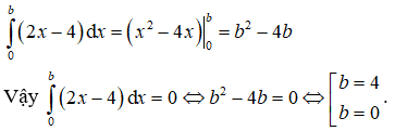
Câu 4. Biết . Khi đó bnhận giá trị bằng:
A. b = 0 hoặc b = 2.
B. b = 0 hoặc b = 4.
C. b = 1 hoặc b = 2.
D. b = 1 hoặc b = 4.
Câu 5. Tích phân bằng:
A. –1
B. 1
C. 2
D. 0
Câu 6. Đổi biến x = 2sint tích phân trở thành:
Câu 7. Tích phân bằng:
Câu 8. Tích phân bằng:
Đáp án & Hướng dẫn giải
Câu 1. Chọn C.
Ta có:
Câu 2. Chọn A.
Câu 3. Chọn D.
Câu 4. Chọn B.
Câu 5. Chọn B.
Ta có:
Câu 6. Chọn B.
Câu 7. Chọn A.
Câu 8. Chọn D.
Sở Giáo dục và Đào tạo .....
Đề kiểm tra 15 phút Chương 3 Giải tích
Môn: Toán 12
Thời gian làm bài: 15 phút
Câu 1. Tích phân bằng:
A. 0.
B. 2.
C. 8.
D. 4.
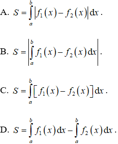
Câu 2. Diện tích S của hình phẳng giới hạn bởi đồ thị của hàm số y = f1(x), y = f2(x) liên tục và hai đường thẳng x = a, x = b được tính theo công thức:
Câu 3. Diện tích hình phẳng được giới hạn bởi đồ thị của hàm số y = x2, trục hoành và hai đường thẳng x = -1, x = 3 là:
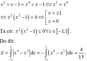
Câu 4. Diện tích hình phẳng được giới hạn bởi các đường y = x2 + x - 1 và y = x4 + x - 1 là:
Câu 5. Cho đồ thị hàm số y = f(x). Diện tích hình phẳng (phần có đánh dấu gạch trong hình) là:
Câu 6. Cho hai hàm số f(x) và g(x) liên tục trên [a;b] và thỏa mãn 0 < g(x) < f(x), ∀ x ∈ [a;b]. Gọi V là thể tích của khối tròn xoay sinh ra khi quay quanh Ox hình phẳng (H) giới hạn bởi các đường: y = f(x), y = g(x), x = a; x = b. Khi đó V được tính bởi công thức nào sau đây?
Câu 7. Gọi (H) là hình phẳng giới hạn bởi các đường y = 2x - x2; Ox. Quay (H) xung quanh trục Ox ta được khối tròn xoay có thể tích bằng?
Câu 8. Gọi (H) là hình phẳng giới hạn bởi . Quay (H) xung quanh trục Ox ta được khối tròn xoay có thể tích là:
Đáp án & Hướng dẫn giải
Câu 1. Chọn D.
Câu 2. Chọn A.
Câu 3. Chọn B.
Phương trình hoành độ giao điểm của đồ thị hàm số y = x2 và trục hoành: x2 = 0 ⇔ x = 0.
Mà hàm số y = x2 không đổi dấu trên [-1;3] nên:
Câu 4. Chọn D.
Phương trình hoành độ giao điểm của đồ thị hàm số y = x2 + x - 1 và y = x4 + x - 1 là :
Câu 5. Chọn A.
Câu 6. Chọn B.
Áp dụng công thức tính thể tích khối tròn xoay: giới hạn bởi đồ thị hàm số y = f(x), y = g(x), x = a, x = b khi quay xung quanh trục Ox
Câu 7. Chọn D.
Phương trình hoành độ giao điểm:
Câu 8. Chọn C.
Phương trình hoành độ giao điểm:
Xem thêm các bài thi Toán lớp 12 chọn lọc, có đáp án hay khác:
Top 4 Đề kiểm tra 1 tiết Toán 12 Chương 3 Giải tích có đáp án
Top 4 Đề kiểm tra 15 phút Toán 12 Chương 4 Giải tích có đáp án
Top 4 Đề kiểm tra 1 tiết Toán 12 Chương 4 Giải tích có đáp án
Top 5 Đề kiểm tra 15 phút Toán 12 Chương 3 Hình học có đáp án
Top 4 Đề kiểm tra 1 tiết Toán 12 Chương 3 Hình học có đáp án
Để học tốt lớp 12 các môn học sách mới:
- Giải bài tập Lớp 12 Kết nối tri thức
- Giải bài tập Lớp 12 Chân trời sáng tạo
- Giải bài tập Lớp 12 Cánh diều
Đã có app VietJack trên điện thoại, giải bài tập SGK, SBT Soạn văn, Văn mẫu, Thi online, Bài giảng....miễn phí. Tải ngay ứng dụng trên Android và iOS.
Theo dõi chúng tôi miễn phí trên mạng xã hội facebook và youtube:Nếu thấy hay, hãy động viên và chia sẻ nhé! Các bình luận không phù hợp với nội quy bình luận trang web sẽ bị cấm bình luận vĩnh viễn.
- Giáo án lớp 12 (các môn học)
- Giáo án điện tử lớp 12 (các môn học)
- Giáo án Toán 12
- Giáo án Ngữ văn 12
- Giáo án Vật Lí 12
- Giáo án Hóa học 12
- Giáo án Sinh học 12
- Giáo án Địa Lí 12
- Giáo án Lịch Sử 12
- Giáo án Lịch Sử 12 mới
- Giáo án GDCD 12
- Giáo án Kinh tế Pháp luật 12
- Giáo án Tin học 12
- Giáo án Công nghệ 12
- Giáo án GDQP 12
- Đề thi lớp 12 (các môn học)
- Đề thi Ngữ văn 12
- Đề thi Toán 12
- Đề thi Tiếng Anh 12 mới
- Đề thi Tiếng Anh 12
- Đề thi Vật Lí 12
- Đề thi Hóa học 12
- Đề thi Sinh học 12
- Đề thi Địa Lí 12
- Đề thi Lịch Sử 12
- Đề thi Giáo dục Kinh tế Pháp luật 12
- Đề thi Giáo dục quốc phòng 12
- Đề thi Tin học 12
- Đề thi Công nghệ 12


Giải bài tập SGK & SBT
Tài liệu giáo viên
Sách
Khóa học
Thi online
Hỏi đáp

