Đề kiểm tra 15 phút Toán 12 Chương 3 Giải tích có đáp án (Đề 1)
Đề kiểm tra Toán 12
Thời gian làm bài: 15 phút
Câu 1. Nguyên hàm của hàm số là:
Câu 2. Nguyên hàm của hàm số là :
Câu 3. Công thức nguyên hàm nào sau đây là công thức sai?
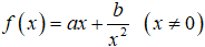
Câu 4. Nguyên hàm F(x) của hàm số là
Câu 5. F(x) là một nguyên hàm của hàm số , biết rằng F(1) = 1. F(x) là biểu thức nào sau đây
Câu 6. Tìm một nguyên hàm F(x) của hàm số , biết rằng F(-1) = 1, F(1) = 4, f(1) = 0. F(x) là biểu thức nào sau đây
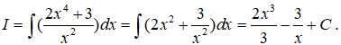
Câu 7. Nguyên hàm F(x) của hàm số là
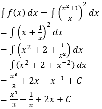
Câu 8. Tìm hàm số y = f(x) biết và f(0) = 3
Câu 9. Tìm ∫(cos6x - cos4x)dx là:
Câu 10. Trong các hàm số sau đây, hàm số nào là nguyên hàm của f(x) = e3x
Đáp án & Hướng dẫn giải
Câu 1. Chọn A.
Câu 2. Chọn C.
Câu 3. Chọn A.
Công thức sai, công thức đúng là
.
Câu 4. Chọn A.
Câu 5. Chọn D.
Câu 6. Chọn D.
Câu 7. Chọn A.
Câu 8. Chọn B.
Câu 9. Chọn C.
Câu 10. Chọn C.
Xem thêm các Đề thi Toán 12 chọn lọc, có đáp án hay khác:
Đề kiểm tra 15 phút Toán 12 Chương 3 Giải tích có đáp án (Đề 2)
Đề kiểm tra 15 phút Toán 12 Chương 3 Giải tích có đáp án (Đề 3)
Đề kiểm tra 15 phút Toán 12 Chương 3 Giải tích có đáp án (Đề 4)
Để học tốt lớp 12 các môn học sách mới:
- Giải bài tập Lớp 12 Kết nối tri thức
- Giải bài tập Lớp 12 Chân trời sáng tạo
- Giải bài tập Lớp 12 Cánh diều
Đã có app VietJack trên điện thoại, giải bài tập SGK, SBT Soạn văn, Văn mẫu, Thi online, Bài giảng....miễn phí. Tải ngay ứng dụng trên Android và iOS.
Theo dõi chúng tôi miễn phí trên mạng xã hội facebook và youtube:Nếu thấy hay, hãy động viên và chia sẻ nhé! Các bình luận không phù hợp với nội quy bình luận trang web sẽ bị cấm bình luận vĩnh viễn.
- Giáo án lớp 12 (các môn học)
- Giáo án điện tử lớp 12 (các môn học)
- Giáo án Toán 12
- Giáo án Ngữ văn 12
- Giáo án Vật Lí 12
- Giáo án Hóa học 12
- Giáo án Sinh học 12
- Giáo án Địa Lí 12
- Giáo án Lịch Sử 12
- Giáo án Lịch Sử 12 mới
- Giáo án GDCD 12
- Giáo án Kinh tế Pháp luật 12
- Giáo án Tin học 12
- Giáo án Công nghệ 12
- Giáo án GDQP 12
- Đề thi lớp 12 (các môn học)
- Đề thi Ngữ văn 12
- Đề thi Toán 12
- Đề thi Tiếng Anh 12 mới
- Đề thi Tiếng Anh 12
- Đề thi Vật Lí 12
- Đề thi Hóa học 12
- Đề thi Sinh học 12
- Đề thi Địa Lí 12
- Đề thi Lịch Sử 12
- Đề thi Giáo dục Kinh tế Pháp luật 12
- Đề thi Giáo dục quốc phòng 12
- Đề thi Tin học 12
- Đề thi Công nghệ 12


Giải bài tập SGK & SBT
Tài liệu giáo viên
Sách
Khóa học
Thi online
Hỏi đáp

