Top 4 Đề thi 1 tiết Toán 12 Chương 3 Giải tích có đáp án
Dưới đây là danh sách Top 4 Đề thi 1 tiết Toán 12 Chương 3 Giải tích có đáp án, cực sát đề chính thức. Hi vọng bộ đề thi này sẽ giúp bạn ôn luyện & đạt điểm cao trong các bài thi Toán lớp 12.
Đề thi1 tiết Toán 12
Sở Giáo dục và Đào tạo .....
Đề thi 45 phút Chương 3 Giải tích
Môn: Toán 12
Thời gian làm bài: 45 phút
Câu 1. Nguyên hàm của hàm số là:
Câu 2. Nguyên hàm F(x) của hàm số là
Câu 3. Tính ∫sin(3x-1)dx, kết quả là:
Câu 4. F(x) là một nguyên hàm của hàm số y = esinxcosx.
Nếu F(π) = 5 thì ∫esinxcosxdx bằng:
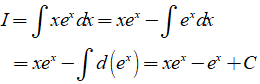
Câu 5. Hàm số f(x) = (x - 1)ex có một nguyên hàm F(x) là kết quả nào sau đây, biết nguyên hàm này bằng 1 khi x = 0?
A. F(x) = (x - 1)ex.
B. F(x) = (x - 2)ex.
C. F(x) = (x + 1)ex + 1.
D. F(x) = (x - 2)ex + 3.
Câu 6. Giả sử và a < b < c thì
bằng bao nhiêu ?
A. 5.
B. 1.
C. -1
D. -5
Câu 7. Cho hai hàm số f và g liên tục trên đoạn [a;b] và số thực k bất kỳ trong R. Trong các phát biểu sau, phát biểu nào sai?
Câu 8. Cho hai hàm số liên tục f và g có nguyên hàm lần lượt là F và G trên đoạn [1;2]. Biết rằng F(1) = 1, F(2) = 4, . Tích phân
có giá trị bằng
Câu 9. Tích phân bằng
Câu 10. Tích phân bằng
Câu 11. Tính tích phân sau
Câu 12. Tập hợp giá trị của m sao cho là
A. {5}.
B. {5 ;–1}.
C. {4}.
D. {4 ;–1}.
Câu 13. Tích phân bằng :
A. π2 - 4
B. π2 + 4
C. 2π2 - 3
D. 2π2 + 3
Câu 14. Đổi biến x = 2sint tích phân trở thành:
Câu 15. Tích phân bằng:
Câu 16. Cho hàm số f(x) liên tục trên R và f(x) + f(-x) = cos4x với mọi x ∈ R. Giá trị của tích phân là
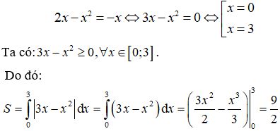
Câu 17. Diện tích hình phẳng giới hạn bởi y = -x, y = 2x - x2 có kết quả là
Câu 18. Diện tích hình phẳng được giới hạn bởi các đường y = sin2x, y = cosx và hai đường thẳng là
Câu 19. Thể tích khối tròn xoay được giới hạn bởi các đường y = (1 - x2), y = 0, x = 0 và x = 1 khi quay quanh trục Ox bằng:
Câu 20. Gọi (H) là hình phẳng giới hạn bởi . Quay (H) xung quanh trục Ox ta được khối tròn xoay có thể tích là:
Đáp án & Hướng dẫn giải
Câu 1. Chọn C.
Câu 2. Chọn D.
Câu 3. Chọn A.
Câu 4. Chọn A
Đặt t = sinx ⇒ dt = cosxdx.
Câu 5. Chọn D.
Theo công thức tính nguyên hàm từng phần ta có
Câu 6. Chọn C.
Ta có:
Câu 7. Chọn D.
Câu 8. Chọn A.
Áp dụng công thức tích phân từng phần, ta có
Câu 9. Chọn B.
Câu 10. Chọn B.
Câu 11. Chọn C.
Câu 12. Chọn B.
Câu 13. Chọn A.
Đặt u = x2, dv = sinxdx ⇒ du = 2xdx, v = -cosx
Khi đó:
Đặt u = x, dv = cosxdx ⇒ du = dx, v = sinx
Khi đó:
Câu 14. Chọn B.
Câu 15. Chọn D.
Đặt u = lnx, dv = (2x - 1)dx, suy ra
Câu 16. Chọn B.
Câu 17. Chọn B.
Phương trình hoành độ giao điểm của hai đồ thị hàm số y = 2x - x2 và y = -x là :
Câu 18. Chọn D.
Phương trình hoành độ giao điểm của hai đồ thị hàm số y = sin2x và y = cosx là:
Câu 19. Chọn A.
Thể tích khối tròn xoay được giới hạn bởi các đường y = (1 - x2), y = 0, x = 0 và x = 1 khi quay quanh trục Ox là:
Câu 20. Chọn C.
Phương trình hoành độ giao điểm:
Sở Giáo dục và Đào tạo .....
Đề thi 45 phút Chương 3 Giải tích
Môn: Toán 12
Thời gian làm bài: 45 phút
Câu 1. Nguyên hàm của hàm số là:
Câu 2. Tìm ∫(cos6x - cos4x)dx là:
Câu 3. F(x) là nguyên hàm của hàm số y = sin4x.cosx.F(x) là hàm số nào sau đây?
Câu 4. Để tính ∫xln(2 + x)dx theo phương pháp tính nguyên hàm từng phần, ta đặt:
Câu 5. Kết quả của là:
Câu 6. Giả sử và a < b < c thì
bằng bao nhiêu ?
A. 5.
B. 1.
C. –1.
D. –5.
Câu 7. Cho hàm số f liên tục trên R và số thực dương a. Trong các đẳng thức sau, đẳng thức nào luôn đúng?
Câu 8. Cho hai hàm số liên tục f và g có nguyên hàm lần lượt là F và G trên đoạn [0;2]. Biết rằng F(0) = 0, F(2) = 1, G(0) = -2, G(2) = 1 và . Tích phân
có giá trị bằng
A. 3
B. 0
C. -2
D. - 4
Câu 9. Tính
Câu 10. Tích phân bằng
Câu 11. Tích phân bằng
Câu 12. Biết rằng . Giá trị của a là :
A. 9
B. 3
C. 27
D. 81
Câu 13. Tích phân bằng:
A. –1
B. 1
C. 2
D. 0
Câu 14. Cho , ta tính được:
A. I = cos1
B. I = 1
C. I = sin1
D. Một kết quả khác
Câu 15. Tích phân bằng :
A. π2 - 4
B. π2 + 4
C. 2π2 - 3
D. 2π2 + 3
Câu 16. Tích phân bằng:
Câu 17. Tính tích phân .
A. 4
B. 3
C. 5
D. 6
Câu 18. Cho hàm số f liên tục trên R thỏa , với mọi x ∈ R. Giá trị của tích phân
là
A. 2.
B. -7.
C. 7.
D. -2.
Câu 19. Diện tích hình phẳng giới hạn bởi các đường y = ex; y = 1 và x = 1 là
A. e - 2.
B. e.
C. e + 1.
D. 1 - e.
Câu 20. Thể tích khối tròn xoay sinh ra do quay hình phẳng giới hạn bởi các đường y = x3, trục Ox, x = -1, x = 1 một vòng quanh trục Ox là:
Đáp án & Hướng dẫn giải
Câu 1. Chọn A.
Câu 2. Chọn C.
Câu 3. Chọn D.
Đặt t = sin x, suy ra dt = cosx.dx.
Câu 4. Chọn B.
Chú ý: “ Nhất log, nhì đa, tam lượng, tứ mũ”.
Câu 5. Chọn C.
Theo công thức tính nguyên hàm từng phần, ta có
Câu 6. Chọn C.
Ta có:
Câu 7. Chọn B
Câu 8. Chọn C.
Áp dụng công thức tích phân từng phần, ta có
Câu 9. Chọn A.
Câu 10. Chọn C.
Câu 11. Chọn A.
Đặt t = 1 - x ⇒ -dt = dx.
Đổi cận: x = 0 ⇒ t = 1; x = 1 ⇒ t = 0
Câu 12. Chọn B.
Suy ra: a = 3.
Câu 13. Chọn B.
Ta có:
Câu 14. Chọn B.
Câu 15. Chọn A.
Đặt u = x2, dv = sinx.dx ⇒ du = 2xdx, v = -cosx
Khi đó:
Đặt u = x, dv = cosx.dx ⇒ du = dx, v = sinx
Khi đó:
Câu 16. Chọn A.
Câu 17. Chọn C.
Câu 18. Chọn A.
Câu 19. Chọn A.
Phương trình hoành độ giao điểm của hai đồ thị hàm số y = ex và trục y = 1 là: ex = 1 ⇔ x = 0
Do đó:
Câu 20. Chọn D.
Thể tích khối tròn xoay được giới hạn bởi các đường y = x3, trục Ox, x = -1, x = 1 một vòng quanh trục Ox là:
Xem thêm các bài thi Toán lớp 12 chọn lọc, có đáp án hay khác:
Top 4 Đề kiểm tra 15 phút Toán 12 Chương 3 Giải tích có đáp án
Top 4 Đề kiểm tra 15 phút Toán 12 Chương 4 Giải tích có đáp án
Top 5 Đề kiểm tra 15 phút Toán 12 Chương 3 Hình học có đáp án
Để học tốt lớp 12 các môn học sách mới:
- Giải bài tập Lớp 12 Kết nối tri thức
- Giải bài tập Lớp 12 Chân trời sáng tạo
- Giải bài tập Lớp 12 Cánh diều
Đã có app VietJack trên điện thoại, giải bài tập SGK, SBT Soạn văn, Văn mẫu, Thi online, Bài giảng....miễn phí. Tải ngay ứng dụng trên Android và iOS.
Theo dõi chúng tôi miễn phí trên mạng xã hội facebook và youtube:Nếu thấy hay, hãy động viên và chia sẻ nhé! Các bình luận không phù hợp với nội quy bình luận trang web sẽ bị cấm bình luận vĩnh viễn.
- Giáo án lớp 12 (các môn học)
- Giáo án điện tử lớp 12 (các môn học)
- Giáo án Toán 12
- Giáo án Ngữ văn 12
- Giáo án Vật Lí 12
- Giáo án Hóa học 12
- Giáo án Sinh học 12
- Giáo án Địa Lí 12
- Giáo án Lịch Sử 12
- Giáo án Lịch Sử 12 mới
- Giáo án GDCD 12
- Giáo án Kinh tế Pháp luật 12
- Giáo án Tin học 12
- Giáo án Công nghệ 12
- Giáo án GDQP 12
- Đề thi lớp 12 (các môn học)
- Đề thi Ngữ văn 12
- Đề thi Toán 12
- Đề thi Tiếng Anh 12 mới
- Đề thi Tiếng Anh 12
- Đề thi Vật Lí 12
- Đề thi Hóa học 12
- Đề thi Sinh học 12
- Đề thi Địa Lí 12
- Đề thi Lịch Sử 12
- Đề thi Giáo dục Kinh tế Pháp luật 12
- Đề thi Giáo dục quốc phòng 12
- Đề thi Tin học 12
- Đề thi Công nghệ 12


Giải bài tập SGK & SBT
Tài liệu giáo viên
Sách
Khóa học
Thi online
Hỏi đáp

