35+ Đề thi Giữa kì 1 Toán 12 Cánh diều (cấu trúc mới, có đáp án)
Với bộ 35+ Đề thi Giữa kì 1 Toán 12 Cánh diều năm 2026 theo cấu trúc mới có đáp án và ma trận được biên soạn và chọn lọc từ đề thi Toán 12 của các trường THPT trên cả nước sẽ giúp học sinh lớp 12 ôn tập và đạt kết quả cao trong các bài thi Giữa kì 1 Toán 12.
35+ Đề thi Giữa kì 1 Toán 12 Cánh diều (cấu trúc mới, có đáp án)
Chỉ từ 180k mua trọn bộ Đề thi Toán 12 Giữa kì 1 Cánh diều có lời giải bản word trình bày đẹp mắt, dễ dàng chỉnh sửa:
- B1: gửi phí vào tk:
1133836868- CT TNHH DAU TU VA DV GD VIETJACK - Ngân hàng MB (QR) - B2: Nhắn tin tới Zalo VietJack Official - nhấn vào đây để thông báo và nhận giáo án
Đề thi Giữa kì 1 Toán 12 Cánh diều (Giáo viên VietJack)
Đề thi Toán 12 Giữa kì 1 năm 2025-2026 (trên cả nước)
Đề thi Giữa kì 1 Toán 12 THCS&THPT Nguyễn Bỉnh Khiêm năm 2025-2026
Đề thi Giữa kì 1 Toán 12 THCS và THPT Tạ Quang Bửu năm 2025-2026
Đề thi Giữa kì 1 Toán 12 THCS-THPT Nguyễn Khuyến năm 2025-2026
Đề thi Giữa kì 1 Toán 12 THCS-THPT Trần Cao Vân năm 2025-2026
Sở Giáo dục và Đào tạo ...
Đề thi Giữa kì 1 - Cánh diều
Năm học ...
Môn: Toán 12
Thời gian làm bài: phút
(Đề 1)
PHẦN I. TRẮC NGHIỆM KHÁCH QUAN
A. TRẮC NGHIỆM NHIỀU PHƯƠNG ÁN LỰA CHỌN. Thí sinh trả lời từ câu 1 đến câu 12.
Mỗi câu hỏi thí sinh chỉ chọn một phương án.
Câu 1. Cho hàm số y = f(x) có bảng biến thiên như hình vẽ bên dưới.
Hàm số y = f(x) đồng biến trên khoảng nào dưới đây?
A. (2; 4).
B. .
C. .
D. .
Câu 2. Cho hàm số y = f(x) có đồ thị là đường cong trong hình bên dưới.
Điểm cực tiểu của đồ thị hàm số đã cho có tọa độ là
A. (3; 1).
B. (-1; -1).
C. (1; 3).
D. (1; -1).
Câu 3. Cho hàm số y = f(x) có bảng biến thiên như hình vẽ. Mệnh đề nào sau đây là sai?
A. Hàm số y = f(x) có giá trị nhỏ nhất bằng -2.
B. Hàm số y = f(x) không có giá trị lớn nhất.
C. Hàm số y = f(x) có giá trị lớn nhất bằng -1.
D. Hàm số y = f(x) đạt giá trị nhỏ nhất tại .
Câu 4. Tiệm cận đứng của đồ thị hàm số là đường thẳng có phương trình
A. x = -1.
B. y = -1.
C. x = 2.
D. y = 2.
Câu 5. Cho hàm số y = f(x) có bảng biến thiên được cho dưới đây.
Tổng số đường tiệm cận ngang và tiệm cận đứng của đồ thị hàm số y = f(x) là
A. 2.
B. 3.
C. 0.
D. 1.
Câu 6. Cho hàm số y = f(x) có bảng biến thiên như hình sau:
Số giao điểm của đồ thị hàm số đã cho với trục hoành là
A. 0.
B. 2.
C. 3.
D. 1.
Câu 7. Đường cong trong hình vẽ là đồ thị của hàm số nào dưới đây?
A. .
B. .
C. .
D. .
Câu 8. Cho hình chóp S.ABCD có đáy ABCD là hình bình hành. Chọn khẳng định đúng.
A. .
B. .
C. .
D. .
Câu 9. Cho và là hai vectơ cùng hướng và đều khác vectơ . Mệnh đề nào sau đây đúng?
A. .
B. .
C. .
D. .
Câu 10. Cho hàm số . Giá trị cực đại của hàm số đã cho là
A. -1.
B. 0.
C. -2.
D. 3.
Câu 11. Hàm số nào có bảng biến thiên như hình dưới đây?
A. .
B. .
C. .
D. .
Câu 12. Cho hình lập phương có cạnh bằng a. Gọi O, O' lần lượt là tâm của hình vuông ABCD và . Độ dài vec tơ bằng
A. 4a.
B. 6a.
C. 2a.
D. a.
B. TRẮC NGHIỆM ĐÚNG - SAI. Thí sinh trả lời từ câu 1 đến câu 2. Trong mỗi ý a), b), c), d) ở mỗi câu, thí sinh chọn đúng hoặc sai.
Câu 1. Hỏi hàm số có đồ thị (C).
a) Đồ thị (C) có tiệm cận đứng là đường thẳng x = -1.
b) Đường thẳng y = x + 1là tiệm cận xiên của đồ thị (C).
c) Hàm số nghịch biến trên khoảng (-4; -1) và (-1; 2).
d) Đường thẳng đi qua điểm cực đại và điểm cực tiểu của đồ thị hàm số là y = 2x + 3.
Câu 2. Cho hình hộp chữ nhật và AB = a, AD = b, AA' = c. Gọi M là trung điểm của B'C' và G là trọng tâm tam giác DC'D'.
a) Có 3 vectơ có điểm đầu và điểm cuối là các đỉnh của hình hộp chữ nhật bằng .
b) .
c) và .
d) .
C. TRẢ LỜI NGẮN. Thí sinh trả lời câu 1 đến câu 4.
Câu 1. Số lượng sản phẩm bán được của một công ty trong x (tháng) được tính theo công thức , trong đó . Số lượng sản phẩm được bán của công ty đó trong x (tháng) khi x đủ lớn gần bằng bao nhiêu?
Câu 2. Cho hàm số bậc ba có đồ thị như hình vẽ dưới đây.
Tính giá trị của S = a + 2b + 3c.
Câu 3. Gọi M, m lần lượt là giá trị lớn nhất và giá trị nhỏ nhất của hàm số . Tính .
Câu 4. Cho hai vectơ và thỏa mãn . Tính
PHẦN II. TỰ LUẬN
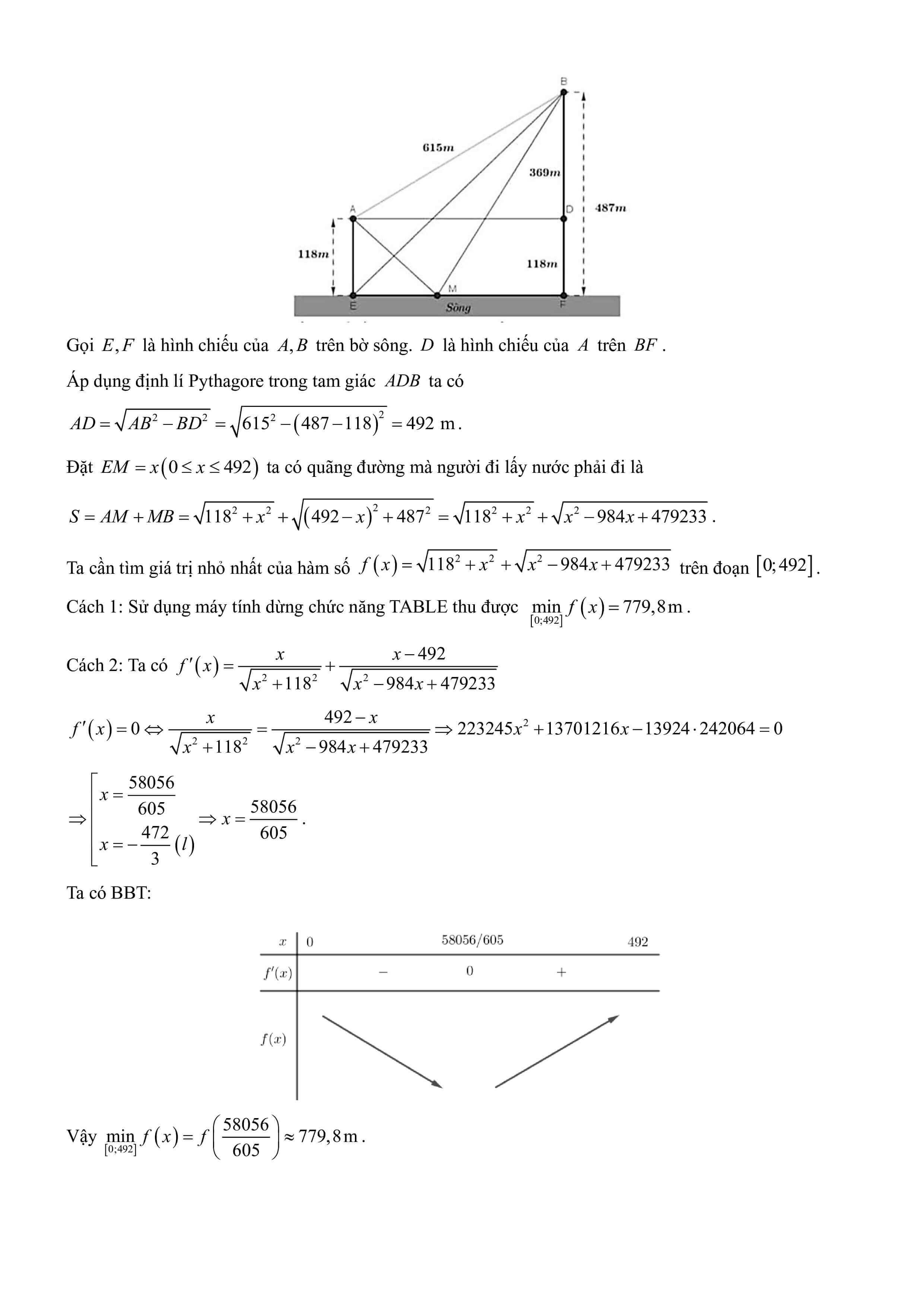
Câu 1. Cho hai vị trí A, B cách nhau 615m, cùng nằm về một phía bờ sông. Khoảng cách từ A và B đến bờ sông lần lượt là 118m và 487m. Một người đi từ A đến bờ sông để lấy nước mang về B. Xác định độ dài đoạn đường ngắn nhất mà người đó có thể đi.
Câu 2. Một thùng rác thông minh cảm ứng tự động đóng mở dạng hình hộp chữ nhật có đáy là hình vuông và có thể tích là 2000 cm3.Thùng rác được làm bằng nhựa ABS có độ bền cao, chịu nhiệt, cách điện, chống nước. Để lượng vật liệu dùng để sản xuất thùng rác là nhỏ nhất thì chiều cao của chiếc hộp bằng bao nhiêu?
Câu 3. Người ta vận chuyển một thùng hàng có dạng hình hộp chữ nhật bằng cách móc 4 dây cáp vào 4 góc trên của thùng hàng và đầu còn lại móc vào cần cẩu như hình vẽ. Biết rằng các đoạn dây cáp có độ dài bằng nhau và góc tạo bởi hai đoạn dây cáp đối diện nhau là 60°. Chiếc cần cẩu kéo thùng hàng lên theo phương thẳng đứng. Biết rằng chịu được tối đa lực căng là 5 000 N. Hỏi cần cẩu nâng được thùng hàng có khối lượng (đơn vị: kg) tối đa là bao nhiêu? Lấy g = 10 m/s2.
---------Hết---------
Sở Giáo dục và Đào tạo ...
Đề thi Giữa kì 1 - Cánh diều
Năm học ...
Môn: Toán 12
Thời gian làm bài: phút
(Đề 2)
PHẦN I. Câu trắc nghiệm nhiều phương án lựa chọn. Thí sinh trả lời từ câu 1 đến câu 12. Mỗi câu hỏi thí sinh chỉ chọn một phương án.
Câu 1. Cho hàm số y = f(x) liên tục trên ℝ và có đồ thị như sau:
Phát biểu nào dưới đây là đúng?
A. Hàm số đã cho đồng biến trên khoảng (-1;1).
B. Hàm số đã cho đồng biến trên mỗi khoảng (-∞;-2) và (2;+∞).
C. Hàm số đã cho nghịch biến trên khoảng (0;1).
D. Hàm số đã cho nghịch biến trên khoảng (-1;1).
Câu 2. Cho hàm số y = f(x) xác định và liên tục trên [-2;3] và có bảng xét dấu như sau:
Hàm số đã cho đạt cực đại tại điểm
A. x = -2.
B. x = 0.
C. x = 1.
D. x = 3.
Câu 3. Cho hàm số y = f(x) liên tục và có bảng biến thiên trên đoạn [-1;3] như hình dưới đây.
Gọi M là giá trị lớn nhất của hàm số y = f(x) trên đoạn [-1;3]. Mệnh đề nào trong các mệnh đề sau đây là đúng?
A. M = f(-1).
B. M = f(3).
C. M = f(2).
D. M = f(0).
Câu 4. Cho hàm số y = f(x) có bảng biến thiên như sau:
Đường tiệm cận đứng, tiệm cận ngang của đồ thị hàm số đã cho lần lượt là:
A. x = 2, y = -1.
B. x = -1, y =2.
C. x = -1, y = -1.
D. x = 2, y = 1.
Câu 5. Tiệm cận xiên của đồ thị hàm số là đường thẳng
A. y = 2x.
B. y = 2x - 1.
C. y = 2x + 1.
D. y = x + 1.
Câu 6. Cho hàm số y = f(x) có đồ thị như hình dưới đây.
Tâm đối xứng của đồ thị hàm số có tọa độ là
A. (1;0).
B. (-1;1).
C. (-1;-2).
D. (-1;0).
Câu 7. Cho hình hộp ABCD.A'B'C'D'.
Khẳng định nào sau đây là sai?
A. .
B. .
C. .
D. .
Câu 8. Hàm số nghịch biến trên khoảng nào trong các khoảng dưới đây?
A. (-2;4).
B. (-2;1).
C. (-2;+∞).
D. (4;+∞).
Câu 9. Giá trị lớn nhất của hàm số y = x3 -3x + 6 trên đoạn [0;2] bằng
A. 0.
B. 3.
C. 5.
D. 7.
Câu 10. Đường cong trong hình dưới là đồ thị của hàm số nào trong bốn hàm số sau đây?
A. y = x3 - 4x + 1.
B. y = x3 + 3x2 + 1.
C. y = x3 - 4x - 1.
D. y = -x3 + 4x + 1.
Câu 11. Cho hàm số có đồ thị như hình vẽ dưới đây.
Khẳng định nào sau đây là đúng?
A. a > 0, b > 0. c > 0, d < 0.
B. a > 0, b < 0. c > 0, d < 0.
C. a > 0, b < 0. c < 0, d < 0.
D. a > 0, b > 0. c < 0, d > 0.
Câu 12. Cho tứ diện ABCD. Gọi M và P lần lượt là trung điểm của các cạnh AB và CD. Đặt . Khẳng định nào sau đây là đúng?
A. .
B. .
C. .
D. .
PHẦN II. Câu trắc nghiệm đúng sai. Thí sinh trả lời từ câu 1 đến câu 4. Trong mỗi ý a), b), c), d) ở mỗi câu, thí sinh chọn đúng hoặc sai.
Câu 1. Cho hàm số (với a ≠ 0) có đồ thị là đường cong như hình dưới đây.
a) Hàm số đã cho nghịch biến trên ℝ\{2}.
b) Hàm số đã cho đạt cực đại tại x = -3; đạt cực tiểu tại x = -1.
c) Tiệm cận đứng của đồ thị hàm số đã cho là đường thẳng y = -2.
d) Công thức xác định hàm số đã cho là .
Câu 2. Cho hàm số y = f(x) = x3 - 3x2 - 9x + 5.
a) Hàm số đã cho đồng biến trên mỗi khoảng (-∞;-1) và (3;+∞).
b) Giá trị cực đại của hàm số đã cho là -1.
c) Đồ thị hàm số đã cho đi qua các điểm (0;5), (1;-6), (-1;-10).
d) Đường thẳng y = -22 cắt đồ thị hàm số đã cho tại 3 điểm phân biệt.
Câu 3. Cho hình chóp S.ABCD có đáy ABCD là hình bình hành tâm O. G là điểm thỏa mãn . Khi đó:
a) .
b) .
c) .
d) .
Câu 4. Cho hình lập phương ABCD.A'B'C'D' có cạnh bằng a. Khi đó:
a) .
b) .
c) .
d) Với M, N lần lượt là trung điểm của AD,BB' thì .
PHẦN III. Câu trắc nghiệm trả lời ngắn. Thí sinh trả lời từ câu 1 đến câu 6.
Câu 1. Cho a ≠ 0, b2 - 3ac > 0. Hàm số y = ax3 + bx2 + cx + d có tất cả bao nhiêu điểm cực trị?
Câu 2. Cho hàm số với m là tham số thực. Gọi m1, m2 là hai giá trị của m thỏa mãn . Giá trị của biểu thức m1 + m2 bằng bao nhiêu?
Câu 3. Cho hình hộp ABCD.A'B'C'D'. Tìm giá trị thực của k thỏa mãn đẳng thức .
Câu 4. Một người đàn ông muốn chèo thuyền ở vị trí A tới điểm B về phía hạ lưu bờ đối diện, càng nhanh càng tốt, trên một bờ sông thẳng rộng 3 km (như hình vẽ). Anh có thể chèo thuyền của mình trực tiếp qua sông để đến C và sau đó chạy đến B, hay có thể chèo trực tiếp đến B, hoặc anh ta có thể chèo thuyền đến một điểm D giữa C và B và sau đó chạy đến B. Biết anh ấy có thể chèo thuyền 6 km/h, chạy 8 km/h và quãng đường BC = 8 km. Biết tốc độ của dòng nước là không đáng kể so với tốc độ chèo thuyền của người đàn ông. Khoảng thời gian ngắn nhất để người đàn ông đến B là bao nhiêu giờ (làm tròn kết quả đến hàng phần mười)?
Câu 5. Cho một tấm nhôm hình vuông cạnh 12 cm, người ta cắt ở bốn góc bốn hình vuông bằng nhau, mỗi hình vuông có cạnh bằng x (cm), rồi gập tấm nhôm lại để được một cái hộp có dạng hình hộp chữ nhật không có nắp (tham khảo hình vẽ).
Giá trị của x bằng bao nhiêu centimét để thể tích của khối hộp đó là lớn nhất?
Câu 6. Một chiếc đèn tròn được treo song song với mặt phẳng nằm ngang bởi ba sợi dây không dãn xuất phát từ điểm O trên trần nhà và lần lượt buộc vào ba điểm A, B, C trên đèn tròn sao cho các lực căng lần lượt trên mối dây OA, OB, OC đôi một vuông góc với nhau và (N) (như hình vẽ). Trọng lượng của chiếc đèn tròn đó là bao nhiêu Newton (làm tròn kết quả đến hàng đơn vị)?
----------HẾT----------
ĐÁP ÁN CHI TIẾT
PHẦN I. Câu trắc nghiệm nhiều phương án lựa chọn
|
1. C |
2. B |
3. D |
4. A |
5. C |
6. D |
|
7. D |
8. B |
9. D |
10. A |
11. B |
12. D |
PHẦN II. Câu trắc nghiệm đúng sai
Câu 1. a) S, b) Đ, c) S, d) Đ.
Câu 2. a) Đ, b) S, c) S, d) S.
Câu 3. a) S, b) Đ, c) Đ, d) S.
Câu 4. a) Đ, b) S, c) S, d) Đ.
PHẦN III. Câu trắc nghiệm trả lời ngắn
Câu 1. Đáp số: 2.
Câu 2. Đáp số: 3.
Câu 3. Đáp số: 1.
Câu 4. Đáp số: 1,3.
Câu 5. Đáp số: 2.
Câu 6. Đáp số: 26.
----------HẾT----------
................................
................................
................................
Trên đây tóm tắt một số nội dung miễn phí trong bộ Đề thi Toán 12 năm 2026 mới nhất, để mua tài liệu trả phí đầy đủ, Thầy/Cô vui lòng xem thử:
Tham khảo đề thi Toán 12 Cánh diều có đáp án hay khác:
Để học tốt lớp 12 các môn học sách mới:
- Giải bài tập Lớp 12 Kết nối tri thức
- Giải bài tập Lớp 12 Chân trời sáng tạo
- Giải bài tập Lớp 12 Cánh diều
Đã có app VietJack trên điện thoại, giải bài tập SGK, SBT Soạn văn, Văn mẫu, Thi online, Bài giảng....miễn phí. Tải ngay ứng dụng trên Android và iOS.
Theo dõi chúng tôi miễn phí trên mạng xã hội facebook và youtube:Nếu thấy hay, hãy động viên và chia sẻ nhé! Các bình luận không phù hợp với nội quy bình luận trang web sẽ bị cấm bình luận vĩnh viễn.
- Giáo án lớp 12 (các môn học)
- Giáo án điện tử lớp 12 (các môn học)
- Giáo án Toán 12
- Giáo án Ngữ văn 12
- Giáo án Vật Lí 12
- Giáo án Hóa học 12
- Giáo án Sinh học 12
- Giáo án Địa Lí 12
- Giáo án Lịch Sử 12
- Giáo án Lịch Sử 12 mới
- Giáo án GDCD 12
- Giáo án Kinh tế Pháp luật 12
- Giáo án Tin học 12
- Giáo án Công nghệ 12
- Giáo án GDQP 12
- Đề thi lớp 12 (các môn học)
- Đề thi Ngữ văn 12
- Đề thi Toán 12
- Đề thi Tiếng Anh 12 mới
- Đề thi Tiếng Anh 12
- Đề thi Vật Lí 12
- Đề thi Hóa học 12
- Đề thi Sinh học 12
- Đề thi Địa Lí 12
- Đề thi Lịch Sử 12
- Đề thi Giáo dục Kinh tế Pháp luật 12
- Đề thi Giáo dục quốc phòng 12
- Đề thi Tin học 12
- Đề thi Công nghệ 12


Giải bài tập SGK & SBT
Tài liệu giáo viên
Sách
Khóa học
Thi online
Hỏi đáp

