10 Đề thi Cuối kì 1 Toán 7 Cánh diều năm 2025 (có đáp án)
Với bộ 10 Đề thi Cuối Học kì 1 Toán lớp 7 năm 2025 có đáp án theo cấu trúc mới được biên soạn bám sát nội dung sách Cánh diều và sưu tầm từ đề thi Toán 7 của các trường THCS trên cả nước. Hi vọng bộ đề thi này sẽ giúp học sinh ôn tập và đạt kết quả cao trong các bài thi Học kì 1 Toán 7.
10 Đề thi Cuối kì 1 Toán 7 Cánh diều năm 2025 (có đáp án)
Chỉ từ 150k mua trọn bộ Đề thi Toán 7 Cuối kì 1 Cánh diều theo cấu trúc mới bản word có lời giải chi tiết:
- B1: gửi phí vào tk:
1053587071- NGUYEN VAN DOAN - Ngân hàng Vietcombank (QR) - B2: Nhắn tin tới Zalo VietJack Official - nhấn vào đây để thông báo và nhận đề thi
Phòng Giáo dục và Đào tạo ...
Đề thi Học kì 1 - Cánh diều
năm 2025
Môn: Toán 7
Thời gian làm bài: 90 phút
(không kể thời gian phát đề)
(Đề số 1)
PHẦN I. TRẮC NGHIỆM KHÁCH QUAN (3,0 điểm)
Hãy khoanh tròn vào phương án đúng duy nhất trong mỗi câu dưới đây:
Câu 1. Khẳng định nào sau đây là sai?
A. – 0,5 ∈ ℚ;
B. ∉ ℤ;
C. –1 ∈ ℕ;
D. ∈ ℚ.
Câu 2. Số đối của số hữu tỉ là
A.
B.
C.
D.
Câu 3. Căn bậc hai số học của là
A.
B.
C.
D.
Câu 4. Nhận định nào sau đây là sai?
A. Mọi số thập phân vô hạn không tuần hoàn là số thực;
B. Mọi số thực đều là số vô tỉ;
C. Mọi số nguyên đều là số hữu tỉ;
D. Số 0 là số hữu tỉ và cũng là số thực.
Câu 5. Khẳng đinh nào dưới đây là đúng?
A. Giá trị của một số thực là một số dương;
B. Giá trị của một số thực là một số không âm;
C. Hai số đối nhau có giá trị tuyệt đối bằng nhau;
D. Giá trị tuyệt đối của một số thực là số đối của nó.
Câu 6. Dạng số thập phân vô hạn tuần hoàn của phân số là
A. – 0,(53);
B. – 0,5(3);
C. –0,(5)3;
D. –0,53.
Câu 7. Nhận xét đúng về vị trí của các số thực 0; ; trên trục số là:
A. Trên trục số, điểm nằm bên trái điểm ;
B. Trên trục số, điểm nằm bên phải điểm ;
C. Trên trục số, điểm nằm bên trái điểm 0;
D. Trên trục số, điểm 0 nằm bên phải điểm .
Câu 8. Tỉ lệ thức nào sau đây không được lập từ tỉ lệ thức ?
A. ;
B. ;
C. ;
D. .
Câu 9. Phát biểu nào sau đây sai?
A. Nếu x = –5y thì ta nói x tỉ lệ thuận với y theo hệ số tỉ lệ –5;
B. Nếu thì ta nói b tỉ lệ nghịch với a theo hệ số tỉ lệ 3;
C. Nếu m = n thì ta nói n tỉ lệ thuận với m theo hệ số tỉ lệ 1;
D. Nếu g = 0.h thì ta nói g tỉ lệ nghịch với h theo hệ số tỉ lệ 0.
Câu 10. Trong các hình khai triển dưới đây, có bao nhiêu hình gấp lại được thành một hình lăng trụ đứng?
A. 2;
B. 3;
C. 4;
D. 5.
Câu 11. Cho hình vẽ sau:
Số cặp góc kề bù (không kể góc không và góc bẹt) có trong hình vẽ trên là
A. 1;
B. 2;
C. 3;
D. 4.
Câu 12. Cho ba điểm A, B, C. Qua điểm A vẽ đường thẳng a song song với đường thẳng BC. Qua điểm C vẽ đường thẳng b song song với đường thẳng AB. Hỏi vẽ được bao nhiêu đường thẳng a, bao nhiêu đường thẳng b?
A. 1 đường thẳng a, 1 đường thẳng b;
B.1 đường thẳng a, 2 đường thẳng b;
C.2 đường thẳng a, 1 đường thẳng b;
D.2 đường thẳng a, 2 đường thẳng b.
PHẦN II. TỰ LUẬN (7,0 điểm)
Bài 1. (1,5 điểm) Tính giá trị của các biểu thức sau (tính hợp lí nếu có thể):
a)
b)
Bài 2. (1,0 điểm) Tìm x, biết:
a) (2x + 1)2 = 25;
b)
Bài 3. (1,5 điểm)Trong dịp Tết vừa rồi, mẹ Hoa đã đi siêu thị Big C để mua bánh kẹo. Mẹ Hoa chọn ba loại bánh: bánh quy bơ Danisa giá 140 000 đồng 1 hộp, bánh Kitkat giá 80 000 đồng 1 hộp và bánh yến mạch giá 40 000 đồng một gói. Hỏi mẹ đã mua bao nhiêu hộp bánh Danisa biết số tiền mua mỗi loại bằng nhau và số hộp Kitkat ít hơn số gói yến mạch là 7 hộp?
Bài 4. (1,0 điểm) Một nhóm thợ xây có 100 khối bê tông có dạng như hình dưới đây.
Người ta muốn sơn tất cả các mặt của từng khối bê tông. Hỏi số tiền sơn số bê tông đó là bao nhiêu đồng? Biết rằng số tiền để sơn 1 m2 bê tông là 100 000 đồng.
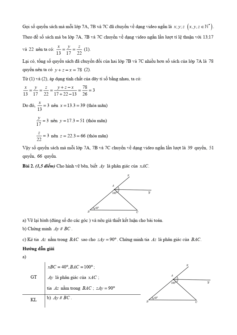
Bài 5. (1,0 điểm) Cho hình vẽ dưới đây.
a) Vẽ lại hình và viết giả thiết kết luận.
b) Chứng minh Mx // Ny.
c) Tính số đo góc MON.
Bài 6. (1,0 điểm) Một công ty phát triển kĩ thuật có một số thông báo rất hấp dẫn: Cần thuê một nhóm kĩ thuật viên hoàn thành một dự án trong vòng 17 ngày, công việc rất khó khăn nhưng tiền công cho dự án rất thú vị. Nhóm kĩ thuật viên được nhận làm dự án sẽ lựa chọn một trong hai phương án trả tiền công như sau:
– Phương án 1: Nhận một lần và nhận tiền công trước với mức tiền 170 triệu đồng;
– Phương án 2: Ngày đầu tiên nhận 3 đồng, ngày sau nhận gấp 3 lần ngày trước đó.
Em hãy giúp nhóm kĩ thuật viên lựa chọn phương án để nhận được nhiều tiền công hơn và giải thích tại sao chọn phương án đó.
A. KHUNG MA TRẬN ĐỀ KIỂM TRA CUỐI KÌ 1
|
STT |
Nội dung kiến thức |
Đơn vị kiến thức |
Mức độ kiến thức, kĩ năng cần kiềm tra, đánh giá |
Tổng điểm |
|||||||
|
Nhận biết |
Thông hiểu |
Vận dụng |
Vận dụng cao |
||||||||
|
TN |
TL |
TN |
TL |
TN |
TL |
TN |
TL |
||||
|
1 |
Số hữu tỉ (19 tiết) |
Tập hợp các số hữu tỉ. Thứ tự thực hiện các phép tính. |
2 (0,5đ) |
|
|
|
|
|
|
|
30% |
|
Các phép toán với số hữu tỉ |
|
|
|
1 (0,5đ) |
|
2 (1,0đ) |
|
1 (1,0đ) |
|||
|
2 |
Số thực (23 tiết) |
Căn bậc hai số học. Số vô tỉ. Số thực |
3 (0,75đ) |
|
2 (0,5đ) |
|
|
|
|
|
37,5% |
|
Tỉ lệ thức và dãy tỉ số bằng nhau |
1 (0,25đ) |
|
|
1 (0,5đ) |
|
|
|
|
|||
|
Đại lượng tỉ lệ và giải toán về đại lượng tỉ lệ |
1 (0,25đ) |
|
|
|
|
1 (1,5đ) |
|
|
|||
|
3 |
Hình học trực quan (5 tiết) |
Hình hộp chữ nhật và hình lập phương. Lăng trụ đứng tam giác và lăng trụ đứng tứ giác. |
|
|
1 (0,25đ) |
|
|
1 (1,0đ) |
|
|
12,5% |
|
4 |
Góc và đường thẳng song song (11 tiết) |
Góc ở vị trí đặc biệt. Tia phân giác của một góc |
1 (0,25đ) |
|
|
|
|
|
|
|
20% |
|
Dấu hiệu nhận biết và tính chất hai đường thẳng song song. Tiên đề Euclid. |
1 (0,25đ) |
|
|
1 (0,5đ) |
|
1 (0,5đ) |
|
|
|||
|
Định lí và chứng minh định lí |
|
1 (0,5đ) |
|
|
|
|
|
|
|||
|
Tổng: Số câu Điểm |
9 (2,25đ) |
1 (0,5đ) |
3 (0,75đ) |
3 (1,5đ) |
|
5 (4,0đ) |
|
1 (1,0đ) |
24 (10đ) |
||
|
Tỉ lệ |
27,5% |
22,5% |
40% |
10% |
100% |
||||||
|
Tỉ lệ chung |
50% |
50% |
|
||||||||
B. BẢN ĐẶC TẢ MA TRẬN ĐỀ KIỂM TRA CUỐI HỌC KÌ 1
|
STT |
Nội dung kiến thức |
Đơn vị kiến thức |
Mức độ kiến thức, kĩ năng cần kiềm tra, đánh giá |
Số câu hỏi theo mức độ |
|||
|
Nhận biết |
Thông hiểu |
Vận dụng |
Vận dụng cao |
||||
|
1 |
Số hữu tỉ |
Tập hợp các số hữu tỉ. Thứ tự thực hiện các phép tính. |
Nhận biết: - Nhận biết được số hữu tỉ. - Nhận biết được tập hợp các số hữu tỉ ℚ. - Nhận biết được số đối của số hữu tỉ. - Nhận biết được thứ tự trong tập hợp số hữu tỉ. |
2 (TN1, TN2) |
|
|
|
|
Thông hiểu: - Biểu diễn số hữu tỉ trên trục số. |
|
|
|
|
|||
|
Vận dụng: - So sánh hai số hữu tỉ. |
|
|
|
|
|||
|
Các phép toán với số hữu tỉ |
Thông hiểu: - Mô tả được phép tính lũy thừa với số mũ tự nhiên của một số hữu tỉ và một số tính chất của phép tính đó (tích và thương của hai lũy thừa cùng cơ số, lũy thừa của lũy thừa). - Mô tả được thứ tự thực hiện phép tính, quy tắc dấu ngoặc, quy tắc chuyển vế trong tập hợp số hữu tỉ. |
|
1 (TL1a) |
|
|
||
|
Vận dụng: - Thực hiện được các phép tính: cộng, trừ, nhân, chia trong tập hợp số hữu tỉ. - Vận dụng được các tính chất giao hoán, kết hợp, phân phối của phép nhân đối với phép cộng, quy tắc dấu ngoặc với số hữu tỉ trong tính toán (tính viết và tính nhẩm, tính nhanh một cách hợp lí). - Giải quyết được một số vấn đề thực tiễn (đơn giản, quen thuộc) gắn với các phép tính về số hữu tỉ (ví dụ: các bài toán liên quan chuyển động trong Vật lí, đo đạc, …). |
|
|
2 (TL1b, TL2a) |
|
|||
|
Vận dụng cao: - Giải quyết được một số vấn đề thực tiễn (phức hợp, không quen thuộc) gắn với các phép tính về số hữu tỉ. |
|
|
|
1 (TL6) |
|||
|
2 |
Số thực |
Căn bậc hai số học. Số vô tỉ. Số thực |
Nhận biết: - Nhận biết căn bậc hai số học của một số không âm. - Nhận biết số vô tỉ, số thực, tập hợp các số thực. - Nhận biết được trục số thực. - Nhận biết số đối và giá trị tuyệt đối của số thực. - Nhận biết thứ tự trong tập hợp các số thực. |
3 (TN3, TN4, TN5) |
|
|
|
|
Thông hiểu: - Mô tả được cách viết chu kì của số thập phân vô hạn tuần hoàn. - Biểu diễn được số thực trên trục số trong trường hợp thuận lợi. |
2 (TN6, TN7) |
|
|
|
|||
|
Vận dụng: - Tính giá trị (đúng hoặc gần đúng) căn bậc hai số học của một số nguyên dương bằng máy tính cầm tay. - Ước lượng và làm tròn số căn cứ vào độ chính xác cho trước. |
|
|
|
|
|||
|
Tỉ lệ thức và dãy tỉ số bằng nhau |
Nhận biết: - Nhận biết được tỉ lệ thức và các tính chất của tỉ lệ thức. - Nhận biết được dãy tỉ số bằng nhau. |
1 (TN8) |
|
|
|
||
|
Vận dụng: - Vận dụng được tính chất của tỉ lệ thức trong giải toán. - Vận dụng được tính chất của dãy tỉ số bằng nhau trong giải toán (ví dụ: chia một số thành các phần tỉ lệ với các số cho trước,…). |
|
|
1 (TL2b) |
|
|||
|
Đại lượng tỉ lệ và giải toán về đại lượng tỉ lệ |
Nhận biết: - Nhận biết các đại lượng tỉ lệ thuận và đại lượng tỉ lệ nghịch. - Nhận biết các tính chất cơ bản của đại lượng tỉ lệ thuận và đại lượng tỉ lệ nghịch. |
1 (TN9) |
|
|
|
||
|
Vận dụng: - Giải được một số bài toán đơn giản về đại lượng tỉ lệ thuận (ví dụ: bài toán về tổng sản phẩm thu được và năng suất lao động,…). - Giải được một số bài toán đơn giản về đại lượng tỉ lệ nghịch (ví dụ: bài toán về thời gian hoàn thành kế hoạch và năng suất lao động,…). |
|
|
1 (TL3) |
|
|||
|
3 |
Hình học trực quan |
Hình hộp chữ nhật và hình lập phương. Lăng trụ đứng tam giác và lăng trụ đứng tứ giác. |
Thông hiểu: - Mô tả được các yếu tố đỉnh, cạnh, góc, đường chéo của hình hộp chữ nhật và hình lập phương. - Mô tả được hình lăng trụ đứng tam giác, hình lăng trụ đứng tứ giác (ví dụ: hai mặt đáy song song; các mặt bên đều là hình chữ nhật) và tạo lập được hình lăng trụ đứng tam giác, hình lăng trụ đứng tứ giác. |
1 (TN10) |
|
|
|
|
Vận dụng: - Giải quyết được một số vấn đề thực tiễn gắn với việc tính thể tích, diện tích xung quanh của hình hộp chữ nhật, hình lập phương (ví dụ: tính thể tích hoặc diện tích xung quanh của một số đồ vật quen thuộc có dạng hình hộp chữ nhật, hình lập phương,…). - Tính được diện tích xung quanh, thể tích của hình lăng trụ đứng tam giác, hình lăng trụ đứng tứ giác. - Giải quyết được một số vấn đề thực tiễn gắn với việc tính thể tích, diện tích xung quanh của hình lăng trụ đứng tam giác, hình lăng trụ đứng tứ giác (ví dụ: tính thể tích hoặc diện tích xung quanh của một số đồ vật quen thuộc có dạng hình lăng trụ đứng tam giác, hình lăng trụ đứng tứ giác,…). |
|
|
1 (TL4) |
|
|||
|
4 |
Góc và đường thẳng song song |
Góc ở vị trí đặc biệt. Tia phân giác của một góc |
Nhận biết: - Nhận biết hai góc kề bù, hai góc đối đỉnh. - Nhận biết được cách vẽ tia phân giác của một góc bằng dụng cụ học tập. |
1 (TN11) |
|
|
|
|
Vận dụng: - Vẽ tia phân giác của một góc bằng dụng cụ học tập. - Tính được số đo góc dựa vào tính chất của các góc ở vị trí đặc biệt. - Tính được số đo góc dựa vào tính chất của tia phân giác. |
|
|
|
|
|||
|
Dấu hiệu nhận biết và tính chất hai đường thẳng song song. Tiên đề Euclid. |
Nhận biết: - Nhận biết các góc tạo bởi một đường thẳng cắt hai đường thẳng. - Nhận biết cách vẽ hai đường thẳng song song. - Nhận biết tiên đề Euclid về đường thẳng song song. |
1 (TN12) |
|
|
|
||
|
Thông hiểu: - Mô tả dấu hiệu nhận biết hai đường thẳng song song thông qua cặp góc đồng vị, cặp góc so le trong. - Mô tả một số tính chất của hai đường thẳng song song. |
|
1 (TL5b) |
|
|
|||
|
Vận dụng: - Chứng minh hai đường thẳng song song. - Tính số đo của góc tạo bởi hai đường thẳng song song. |
|
|
1 (TL5c) |
|
|||
|
Định lí và chứng minh định lí |
Nhận biết: - Nhận biết một định lí, nhận biết giả thiết, kết luận của định lí. |
1 (TL5a) |
|
|
|
||
|
Vận dụng: - Chứng minh một định lí. |
|
|
|
|
|||
Phòng Giáo dục và Đào tạo ...
Đề thi Học kì 1 - Cánh diều
năm 2025
Môn: Toán 7
Thời gian làm bài: 90 phút
(không kể thời gian phát đề)
(Đề số 2)
I. PHẦN TRẮC NGHIỆM (3,0 điểm):
Khoanh vào chữ cái đặt trước câu trả lời đúng.
Câu 1: Cho các số sau:Hãy cho biết số nào không phải là số hữu tỉ?
A. ;
B. 0,625;
C. ;
D..
Câu 2: Số đối của số hữu tỉ là:
Câu 3:Chu kỳ của số thập phân vô hạn tuần hoàn −4,31(2) là:
A. 312;
B. 2;
C. 12;
D. 0,312.
Câu 4:Tập hợp các số thực được kí hiệu là:
A. ℚ;
B. 𝕀;
C. ℤ;
D.ℝ.
Câu 5: Cho đường thẳng c cắt hai đường thẳng song song a và b. Khi đó, tiên đề Euclid suy ra tính chất nào sau đây?
A. Hai góc so le trong bằng nhau;
B. Hai góc đồng vị bằng nhau;
C. Cả A và B đều sai;
D. Cả A và B đều đúng.
Câu 6: Cho các số sau số nào viết được dưới dạng số thập phân hữu hạn?
Câu 7. Khẳng định nào không đúng về các cạnh bên của hình lăng trụ đứng tứ giác?
A. Song song với nhau;
B. Bằng nhau;
C. Vuông góc với hai đáy;
D. Vuông góc với nhau.
Câu 8: Trong các khẳng định sau, khẳng định nào đúng?
A. Hai góc có tổng bằng 180° là hai góc kề bù;
B. Hai góc vừa kề nhau, vừa bù nhau là hai góc đối đỉnh;
C. Hai đường thẳng cắt nhau tạo thành hai cặp góc đối đỉnh;
D.Hai góc kề nhau là hai góc có một cạnh chung.
Câu 9:Phát biểu định lí sau bằng lời:
A. Nếu một đường thẳng cắt hai đường thẳng phân biệt thì chúng song song với nhau;
B. Nếu hai đường thẳng phân biệt cùng vuông góc với đường thẳng thứ ba thì chúng vuông góc với nhau;
C. Nếu hai đường thẳng phân biệt cùng vuông góc với đường thẳng thứ ba thì chúng song song với nhau;
D. Nếu hai đường thẳng phân biệt cùng vuông góc với đường thẳng thứ ba thì chúng cắt nhau.
Câu 10:Cho hình hộp chữ nhật có kích thước như hình vẽ.
Diện tích xung quanh của hình hộp chữ nhật là:
A. 2750 cm2;
B. 275 cm2;
C. 2770 cm2;
D. 27 cm2.
Câu 11: Một ô tô đi quãng đường 100 km với vận tốc v (km/h) và thời gian t (h). Chọn câu đúng về mối quan hệ của v và t.
A. v và t là hai đại lượng tỉ lệ nghịch với hệ số tỉ lệ ;
B. v và t là hai đại lượng tỉ lệ nghịch với hệ số tỉ lệ 100;
C. v và t là hai đại lượng tỉ lệ thuận với hệ số tỉ lệ 100;
D. v và t là hai đại lượng tỉ lệ thuận với hệ số tỉ lệ .
Câu 12: Trong tháng 5 vừa qua, tỉ số sản phẩm làm được của An và Bình trong một phân xưởng là 0,95. Hỏi An và Bình lần lượt làm được bao nhiêu sản phẩm, biết rằng An làm nhiều hơn Bình là 10 sản phẩm?
A. 190 sản phẩm và 210 sản phẩm;
B. 180 sản phẩm và 200 sản phẩm;
C. 190 sản phẩm và 200 sản phẩm;
D. 180 sản phẩm và 190 sản phẩm.
II. PHẦN TỰ LUẬN (7 điểm):
Câu 1 (2đ) Thực hiện phép tính:
Câu 2 (2đ): Người ta đào một đoạn mương dài 20 m, sâu 1,5 m. Bề mặt của mương rộng 1,8 m và đáy mương rộng 1,2 m.
a) Tính thể tích khối đất phải đào.
b) Người ta chuyển khối đất trên để rải lên một mảnh đất hình chữ nhật có kích thước 30 m × 40 m. Tính bề dày của lớp đất rải lên trên mảnh đất đó.
Câu 3 (1đ):Một nhân viên văn phòng có thể đánh máy được 160 từ trong 2,5 phút. Hỏi cần bao nhiêu phút để người đó đánh được 800 từ? (giả thiết rằng thời gian để đánh được các từ là như nhau).
Câu 4 (1đ):Cho hình vẽ sau, hãy chỉ ra:
a) Các cặp góc kề bù;
b) Các cặp góc đối đỉnh.
Câu 5 (1đ)Để nâng cao hiệu quả phòng chống dịch bệnh, học sinh phải thực hiện việc test nhanh Covid trước khi đến trường. Giá ban đầu để test mẫu gộp là 40 000đồng/1 học sinh, mẫu đơn là 100 000đồng/1 học sinh. Do lớp 7A test sau ngày 21/2/2022 nên được giảm giá 30%.
a) Tính chi phí test nhanh Covid của lớp 7A biết có 13 em test mẫu gộp, 22 em test mẫu đơn.
b) Nếu chi phí test nhanh Covid cho 35 học sinh lớp 7A là 2030000 đồng thì có bao nhiêu em test mẫu đơn, bao nhiêu em test mẫu gộp?
A. Ma trận đề kiểm tra cuối kỳ I
Môn: Toán – Lớp 7 – Thời gian làm bài: 90 phút
|
TT |
Chủ đề |
Nội dung/Đơn vị kiến thức |
Mức độ đánh giá |
Tổng % điểm |
|||||||
|
Nhận biết |
Thông hiểu |
Vận dụng |
Vận dụng cao |
||||||||
|
TNKQ |
TL |
TNKQ |
TL |
TNKQ |
TL |
TNKQ |
TL |
||||
|
1 |
Số hữu tỉ (2,75 điểm) |
Số hữu tỉ và tập hợp các số hữu tỉ. Thứ tự trong tập hợp các số hữu tỉ |
2 câu (0,5 đ) |
|
|
|
|
|
|
|
27,5%
|
|
Các phép tính với số hữu tỉ |
|
|
1 câu (0,25 đ) |
2 câu (1,0 đ) |
|
|
|
1 câu (1,0 đ) |
|||
|
2 |
Số thực (3 điểm) |
Căn bậc hai số học |
1 câu (0,25 đ) |
|
|
|
|
|
|
|
30%
|
|
Số vô tỉ. Số thực |
1 câu (0,25 đ) |
|
|
2 câu (1,0 đ) |
|
|
|
|
|||
|
Tỉ lệ thức. Dãy tỉ số bằng nhau |
|
|
|
|
1 câu (0,25 đ) |
|
|
|
|
||
|
Đại lượng tỉ lệ thuân. Đại lượng tỉ lệ nghịch |
|
|
1 câu (0,25 đ) |
|
|
1 câu (1 đ) |
|
|
|
||
|
3 |
Các hình khối trong thực tiễn (2,5 điểm) |
Hình hộp chữ nhật và hình lập phương |
|
|
1 câu (0,25 đ)
|
|
|
1 câu (1 đ) |
|
|
25%
|
|
Lăng trụ đứng tam giác, lăng trụ đứng tứ giác |
|
|
1 câu (0,25 đ) |
|
|
1 câu (1 đ) |
|
|
|||
|
4 |
Góc và đường thẳng song song (1,75 điểm) |
Góc ở vị trí đặc biệt, tia phân giác |
|
1 câu (1,0 đ) |
1 câu (0,25 đ) |
|
|
|
|
|
15%
|
|
Hai đường thẳng song song. Tiên đề Euclid về đường thẳng song song |
|
|
1 câu (0,25 đ) |
|
|
|
|
|
|||
|
Khái niệm định lí, chứng minh một định lí |
|
|
|
|
1 câu (0,25 đ) |
|
|
|
|||
|
Tổng: Số câu Điểm |
4 1đ |
1 1đ |
6 1,5đ |
4 2,0đ |
2 0,5đ |
3 3đ |
|
1 1đ |
20 10đ |
||
|
Tỉ lệ % |
20% |
35% |
35% |
10% |
100% |
||||||
|
Tỉ lệ chung |
55% |
45% |
100% |
||||||||
BẢN ĐẶC TẢ MA TRẬN ĐỀ KIỂM TRA CUỐI HỌC KÌ 1 TOÁN – LỚP 7
|
TT |
Chương/Chủ đề |
Mức độ đánh giá |
Số câu hỏi theo mức độ nhận thức |
||||
|
Nhận biết |
Thông hiểu |
Vận dụng |
Vận dụng cao |
||||
|
1 |
Số hữu tỉ |
Tập hợp số hữu tỉ |
Nhận biết: – Nhận biết được số hữu tỉ và lấy được ví dụ về số hữu tỉ. – Nhận biết được số đối của một số hữu tỉ. |
2TN |
|
|
|
|
Các phép tính với số hữu tỉ |
Thông hiểu: – Phép tính luỹ thừa với số mũ tự nhiên của một số hữu tỉ và một số tính chất của phép tính đó (tích và thương của hai luỹ thừa cùng cơ số, luỹ thừa của luỹ thừa). |
1TN |
2TL |
|
|
||
|
– Thứ tự thực hiện các phép tính, quy tắc dấu ngoặc, quy tắc chuyển vế trong tập hợp số hữu tỉ. |
|
|
|
|
|||
|
Vận dụng: – Thực hiện được các phép tính: cộng, trừ, nhân, chia trong tập hợp số hữu tỉ. |
|
|
|
|
|||
|
– Vận dụng được các tính chất giao hoán, kết hợp, phân phối của phép nhân đối với phép cộng, quy tắc dấu ngoặc với số hữu tỉ trong tính toán (tính viết và tính nhẩm, tính nhanh một cách hợp lí). |
|
|
|
|
|||
|
– Giải quyết được một số vấn đề thực tiễn gắn với các phép tính về số hữu tỉ. (ví dụ: các bài toán liên quan đến chuyển động trong Vật lí, trong đo đạc,...). |
|
|
|
1TL |
|||
|
2 |
Số thực |
Căn bậc hai số học |
Nhận biết: – Nhận biết được khái niệm căn bậc hai số học của một số không âm. |
2TN |
|
|
|
|
Số vô tỉ, số thực làm tròn số và ước lượng |
Nhận biết: – Nhận biết được số thập phân hữu hạn và số thập phân vô hạn tuần hoàn. – Nhận biết được số vô tỉ, số thực, tập hợp các số thực. Vận dụng: – Thực hiện được ước lượng và làm tròn số căn cứ vào độ chính xác cho trước. |
|
1TN |
|
1TL |
||
|
Tỉ lệ thức. Dãy tỉ số bằng nhau |
- Sử dụng công thức của tỉ lệ thức để giải các bài toán thực tế. |
|
|
1TN |
|
||
|
Đại lượng tỉ lệ thuận. Đại lượng tỉ lệ nghịch |
- Sử dụng tỉ lệ thuận, tỉ lệ nghịch để tính giá trị tương ứng. - Vận dụng tính chất tỉ lệ thuận, nghịch để tính giá trị tương ứng và giải bài toán thực tế. |
|
1TN |
2TL |
|
||
|
3 |
Các hình khối trong thực tiễn |
Hình hộp chữ nhật và hình lập phương |
Nhận biết: Mô tả được một số yếu tố cơ bản (đỉnh, cạnh, góc, đường chéo) của hình hộp chữ nhật và hình lập phương. |
|
2TN |
|
|
|
Thông hiểu: – Giải quyết được một số vấn đề thực tiễn gắn với việc tính thể tích, diện tích xung quanh của hình hộp chữ nhật, hình lập phương, hình lăng trục đứng tam giác, tứ giác. |
|
|
2TL |
|
|||
|
Lăng trụ đứng tam giác, lăng trụ đứng tứ giác |
Nhận biết: – Mô tả được một số yếu tố cơ bản (cạnh, góc, đường chéo) của hình chữ nhật, hình thoi, hình bình hành, hình thang cân. |
|
|
|
|
||
|
Thông hiểu: – Mô tả được một số yếu tố cơ bản (cạnh, góc, đường chéo) của hình chữ nhật, hình thoi, hình bình hành, hình thang cân. |
|
|
|
|
|||
|
Vận dụng : – Giải quyết được một số vấn đề thực tiễn (đơn giản) gắn với việc tính chu vi và diện tích của các hình đặc biệt nói trên. |
|
|
2TN |
2TL |
|||
|
4 |
Góc và đường thẳng song song
|
Góc ở vị trí đặc biệt, tia phân giác |
Nhận biết : – Nhận biết được các góc ở vị trí đặc biệt (hai góc kề bù, hai góc đối đỉnh). – Nhận biết được tia phân giác của một góc. – Nhận biết được cách vẽ tia phân giác của một góc |
2TL |
1TN |
|
|
|
Hai đường thẳng song song. Tiên đề Euclid về đường thẳng song song |
Nhận biết: – Nhận biết được tiên đề Euclid về đường thẳng song song. Thông hiểu: – Mô tả được một số tính chất của hai đường thẳng song song. – Mô tả được dấu hiệu song song của hai đường thẳng thông qua cặp góc đồng vị, cặp góc so le trong. |
|
1TN |
|
|
||
|
|
|
Khái niệm định lí, chứng minh một định lí |
Nhận biết: - Nhận biết được thế nào là một định lí. |
|
|
1TN |
|
Lưu ý:
- Các câu hỏi ở cấp độ nhận biết và thông hiểu là các câu hỏi trắc nghiệm khách quan 4 lựa chọn, trong đó có duy nhất 1 lựa chọn đúng.
- Các câu hỏi ở cấp độ vận dụng và vận dụng cao là câu hỏi tự luận.
- Số điểm tính cho 1 câu trắc nghiệm là 0,25 điểm/câu; số điểm của câu tự luận được quy định trong hướng dẫn chấm nhưng phải tương ứng với tỉ lệ điểm được quy định trong ma trận.
Phòng Giáo dục và Đào tạo ...
Đề thi Học kì 1 - Cánh diều
năm 2025
Môn: Toán 7
Thời gian làm bài: 90 phút
(không kể thời gian phát đề)
(Đề số 3)
PHẦN I. TRẮC NGHIỆM KHÁCH QUAN (3,0 điểm)
Hãy khoanh tròn vào phương án đúng duy nhất trong mỗi câu dưới đây:
Câu 1. Chọn câu trả lời đúng:
A. Số hữu tỉ 0 là số hữu tỉ âm;
B. Số hữu tỉ 0 không là số hữu tỉ âm, cũng không là số hữu tỉ dương;
C. Số hữu tỉ 0 là số hữu tỉ dương;
D. Số hữu tỉ 0 vừa là số hữu tỉ âm, vừa là số hữu tỉ dương.
Câu 2. Số đối của số hữu tỉ là
Câu 3. An tính như sau:
Cô giáo chấm bài của An và nói rằng An đã làm sai. Vậy An đã làm sai ở bước nào?
A. Bước (1);
B. Bước (2);
C. Bước (3);
D. Bước (4).
Câu 4. Trong các phát biểu sau, phát biểu nào sai?
A. Nếu a ∈ ℚ thì a không thể là số vô tỉ;
B. Nếu a ∈ ℤ thì a không thể là số vô tỉ;
C. Nếu a ∈ ℕ thì a không thể là số vô tỉ;
D. Nếu a ∈ ℝ thì a không thể là số vô tỉ.
Câu 5. Chọn khẳng định đúng:
Câu 6. Viết phân số dưới dạng số thập phân vô hạn tuần hoàn ta được:
A. 1,(06);
B. 1,(07);
C. 1,0(6);
D. 1,067.
Câu 7. Điểm nào trên trục số biểu diễn giá trị x thoả mãn |x| = ?
A. Điểm A;
B. Điểm B;
C. Điểm O;
D. Điểm A và điểm B.
Câu 8. Cho đẳng thức ad = bc (a, b, c, d ≠ 0). Tỉ lệ thức nào sau đây là sai?
Câu 9. Hai đại lượng nào sau đây không phải hai đại lượng tỉ lệ nghịch?
A. Vận tốc v và thời gian t khi đi trên cùng quãng đường 12 km;
B. Diện tích S và bán kính R của hình tròn;
C. Năng suất lao động N và thời gian t hoàn thành một lượng công việc a;
D. Một đội dùng x máy cày cùng năng suất để cày xong một cánh đồng hết y giờ.
Câu 10. Cho hai tấm bìa sau:
A. Chỉ tấm bìa ở Hình 1 ghép được hình hộp chữ nhật;
B. Chỉ tấm bìa ở Hình 2 ghép được hình hộp chữ nhật;
C. Cả hai tấm bìa ở Hình 1 và Hình 2 đều ghép được hình hộp chữ nhật;
D. Cả hai tấm bìa ở Hình 1 và Hình 2 đều không ghép được hình hộp chữ nhật.
Câu 11. Cho hai đường thẳng xx’ và yy’ cắt nhau tại O tạo thành góc xOy có số đo bằng 80°. Gọi Ot là tia phân giác của góc xOy, Ot’ là tia đối của tia Ot (hình vẽ).
Số đo của góc x’Ot’ bằng
A. 20°;
B. 40°;
C. 80°;
D. 120°.
Câu 12. Qua một điểm nằm ngoài đường thẳng d có:
A. hai đường thẳng vuông góc với đường thẳng d;
B. duy nhất một đường thẳng vuông góc với đường thẳng d;
C. ít nhất một đường thẳng vuông góc với đường thẳng d;
D. vô số đường thẳng vuông góc với đường thẳng d.
PHẦN II. TỰ LUẬN (7,0 điểm)
Bài 1. (1,5 điểm) Tính giá trị của các biểu thức sau (tính hợp lí nếu có thể):
Bài 2. (1,0 điểm) Tìm x, biết:
Bài 3. (1,5 điểm) Bạn Nam đi mua vở và nhẩm tính với số tiền hiện có thì chỉ mua được 10 quyển vở loại I hoặc 12 quyển vở loại II hoặc 15 quyển vở loại III. Biết rằng tổng giá trị tiền 1 quyển vở loại I và 2 quyển vở loại III nhiều hơn giá tiền 2 quyển vở loại II là 4 000 đồng. Tính giá tiền của mỗi quyển vở loại III.
Bài 4. (1,0 điểm) Một khối gỗ hình lăng trụ đứng tứ giác có đáy là hình chữ nhật có kích thước là 5 dm, 6 dm và chiều cao 7 dm. Người ta khoét từ đáy một cái lỗ hình lăng trụ đứng tam giác, đáy là một tam giác vuông có hai cạnh góc vuông là 3 dm, 4 dm và cạnh huyền là 5 dm (hình vẽ).
Người ta cần sơn toàn bộ các mặt của khối gỗ, tính thể tích khối gỗ và diện tích bề mặt cần sơn.
Bài 5. (1,0 điểm) Cho hình vẽ dưới đây.
a) Vẽ lại hình và viết giả thiết kết luận.
b) Chứng minh AM // CN.
c) Tính số đo góc ABC.
Bài 6. (1,0 điểm)
a) Một cửa hàng thời trang có chương trình giảm giá 20% cho tất cả các sản phẩm. Đặc biệt nếu khách hàng nào có Thẻ thành viên của cửa hàng thì được giảm giá thêm 10% trên giá đã giảm. Chị Phương đến cửa hàng mua một chiếc áo dạ, khi thanh toán hóa đơn, chị Phương chỉ cần trả 2 160 000 đồng do có thẻ thành viên. Hỏi giá niêm yết của chiếc áo là bao nhiêu?
b) Tìm giá trị lớn nhất của biểu thức
Phòng Giáo dục và Đào tạo ...
Đề thi Học kì 1 - Cánh diều
năm 2025
Môn: Toán 7
Thời gian làm bài: 90 phút
(không kể thời gian phát đề)
(Đề số 4)
I. PHẦN TRẮC NGHIỆM (3,0 điểm):
Khoanh vào chữ cái đặt trước câu trả lời đúng.
Câu 1: Trong các số sau, số nào là số hữu tỉ âm?
Câu 2: Cho hai số hữu tỉ và . So sánh số đối của hai số đó.
A. ‒a < ‒b;
B. ‒a > ‒b;
C. ‒a = ‒b;
D. ‒a ≤ ‒b.
Câu 3:Tìm x, biết: .
Câu 4:Trong các tập hợp sau, tập hợp nào có tất cả các phần tử đều là số vô tỉ?
Câu 5: Tiên đề Euclid được phát biểu:
“ Qua một điểm M nằm ngoài đường thẳng a ....”
A. Có duy nhất một đường thẳng đi qua M và song song với a;
B. Có hai đường thẳng song song với a;
C. Có ít nhất một đường thẳng song song với a;
D. Có vô số đường thẳng song song với a.
Câu 6: Tính bằng:
A. −9;
B. −11,(4);
C. −11;
D. −35,(4).
Câu 7. Trong các hình sau, hình nào là hình lăng trụ đứng tứ giác?
A. Hình 1;
B. Hình 2;
C. Hình 3;
D. Hình 4.
Câu 8: Cho hình vẽ:
Các cặp góc đối đỉnh là:
Câu 9:Chọn câu trả lời đúng.
Trong định lí: " Nếu một đường thẳng vuông góc với một trong hai đường thẳng song song thì nó cũng vuông góc với đường thẳng kia."
Ta có giả thiết là:
A. "Nếu một đường thẳng vuông góc";
B. "Nó cũng vuông góc với đường thẳng kia";
C. "Nếu một đường thẳng vuông góc với một trong hai đường thẳng song song thì nó cũng vuông góc với đường thẳng kia";
D. "Một đường thẳng vuông góc với một trong hai đường thẳng song song".
Câu 10:Cho con xúc xắc hình lập phương như hình vẽ sau.
Thể tích của con xúc xắc hình lập phương là:
A. 15 cm3;
B. 25 cm3;
C. 100 cm3;
D. 125 cm3.
Câu 11:Các tỉ số nào sau đây lập thành một tỉ lệ thức?
Câu 12:Với cùng số tiền để mua 51 mét vải loại I có thể mua được bao nhiêu mét vải loại II, biết rằng giá tiền 1 mét vải loại II chỉ bằng 85% giá tiền vải loại I?
A. 42mét;
B. 40mét;
C. 60mét;
D. 50mét.
II. PHẦN TỰ LUẬN (7 điểm):
Câu 1 (2đ) Tìm x, biết:
Câu 4 (1đ):Tính chu vi một sân đấu hình tròn biết diện tích của nó là 200 m2 (làm tròn kết quả với độ chính xác 0,05).
Câu 2 (1đ):Một hình lăng trụ có kích thước đáy và chiều cao như hình. Hùng đổ vào đó một lượng nước, rồi đo khoảng cách từ mực nước sau khi đổi vào tới miệng bình được 6 cm. Hỏi số lít nước Hùng đổ vào là bao nhiêu?
Câu 3 (1đ): Trước khi xuất khẩu cà phê, người ta chia cà phê thành 4 loại: loại 1, loại 2, loại 3, loại 4 tỉ lệ nghịch với 4; 3; 2; 1. Tính khối lượng cà phê loại 4 biết tổng số cà phê bốn loại là 300 kg.
Câu 4 (1đ):Cho hình vẽ, biết x // y và . Tính số đo góc .
Câu 5 (1đ):Bác Thu mua ba món hàng ở một siêu thị: Món hàng thứ nhất giá 125 000 đồng và được giảm giá 30%; món hàng thứ hai giá 300 000 đồng và được giảm giá 15%; món hàng thứ ba được giảm giá 40%. Tổng số tiền bác Thu phải thanh toán là 692 500 đồng. Hỏi giá tiền món hàng thứ ba lúc chưa giảm giá là bao nhiêu?
Xem thêm Đề thi Toán 7 Cánh diều có đáp án hay khác:
- Đề thi Giữa kì 1 Toán 7 Cánh diều có đáp án (10 đề)
- Đề kiểm tra 15 phút Toán 7 Học kì 1 Cánh diều (8 đề)
- Đề thi Giữa kì 2 Toán 7 Cánh diều có đáp án (10 đề)
- Đề kiểm tra 15 phút Toán 7 Học kì 2 Cánh diều (6 đề)
- Đề thi Học kì 2 Toán 7 Cánh diều có đáp án (10 đề)
Lời giải bài tập lớp 7 sách mới:
- Giải bài tập Lớp 7 Kết nối tri thức
- Giải bài tập Lớp 7 Chân trời sáng tạo
- Giải bài tập Lớp 7 Cánh diều
Tủ sách VIETJACK shopee lớp 6-8 (2025):
Đã có app VietJack trên điện thoại, giải bài tập SGK, SBT Soạn văn, Văn mẫu, Thi online, Bài giảng....miễn phí. Tải ngay ứng dụng trên Android và iOS.
Theo dõi chúng tôi miễn phí trên mạng xã hội facebook và youtube:Tuyển tập Đề thi các môn học lớp 7 năm 2025 học kì 1, học kì 2 được các Giáo viên hàng đầu biên soạn bám sát chương trình và cấu trúc ra đề thi trắc nghiệm và tự luận mới.
Nếu thấy hay, hãy động viên và chia sẻ nhé! Các bình luận không phù hợp với nội quy bình luận trang web sẽ bị cấm bình luận vĩnh viễn.
- Giáo án lớp 7 (các môn học)
- Giáo án điện tử lớp 7 (các môn học)
- Giáo án Toán 7
- Giáo án Ngữ văn 7
- Giáo án Tiếng Anh 7
- Giáo án Khoa học tự nhiên 7
- Giáo án Lịch Sử 7
- Giáo án Địa Lí 7
- Giáo án GDCD 7
- Giáo án Tin học 7
- Giáo án Công nghệ 7
- Giáo án HĐTN 7
- Giáo án Hoạt động trải nghiệm 7
- Giáo án Vật Lí 7
- Giáo án Sinh học 7
- Giáo án Hóa học 7
- Giáo án Âm nhạc 7
- Đề thi lớp 7 (các môn học)
- Đề thi Ngữ Văn 7 (có đáp án)
- Chuyên đề Tiếng Việt lớp 7
- Đề thi Toán 7 (có đáp án)
- Đề cương ôn tập Toán 7
- Đề thi Tiếng Anh 7 (có đáp án)
- Đề thi Khoa học tự nhiên 7 (có đáp án)
- Đề thi Lịch Sử & Địa Lí 7 (có đáp án)
- Đề thi Địa Lí 7 (có đáp án)
- Đề thi Lịch Sử 7 (có đáp án)
- Đề thi GDCD 7 (có đáp án)
- Đề thi Công nghệ 7 (có đáp án)
- Đề thi Tin học 7 (có đáp án)


Giải bài tập SGK & SBT
Tài liệu giáo viên
Sách
Khóa học
Thi online
Hỏi đáp

