10 Đề thi Cuối kì 1 Toán 7 Chân trời sáng tạo năm 2025 (có đáp án)
Với bộ 10 Đề thi Cuối Học kì 1 Toán lớp 7 năm 2025 có đáp án theo cấu trúc mới được biên soạn bám sát nội dung sách Chân trời sáng tạo và sưu tầm từ đề thi Toán 7 của các trường THCS trên cả nước. Hi vọng bộ đề thi này sẽ giúp học sinh ôn tập và đạt kết quả cao trong các bài thi Học kì 1 Toán 7.
10 Đề thi Cuối kì 1 Toán 7 Chân trời sáng tạo năm 2025 (có đáp án)
Chỉ từ 150k mua trọn bộ Đề thi Toán 7 Cuối kì 1 Chân trời sáng tạo theo cấu trúc mới bản word có lời giải chi tiết:
- B1: gửi phí vào tk:
1053587071- NGUYEN VAN DOAN - Ngân hàng Vietcombank (QR) - B2: Nhắn tin tới Zalo VietJack Official - nhấn vào đây để thông báo và nhận đề thi
Phòng Giáo dục và Đào tạo ...
Đề thi Học kì 1 - Chân trời sáng tạo
năm 2025
Môn: Toán 7
Thời gian làm bài: 90 phút
(không kể thời gian phát đề)
(Đề số 1)
I. PHẦN TRẮC NGHIỆM: (3,0 điểm)
Khoanh vào chữ cái đặt trước câu trả lời đúng.
Câu 1: Trong các số sau, số nào biểu diễn số hữu tỉ?
Câu 2: Số đối của số hữu tỉ là
A. 12;
B. ;
C. ;
D. −12.
Câu 3: Căn bậc hai số học của 25là
A. −5;
B. 5;
C. ;
D. ±5.
Câu 4: Số thuộc tập hợp số nào sau đây?
A.ℤ;
B. 𝕀;
C.ℚ;
D. ℕ.
Câu 5: Cho điểm M nằm ngoài đường thẳng d. Có bao nhiêu đường thẳng qua M và song song với d?
A. 0;
B. 1;
C. 2;
D. vô số.
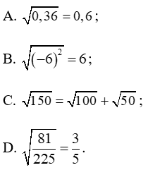
Câu 6: Trong các kết quả sau, kết quả nào đúng?
Câu 7: Cho lăng trụ đứng có kích thước như hình vẽ.
Số nào trong các số sau đây là diện tích xung quanh của hình lăng trụ đứng đó?
A. 120 cm2;
B. 24 cm2;
C. 128 cm2;
D. 200 cm2.
Câu 8: Cho hình vẽ sau:
Góc đối đỉnh với góc xAy là:
Câu 9: Cho định lí: “Nếu một đường thẳng cắt hai đường thẳng song song thì hai góc đồng vị bằng nhau”. Hãy chỉ ra giả thiết và kết luận của định lí trên.
A. Giả thiết: “một đường thẳng cắt hai đường thẳng song song”; Kết luận: “hai góc đồng vị bằng nhau”;
B. Giả thiết: “một đường thẳng”; Kết luận: “cắt hai đường thẳng song song thì hai góc đồng vị bằng nhau”;
C. Giả thiết: “một đường thẳng cắt hai đường thẳng”; Kết luận: “song song thì hai góc đồng vị bằng nhau”;
D. Giả thiết: “một đường thẳng cắt hai đường thẳng song song thì hai góc đồng vị”; Kết luận: “bằng nhau”.
Câu 10: Hình lập phương B có cạnh bằng cạnh hình lập phương A. Hỏi thể tích hình lập phương B bằng bao nhiêu phần thể tích hình lập phương A?
Câu 11: Biểu đồ dưới đây cho biết tỉ số phần trăm diện tích trồng các loại cây ăn quả ở một trang trại.
Căn cứ vào biểu đồ sau đây, hãy cho biết tỉ số phần trăm diện tích trồng các loại cây ăn quả khác là bao nhiêu?
A. 27,5%;
B. 20%;
C. 17,5%;
D. 35%.
Câu 12:Cho biểu đồ sau:
Năm nào có tỉ lệ học sinh THCS nghiện điện thoại cao nhất?
A. 2021;
B. 2020;
C. 2019;
D. 2018.
II. PHẦN TỰ LUẬN (7,0 điểm)
Câu 1 (1đ) Tính:
Câu 2 (1đ): Nhà bạn Bình có một bể cá dạng hình hộp chữ nhật với kích thước chiều dài đáy bể 2 m, chiều rộng đáy bể là 1,5 m và chiều cao bể là 1,2 m. Bố bạn Bình đổ nước vào bể cá sao cho khoảng cách từ mặt nước đến miệng bể cá là 0,4 m. Hỏi thể tích nước trong bể cá là bao nhiêu? (bỏ qua bề dày thành bể).
Câu 3 (1đ): Một hình tròn có diện tích là 300 cm2 thì có bán kính khoảng bằng bao nhiêu (làm tròn đến chữ số thập phân thứ hai).
Câu 4 (1đ): Cho biểu đồ sau:
a) Trong biểu đồ trên, có mấy thể loại phim được thống kê.
b) Loại phim nào được các bạn học sinh khối lớp 7 yêu thích nhất?
Câu 5 (1đ): Cho tam giácABC có , tia phân giác góc C cắt ABtại D. Tính .
Câu 6 (1đ): Vẽ lại hình bên và giải thích tại sao xx' // yy'.
Câu 7 (1đ): Theo yêu cầu của bác An, diện tích phòng ngủ tối thiểu đạt 25m2. Trên bản vẽ trong hình dưới đây có tỉ lệ , kích thước phòng ngủ trên bản vẽ tính bằng centimet. Khoảng cách trên bản vẽ như vậy có phù hợp với yêu cầu của bác An không? Vì sao?
------------- HẾT -------------
A. Ma trận đề kiểm tra cuối kỳ I
Môn: Toán – Lớp 7 – Thời gian làm bài: 90 phút
|
TT |
Chủ đề |
Nội dung/Đơn vị kiến thức |
Mức độ đánh giá |
Tổng % điểm |
|||||||
|
Nhận biết |
Thông hiểu |
Vận dụng |
Vận dụng cao |
||||||||
|
TNKQ |
TL |
TNKQ |
TL |
TNKQ |
TL |
TNKQ |
TL |
||||
|
1 |
Số hữu tỉ (2,5 điểm) |
Số hữu tỉ và tập hợp các số hữu tỉ. Thứ tự trong tập hợp các số hữu tỉ |
2 câu (0,5 đ) |
|
|
|
|
|
|
|
25%
|
|
Các phép tính với số hữu tỉ |
|
|
|
1 câu (1,0 đ) |
|
|
|
1 câu (1,0 đ) |
|||
|
2 |
Số thực (1,75 điểm) |
Căn bậc hai số học |
1 câu (0,25 đ) |
|
1 câu (0,25 đ) |
|
|
|
|
|
17,5%
|
|
Số vô tỉ. Số thực |
1 câu (0,25 đ) |
|
|
1 câu (1,0 đ) |
|
|
|
|
|||
|
3 |
Các hình khối trong thực tiễn (1,5 điểm) |
Hình hộp chữ nhật và hình lập phương |
|
|
|
|
1 câu (0,25 đ) |
1 câu (1,0 đ) |
|
|
15%
|
|
Lăng trụ đứng tam giác, lăng trụ đứng tứ giác |
|
|
|
|
1 câu (0,25 đ) |
|
|
|
|||
|
4 |
Góc và đường thẳng song song (2,75 điểm) |
Góc ở vị trí đặc biệt, tia phân giác |
1 câu (0,25 đ) |
|
|
|
|
1 câu (1,0 đ) |
|
|
27,5%
|
|
Hai đường thẳng song song. Tiên đề Euclid về đường thẳng song song |
1 câu (0,25 đ) |
1 câu (1,0 đ) |
|
|
|
|
|
|
|||
|
Khái niệm định lí, chứng minh một định lí |
1 câu (0,25 đ) |
|
|
|
|
|
|
|
|||
|
5 |
Một số yếu tố thống kê (1,5 điểm) |
Mô tả và biểu diễn dữ liệu trên bảng, biểu đồ |
|
1 câu (1,0 đ) |
2 câu (0,5 đ) |
|
|
|
|
|
15%
|
|
Tổng: Số câu Điểm |
7 1,75đ |
2 2,0đ |
3 0,75đ |
2 2,0đ |
2 0,5đ |
2 2đ |
|
1 1đ |
19 10đ |
||
|
Tỉ lệ % |
37,5% |
27,5% |
25% |
10% |
100% |
||||||
|
Tỉ lệ chung |
65% |
35% |
100% |
||||||||
BẢN ĐẶC TẢ MA TRẬN ĐỀ KIỂM TRA CUỐI HỌC KÌ I TOÁN – LỚP 7
|
TT |
Chương/Chủ đề |
Mức độ đánh giá |
Số câu hỏi theo mức độ nhận thức |
||||
|
Nhận biết |
Thông hiểu |
Vận dụng |
Vận dụng cao |
||||
|
1 |
Số hữu tỉ |
Tập hợp số hữu tỉ |
Nhận biết: – Nhận biết được số hữu tỉ và lấy được ví dụ về số hữu tỉ. – Nhận biết được số đối của một số hữu tỉ. |
2TN |
|
|
|
|
Các phép tính với số hữu tỉ |
Thông hiểu: – Phép tính luỹ thừa với số mũ tự nhiên của một số hữu tỉ và một số tính chất của phép tính đó (tích và thương của hai luỹ thừa cùng cơ số, luỹ thừa của luỹ thừa). |
|
1TL |
|
|
||
|
– Thứ tự thực hiện các phép tính, quy tắc dấu ngoặc, quy tắc chuyển vế trong tập hợp số hữu tỉ. |
|
|
|
|
|||
|
Vận dụng: – Thực hiện được các phép tính: cộng, trừ, nhân, chia trong tập hợp số hữu tỉ. |
|
|
|
|
|||
|
– Vận dụng được các tính chất giao hoán, kết hợp, phân phối của phép nhân đối với phép cộng, quy tắc dấu ngoặc với số hữu tỉ trong tính toán (tính viết và tính nhẩm, tính nhanh một cách hợp lí). |
|
|
|
|
|||
|
– Giải quyết được một số vấn đề thực tiễn gắn với các phép tính về số hữu tỉ. (ví dụ: các bài toán liên quan đến chuyển động trong Vật lí, trong đo đạc,...). |
|
|
|
1TL |
|||
|
2 |
Số thực |
Căn bậc hai số học |
Nhận biết: – Nhận biết được khái niệm căn bậc hai số học của một số không âm. |
1TN |
|
|
|
|
Số vô tỉ, số thực làm tròn số và ước lượng |
Nhận biết: – Nhận biết được số thập phân hữu hạn và số thập phân vô hạn tuần hoàn. – Nhận biết được số vô tỉ, số thực, tập hợp các số thực. Vận dụng: – Thực hiện được ước lượng và làm tròn số căn cứ vào độ chính xác cho trước. |
1TN |
1TN |
|
1TL |
||
|
3 |
Các hình khối trong thực tiễn |
Hình hộp chữ nhật và hình lập phương |
Nhận biết: Mô tả được một số yếu tố cơ bản (đỉnh, cạnh, góc, đường chéo) của hình hộp chữ nhật và hình lập phương. |
|
|
|
|
|
Thông hiểu: – Giải quyết được một số vấn đề thực tiễn gắn với việc tính thể tích, diện tích xung quanh của hình hộp chữ nhật, hình lập phương, hình lăng trục đứng tam giác, tứ giác. |
|
|
|
|
|||
|
Lăng trụ đứng tam giác, lăng trụ đứng tứ giác |
Nhận biết: – Mô tả được một số yếu tố cơ bản (cạnh, góc, đường chéo) của hình chữ nhật, hình thoi, hình bình hành, hình thang cân. |
|
|
|
|
||
|
Thông hiểu: – Mô tả được một số yếu tố cơ bản (cạnh, góc, đường chéo) của hình chữ nhật, hình thoi, hình bình hành, hình thang cân. |
|
|
|
|
|||
|
Vận dụng : – Giải quyết được một số vấn đề thực tiễn (đơn giản) gắn với việc tính chu vi và diện tích của các hình đặc biệt nói trên. |
|
|
2TN |
2TL |
|||
|
4 |
Góc và đường thẳng song song
|
Góc ở vị trí đặc biệt, tia phân giác |
Nhận biết : – Nhận biết được các góc ở vị trí đặc biệt (hai góc kề bù, hai góc đối đỉnh). – Nhận biết được tia phân giác của một góc. – Nhận biết được cách vẽ tia phân giác của một góc |
1TN |
|
|
|
|
Hai đường thẳng song song. Tiên đề Euclid về đường thẳng song song |
Nhận biết: – Nhận biết được tiên đề Euclid về đường thẳng song song. Thông hiểu: – Mô tả được một số tính chất của hai đường thẳng song song. – Mô tả được dấu hiệu song song của hai đường thẳng thông qua cặp góc đồng vị, cặp góc so le trong. |
1TN |
1TL |
|
|
||
|
|
|
Khái niệm định lí, chứng minh một định lí |
Nhận biết: - Nhận biết được thế nào là một định lí. |
1TN |
|
|
|
|
5 |
Một số yếu tố thống kê |
Mô tả và biểu diễn dữ liệu trên bản, biểu đồ |
Nhận biết: – Nhận biết được những dạng biểu diễn khác nhau cho một tập dữ liệu. – Đọc được các dữ liệu ở dạng biểu đồ thống kê: biểu đồ hình quạt tròn; biểu đồ đoạn thẳng. |
2TN |
|
1TL |
|
Lưu ý:
- Các câu hỏi ở cấp độ nhận biết và thông hiểu là các câu hỏi trắc nghiệm khách quan 4 lựa chọn, trong đó có duy nhất 1 lựa chọn đúng.
- Các câu hỏi ở cấp độ vận dụng và vận dụng cao là câu hỏi tự luận.
- Số điểm tính cho 1 câu trắc nghiệm là 0,25 điểm/câu; số điểm của câu tự luận được quy định trong hướng dẫn chấm nhưng phải tương ứng với tỉ lệ điểm được quy định trong ma trận.
Phòng Giáo dục và Đào tạo ...
Đề thi Học kì 1 - Chân trời sáng tạo
năm 2025
Môn: Toán 7
Thời gian làm bài: 90 phút
(không kể thời gian phát đề)
(Đề số 2)
I. PHẦN TRẮC NGHIỆM: (3,0 điểm)
Khoanh vào chữ cái đặt trước câu trả lời đúng.
Câu 1:Trong các câu sau, câu nào đúng?
A. Số hữu tỉ âm nhỏ hơn số hữu tỉ dương;
B. Số 0 là số hữu tỉ dương;
C. Số nguyên âm không phải là số hữu tỉ âm;
D. Tập hợp ℚ gồm các số hữu tỉ dương và các số hữu tỉ âm.
Câu 2: Trong các số hữu tỉ sau, số hữu tỉ nào không phải là số đối của số ?
A. 1,5;
B. 1510;
C. ‒1,5;
D. ‒(‒1,5).
Câu 3: Nhận xét đúng về căn bậc hai số học của 7 là:
A. một số hữu tỉ;
B. một số tự nhiên;
C. một số nguyên dương;
D. một số vô tỉ.
Câu 4: Trong các số sau, số nào là số vô tỉ?
A. 0,23;
B. 1,234567…;
C. 1,33333…;
D. 0,5.
Câu 5: Cho tam giác ABC. Qua đỉnh A vẽ đường thẳng a song song với BC, qua đỉnh B vẽ đường thẳng b song song với AC. Số đường thẳng a, b vẽ được lần lượt là:
A. 1; 1;
B. 0; 0;
C. 2; 1;
D. Vô số đường thẳng a và b.
Câu 6: Sắp xếp theo thứ tự giảm dần các số thực sau: ; ; π.
Câu 7: Cho hình lăng trụ đứng ABC.A'B'C' có đáy là tam giác ABC vuông tại A có AB = 3 cm, AC = 4 cm. Hình lăng trụ có chiều cao AA' = 3 cm. Thể tích của hình lăng trụ đó là:
A. V = 9 cm3;
B. V = 18 cm3;
C. V = 24 cm3;
D. V = 36 cm3.
Câu 8: Cho tia Ob nằm giữa hai tia Oa và Oc; . Khẳng định nào sau đây sai?
A. ;
B. Ob là tia phân giác ;
C. và là hai góc kề nhau;
D. Oc là tia phân giác .
Câu 9:Cho định lí: “Nếu một đường thẳng cắt hai đường thẳng song song thì hai góc đồng vị bằng nhau”.Hãy chỉ ra giả thiết và kết luận của định lí trên.
A. Giả thiết: “một đường thẳng cắt hai đường thẳng”; Kết luận: “song song thì hai góc đồng vị bằng nhau”;
B. Giả thiết: “một đường thẳng”; Kết luận: “cắt hai đường thẳng song song thì hai góc đồng vị bằng nhau”;
C. Giả thiết: “một đường thẳng cắt hai đường thẳng song song”; Kết luận: “hai góc đồng vị bằng nhau”;
D. Giả thiết: “một đường thẳng cắt hai đường thẳng song song thì hai góc đồng vị”; Kết luận: “bằng nhau”.
Câu 10:Một hình hộp chữ nhật có chiều dài, chiều cao và diện tích xung quanh lần lượt là 8m; 5m và 100m2. Chiều rộng của hình hộp chữ nhật là:
A. 3 m;
B. 2 m;
C. 4 m;
D. 1 m.
Câu 11: Biểu đồ dưới đây cho biết tỉ số phần trăm học sinh tham gia các môn thể thao của lớp 7A.
Căn cứ vào biểu đồ sau đây, hãy cho biết môn nào có các học sinh lớp 7A tham gia ít nhất?
A. Cầu lông
B. Bơi lội;
C. Bóng đá;
D. Đá cầu.
Câu 12:Cho biểu đồ sau:
Các số trên mỗi đầu mút đoạn thẳng của hình trên thể hiện số khách hàng đến cửa hàng đó. Hỏi vào thời điểm nào có nhiều khách đến cửa hàng nhất?
A. 17h;
B.9h;
C. 11h;
D. 13h.
II. PHẦN TỰ LUẬN (7,0 điểm)
Câu 1 (1đ) Tìm x, biết:
Câu 2 (1đ): Tính diện tích xung quanh và thể tích hình lăng trụ đứng trong hình vẽ sau.
Câu 3 (1đ): Một cái thước thẳng có độ dài 23 inch, hãy tính độ dài của thước này theo đơn vị cm với độ chính xác d = 0,05 (cho biết 1 inch ≈ 2,54 cm).
Câu 4 (1đ): Cho biểu đồ hình quạt tròn dưới đây biểu diễn tỉ số phần trăm số size áo bán ra của một cửa hàng.
Quan sát biểu đồ, hãy cho biết:
a) Lượng size áo nào bán ra được nhiều nhất?
b) Size M bán được nhiều hơn size XL là bao nhiêu phần trăm?
Câu 5 (1đ): Cho hình vẽ sau:
Biết Ma // Pb; MN ⊥ NP; = 30°. Tính .
Câu 6 (1đ):
a) Hãy kể tên các cặp góc kề nhau trong hình vẽ.
b) Tìm số đo của góc , biết và .
Câu 7 (1đ):Bác Nga gửi tiền tiết kiệm có kỳ hạn 12 tháng với số tiền20 000 000 đồng, lĩnh lãi cuối kỳ tại Ngân hàng BIDV, lãi suất 6,4%/năm. Hỏi số tiền cả gốc lẫn lãi bác Nga thu được sau khi gửi 15 tháng là bao nhiêu?
------------- HẾT -------------
Phòng Giáo dục và Đào tạo ...
Đề thi Học kì 1 - Chân trời sáng tạo
năm 2025
Môn: Toán 7
Thời gian làm bài: 90 phút
(không kể thời gian phát đề)
(Đề số 3)
I. PHẦN TRẮC NGHIỆM: (3,0 điểm)
Khoanh vào chữ cái đặt trước câu trả lời đúng.
Câu 1: Trong các số sau, số nào biểu diễn số hữu tỉ?
Câu 2: Giá trị của biểu thức là:
A. 1;
B. 9;
C. 92;
D. 94.
Câu 3: Khẳng định nào sau đây đúng?
A. Số 9 có hai căn bậc hai là ;
B. Số − 9 có hai căn bậc hai là ;
C. Số −9 không có căn bậc hai;
D. Số 9 có một căn bậc hai là .
Câu 4: Làm tròn số 15 907 103 với độ chính xác d = 900 000 được số:
A. 15 900 000;
B. 15 910 000;
C. 16 000 000;
D. 16.
Câu 5: Điền vào chỗ chấm: Nếu đường thẳng c cắt hai đường thẳng a, b và trong các góc tạo thành có một cặp góc so le trong … thì a // b.
A. bù nhau;
B. kề bù;
C. phụ nhau;
D. bằng nhau.
Câu 6: Khẳng định nào sau đây sai?
Câu 7: Hình lăng trụ đứng tam giác ABC.A’B’C’ có độ dài đường cao AA’ = 8,5cm. Đáy là tam giác ABC có độ dài các cạnh AB = 7,5cm; AC = 5,4cm; BC = 8,5 cm. Diện tích toàn phần của lăng trụ đứng (làm tròn đến chữ số hàng đơn vị) là:
A. 181,9 cm2;
B. 181,9 cm3;
C. 182 cm2;
D. 182 cm3.
Câu 8: Cho các hình vẽ dưới đây:
Trong các hình trên, hình nào mô tả không đúng cách vẽ tia phân giác của một góc?
A. Hình 1;
B. Hình 2;
C. Hình 3;
D. Hình 4.
Câu 9: Cho hình vẽ sau, cần thêm điều kiện gì thì AB // CD?
Câu 10:Chọn câu sai.
A. Hình hộp chữ nhật và hình lập phương có 6 mặt đều là hình vuông;
B. Hình hộp chữ nhật và hình lập phương đều có 8 đỉnh, 6 mặt và 12 cạnh;
C. Hình hộp chữ nhật và hình lập phương đều có 4 cạnh bên bằng nhau;
D. Hình hộp chữ nhật và hình lập phương đều có 3 góc vuông ở mỗi đỉnh.
Câu 11:Trong các dữ liệu sau, dữ liệu nào không phải là dữ liệu định lượng?
A. Cân nặng của trẻ sơ sinh (đơn vị tính là gam): 4 000; 2 500; 5 000;…
B. Quốc tịch của các học sinh trong một trường quốc tế: Việt Nam, Lào, Campuchia;...
C. Chiều cao trung bình của một số loại thân cây gỗ (đơn vị tính là mét): 7; 8; 9,3;…
D. Số học sinh đeo kính trong một số lớp học (đơn vị tính là học sinh): 20; 10; 15;…
Câu 12: Số học sinh đăng ký học bổ trợ các Câu lạc bộ Toán, Ngữ văn, Tiếng anh của lớp 7 trường THCS Lê Quý Đôn được biểu diễn qua biểu đồ hình quạt tròn sau:
Tỉsố phần trăm học sinh đăng ký môn Toán là bao nhiêu?
A. 37,5%;
B. 35%;
C. 32,5%;
D. 30%.
II. PHẦN TỰ LUẬN (7,0 điểm)
Câu 1 (2đ) Thực hiện phép tính:
a) (−0,25) . 40 + 3;
Câu 2 (1đ):Tìm x, biết:
Câu 3 (1đ): Cho biểu đồ đoạn thẳng biểu diễn số vụ tai nạn giao thông cả nước tính từ năm 2016 đến năm 2020.
Em hãy chobiết sốvụ tai nạn giao thông của năm 2019 so với năm 2018 giảm bao nhiêu phầntrăm và năm 2020 so với năm2019 giảm bao nhiêu phần trăm, năm nào giảm sâu hơn?
Câu4 (1đ): Áp dụng quy tắc làm tròn số để ước lượng kết quả của mỗi phép tính sau :
a) (–74,17) + (– 75,83) ;
b) (– 20,041) . 49,815.
Câu 5 (1đ): Cho ∆ABC có . Vẽ tia Cx là tia đối của tia CB. Vẽ tia Cy là tia phân giác của .
a) Tính .
b) Chứng minh rằng AB // Cy.
Câu 6 (1đ): Một bình thủy tinh hình lăng trụ đứng ABC.A’B’C’ , đáy là tam giác cân ABC có kích thước như hình vẽ. Mực nước hiện tại trong bình bằng chiều cao của lăng trụ. Bây giờ ta đậy bình lại và lật đứng lên sao cho mặt (BCC’B’) là mặt đáy. Tính chiều cao của mực nước khi đó.
------------- HẾT -------------
Phòng Giáo dục và Đào tạo ...
Đề thi Học kì 1 - Chân trời sáng tạo
năm 2025
Môn: Toán 7
Thời gian làm bài: 90 phút
(không kể thời gian phát đề)
(Đề số 4)
I. PHẦN TRẮC NGHIỆM: (3,0 điểm)
Khoanh vào chữ cái đặt trước câu trả lời đúng.
Câu 1: Chọn khẳng định đúng
Câu 2: Giá trị của x trong phép tính bằng
Câu 3: Cho x = 16. Tính .
A. 4;
B. 5;
C. 6;
D. 7.
Câu 4: Làm tròn số 573 450 với độ chính xác 50, ta được số:
A. 573 550;
B. 574 000;
C. 573 400;
D. 573 500.
Câu 5: Cho hình vẽ bên dưới. Cặp góc đồng vị là cặp góc nào trong các cặp góc sau đây?
Câu 6: Giá trị của đẳng thức là:
A. 16;
B. −16;
C. 4;
D. −4.
Câu 7: Cho một hình lăng trụ đứng có diện tích đáy là S, chiều cao là h. Hỏi công thức tính thể tích hình lăng trụ đứng là gì ?
A. S.h;
B. S.h;
C. 2S.h;
D. S + h.
Câu 8: Hai góc được đánh dấu trong hình vẽ nào dưới đây không là hai góc kề nhau?
;
.
Câu 9: Cho định lí: “Nếu một đường thẳng vuông góc với một trong hai đường thẳng song song thì nó vuông góc với đường thẳng còn lại”.
Giả thiết và kết luận của định lí trên là:
Câu 10: Các kích thước của hình hộp chữ nhật ABCD.A'B'C'D' là DC = 6 cm, CB = 3 cm. Hỏi độ dài của A'B' và AD lần lượt là bao nhiêu ?
A. 3 cm và 6 cm;
B. 6 cm và 9 cm;
C. 6 cm và 3 cm;
D. 9 cm và 6 cm.
Câu 11: An đã thực hiện một thí nghiệm đơn giản để ghi lại số lần mặt ngửa xuất hiện, tỉ lệ phần trăm: Gieo một đồng xu 5 lần và ghi lại kết quả như bảng bên:
|
Mặt |
Số lần |
Tỉ lệ phần trăm |
|
Mặt sấp |
3 |
60% |
|
Mặt ngửa |
2 |
50% |
Theo em, An đã lập bảng trên dữ liệu nào chưa hợp lí?
A.Mặt;
B. Số lần;
C. Tỉ lệ phần trăm;
D. Tất cả các đúng án trên đều đúng.
Câu 12: Biểu đồ biểu diễn thông tin về vấn đề gì?
A. Doanh thu trong 12 tháng của cửa hàng A;
B. Doanh thu trong 90 tháng của cửa hàng A;
C. Doanh thu trong 1 quý của cửa hàng A;
D. Tất cả đáp án trên đều đúng.
II. PHẦN TỰ LUẬN (7,0 điểm)
Câu 1 (1,5đ) Thực hiện phép tính:
Câu 2 (1đ): Trong các phân số sau đây phân số nào viết được dưới dạng số thập phân hữu hạn, phân số nào viết được dưới dạng số thập phân vô hạn tuần hoàn? Giải thích.
.
Câu 3 (1đ):Lòng trong của một chiếc bể chứa nước có dạng hình lăng trụ đứng tứ giác, đáy là hình vuông có cạnh bằng 5 m. chiều cao của bể là 2,5 m. Hỏi bể chứa tối đa được bao nhiêu nước.
Câu 4 (1đ): Tỉ lệ học sinh đăng ký tham gia mua tăm ủng hộ của bốn khối 6; 7; 8; 9 tại trườngTHCS được thống kê qua biểu đồ hình quạt tròn sau:
Quan sát biểu đồ, hãy cho biết:
a) Trong biểu đồ trên, khối nào có tỉ lệ học sinh đăng ký tham gia mua tăm ủng hộ là thấp nhất?
b) Hãy cho biết tỉ số phầntrăm số học sinh đăng ký mua tăm ủng hộ của khối 6 nhiều hơn khối 8 là bao nhiêu?
Câu 5 (1,5đ): Cho hình vẽ sau:
Biết = 100°; = 80°; = 80°. Chứng minh AC // BD.
Câu 7 (1đ): Để pha một cốc cà phê nóng 115 gam, bố của An cần gam cà phê, một ít sữa, gam nước sôi. Biết tỉ lệ hao hụt khi khuấy cà phê là 25%. Hỏi khối lượng sữa trong một cốc cà phê là bao nhiêu?
------------- HẾT ------------
Xem thêm Đề thi Toán 7 Chân trời sáng tạo có đáp án hay khác:
- Đề thi Giữa kì 1 Toán 7 Chân trời sáng tạo có đáp án (10 đề)
- Đề kiểm tra 15 phút Toán 7 Học kì 1 Chân trời sáng tạo (10 đề)
- Đề thi Giữa kì 2 Toán 7 Chân trời sáng tạo có đáp án (10 đề)
- Đề kiểm tra 15 phút Toán 7 Học kì 2 Chân trời sáng tạo (8 đề)
- Đề thi Học kì 2 Toán 7 Chân trời sáng tạo có đáp án (10 đề)
Lời giải bài tập lớp 7 sách mới:
- Giải bài tập Lớp 7 Kết nối tri thức
- Giải bài tập Lớp 7 Chân trời sáng tạo
- Giải bài tập Lớp 7 Cánh diều
Tủ sách VIETJACK shopee lớp 6-8 (2025):
Đã có app VietJack trên điện thoại, giải bài tập SGK, SBT Soạn văn, Văn mẫu, Thi online, Bài giảng....miễn phí. Tải ngay ứng dụng trên Android và iOS.
Theo dõi chúng tôi miễn phí trên mạng xã hội facebook và youtube:Tuyển tập Đề thi các môn học lớp 7 năm 2025 học kì 1, học kì 2 được các Giáo viên hàng đầu biên soạn bám sát chương trình và cấu trúc ra đề thi trắc nghiệm và tự luận mới.
Nếu thấy hay, hãy động viên và chia sẻ nhé! Các bình luận không phù hợp với nội quy bình luận trang web sẽ bị cấm bình luận vĩnh viễn.
- Giáo án lớp 7 (các môn học)
- Giáo án điện tử lớp 7 (các môn học)
- Giáo án Toán 7
- Giáo án Ngữ văn 7
- Giáo án Tiếng Anh 7
- Giáo án Khoa học tự nhiên 7
- Giáo án Lịch Sử 7
- Giáo án Địa Lí 7
- Giáo án GDCD 7
- Giáo án Tin học 7
- Giáo án Công nghệ 7
- Giáo án HĐTN 7
- Giáo án Hoạt động trải nghiệm 7
- Giáo án Vật Lí 7
- Giáo án Sinh học 7
- Giáo án Hóa học 7
- Giáo án Âm nhạc 7
- Đề thi lớp 7 (các môn học)
- Đề thi Ngữ Văn 7 (có đáp án)
- Chuyên đề Tiếng Việt lớp 7
- Đề thi Toán 7 (có đáp án)
- Đề cương ôn tập Toán 7
- Đề thi Tiếng Anh 7 (có đáp án)
- Đề thi Khoa học tự nhiên 7 (có đáp án)
- Đề thi Lịch Sử & Địa Lí 7 (có đáp án)
- Đề thi Địa Lí 7 (có đáp án)
- Đề thi Lịch Sử 7 (có đáp án)
- Đề thi GDCD 7 (có đáp án)
- Đề thi Công nghệ 7 (có đáp án)
- Đề thi Tin học 7 (có đáp án)


Giải bài tập SGK & SBT
Tài liệu giáo viên
Sách
Khóa học
Thi online
Hỏi đáp

