Top 50 Đề thi Toán 7 Học kì 1 năm 2026 (cấu trúc mới, có đáp án)
Để ôn luyện và làm tốt các bài thi Toán 7, dưới đây là Top 50 Đề thi Toán 7 Học kì 1 năm 2026 theo cấu trúc mới sách mới Kết nối tri thức, Cánh diều, Chân trời sáng tạo có đáp án, cực sát đề thi chính thức. Hi vọng bộ đề thi này sẽ giúp bạn ôn tập & đạt điểm cao trong các bài thi Toán 7.
Top 50 Đề thi Toán 7 Học kì 1 năm 2026 (cấu trúc mới, có đáp án)
Xem thử Đề Toán 7 CK1 KNTT Xem thử Đề Toán 7 CK1 CD Xem thử Đề Toán 7 CK1 CTST
Chỉ từ 150k mua trọn bộ Đề thi Toán 7 Cuối kì 1 (mỗi bộ sách) theo cấu trúc mới bản word có lời giải chi tiết:
- B1: gửi phí vào tk:
1133836868- CT TNHH DAU TU VA DV GD VIETJACK - Ngân hàng MB (QR) - B2: Nhắn tin tới Zalo VietJack Official - nhấn vào đây để thông báo và nhận đề thi
Đề thi Toán 7 Cuối Học kì 1 (Giáo viên VietJack)
Đề thi Học kì 1 Toán 7 cấu trúc mới (theo bộ sách)
Đề thi Học kì 1 Toán 7 năm 2025-2026 (trên cả nước)
Đề thi Học kì 1 Toán 7 trường THCS Nguyễn Huệ (Đà Nẵng) năm 2025-2026
Đề thi Học kì 1 Toán 7 trường THCS Chu Văn An (Tp. HCM) năm 2025-2026
Đề thi Học kì 1 Toán 7 trường THCS Thành Công (Hà Nội) năm 2025-2026
Đề thi Học kì 1 Toán 7 trường THCS Thái Thịnh (Hà Nội) năm 2025-2026
Đề thi Học kì 1 Toán 7 trường TH&THCS Lâm Thao (Bắc Ninh) năm 2025-2026
Đề thi Học kì 1 Toán 7 trường THCS Ngô Sĩ Liên (Hà Nội) năm 2025-2026
Đề thi Học kì 1 Toán 7 cụm chuyên môn số 14 Hà Nội năm 2025-2026
Đề thi Học kì 1 Toán 7 trường THCS Nguyễn Trường Tộ (Hà Nội) năm 2025-2026
Đề thi Học kì 1 Toán 7 trường THCS Đông Thạnh (Tp. HCM) năm 2025-2026
Đề thi Học kì 1 Toán 7 trường Marie Curie (Hà Nội) năm 2025-2026
Đề thi Học kì 1 Toán 7 trường M.V. Lômônôxốp (Hà Nội) năm 2025-2026
Đề thi Học kì 1 Toán 7 trường THCS Tây Sơn (Đà Nẵng) năm 2025-2026
Đề thi Học kì 1 Toán 7 trường THCS Lê Lợi (Đà Nẵng) năm 2025-2026
Đề thi Học kì 1 Toán 7 trường THCS Phước Bửu (Tp. HCM) năm 2025-2026
Đề thi Học kì 1 Toán 7 trường THCS Ngọc Lâm (Hà Nội) năm 2025-2026
Đề thi Học kì 1 Toán 7 trường THCS Nghĩa An (Nghệ An) năm 2025-2026
Đề thi Học kì 1 Toán 7 trường THCS Lê Ngọc Hân (Hà Nội) năm 2025-2026
Đề thi Học kì 1 Toán 7 trường THCS Tân Triều (Hà Nội) năm 2025-2026
Đề thi Học kì 1 Toán 7 trường THCS Long Toàn (Tp. HCM) năm 2025-2026
Đề thi Học kì 1 Toán 7 trường THCS Võ Trường Toản (Tp. HCM) năm 2025-2026
Đề thi Học kì 1 Toán 7 trường THPT Lương Thế Vinh (Tp. HCM) năm 2025-2026
Đề thi Học kì 1 Toán 7 trường THCS Phạm Đình Hổ (Tp. HCM) năm 2025-2026
Đề thi Học kì 1 Toán 7 trường THCS Thái Niên (Lào Cai) năm 2025-2026
Đề thi Học kì 1 Toán 7 trường THCS Phúc Đồng (Hà Nội) năm 2025-2026
Đề thi Học kì 1 Toán 7 trường THCS Ngọc Thụy (Hà Nội) năm 2025-2026
Đề thi Học kì 1 Toán 7 trường THCS Trần Quý Cáp (Đà Nẵng) năm 2025-2026
Đề thi Học kì 1 Toán 7 trường THCS Phạm Hữu Lầu (Tp. HCM) năm 2025-2026
Đề thi Học kì 1 Toán 7 trường THCS An Điền (Tp. HCM) năm 2025-2026
Xem thử Đề Toán 7 CK1 KNTT Xem thử Đề Toán 7 CK1 CD Xem thử Đề Toán 7 CK1 CTST
Phòng Giáo dục và Đào tạo ...
Đề thi Học kì 1 - Kết nối tri thức
năm 2025
Môn: Toán 7
Thời gian làm bài: 90 phút
(không kể thời gian phát đề)
(Đề số 1)
PHẦN I. TRẮC NGHIỆM KHÁCH QUAN (3,0 điểm)
Hãy khoanh tròn vào phương án đúng duy nhất trong mỗi câu dưới đây:
Câu 1. Số nào dưới đây là số hữu tỉ âm?
A.
B.
C.
D.
Câu 2. Phân số biểu diễn số hữu tỉ – 3,25 là
A.
B.
C.
D.
Câu 3. Phân số được viết dưới dạng số thập phân vô hạn tuần hoàn là
A. 0,3838…;
B. 0,8333;
C. 0,(3)8;
D. 0,(8)3.
Câu 4. Có bao nhiêu số vô tỉ trong các số
A. 1;
B. 2;
C. 3;
D. 4.
Câu 5. Giá trị của biểu thức A = |– 120| + |20| là
A. –100;
B. 100;
C. –140;
D. 140.
Câu 6. Khẳng định nào dưới đây là đúng?
A. Hai góc đối đỉnh thì phụ nhau;
B. Hai góc đối đỉnh thì bằng nhau;
C. Hai góc đối đỉnh thì bù nhau;
D. Hai góc đối đỉnh thì kề nhau.
Câu 7. Điền vào chỗ trống để phát biểu sau là khẳng định đúng:
“Qua một điểm nằm ngoài một đường thẳng … đường thẳng song song với đường thẳng đó”.
A. không có;
B. có duy nhất một;
C. có hai;
D. có vô số.
Câu 8. Tam giác ABC vuông tại A. Phát biểu nào dưới đây là đúng khi nói về góc B?
A. Góc B là góc tù;
B. Góc B là góc vuông;
C. Góc B là góc nhọn;
D. Góc B là góc bẹt.
Câu 9. Cho tam giác ABC và tam giác IHK có AB = IH, BC = HK. Cần thêm điều kiện gì để DABC = DIHK theo trường hợp cạnh – góc – cạnh?
A. ;
B. ;
C. ;
D. AC = IK.
Câu 10. Cho tam giác ABC có AB = 16 cm, AC = 25 cm. Vẽ đường trung trực của BC cắt AC tại D. Chu vi của tam giác ABD là
A. 41 cm;
B. 48 cm;
D. 51 cm;
D. Cả A, B, C đều sai.
Câu 11. Hãy cho biết dữ liệu về mức độ yêu thích môn Toán của các học sinh ở một trường THCS (từ không yêu thích đến rất yêu thích) thuộc loại dữ liệu nào?
A. Dữ liệu là số;
B. Dữ liệu không là số, không thể sắp thứ tự;
C. Dữ liệu không là số, có thể sắp thứ tự;
D. Không phải là dữ liệu.
Câu 12. Tỉ lệ các loại từ trong Tiếng Anh được biểu diễn trong biểu đồ dưới đây:
(Nguồn: http://lemongrad.com/english-language-statistics/)
Loại từ nào xuất hiện nhiều nhất trong Tiếng Anh?
A. Danh từ;
B. Tính từ;
C. Động từ;
D. Loại từ khác.
PHẦN II. TỰ LUẬN (7,0 điểm)
Bài 1. (1,5 điểm)
1. Tính giá trị của các biểu thức sau (tính hợp lí nếu có thể):
a)
b)
2. Tìm x, biết:
Bài 2. (0,75 điểm) Biết rằng bình phương độ dài đường chéo của một hình chữ nhật bằng tổng bình phương độ dài hai cạnh của nó. Một hình chữ nhật có chiều dài là 9 cm, chiều rộng là 6 cm. Tính độ dài đường chéo của hình chữ nhật (lấy kết quả với độ chính xác 0,005).
Bài 3. (3,0 điểm) Cho tam giác ABC có AB = AC, M là trung điểm của BC.
a) Chứng minh AMB = AMC.
b) Trên cạnh AB lấy điểm D. Từ D kẻ đường vuông góc với AM tại K và kéo dài cắt cạnh AC tại E. Chứng minh tam giác ADE cân.
c) Trên tia đối của tia ED lấy điểm F sao cho EF = MC, gọi H là trung điểm của EC. Chứng minh ba điểm M, H, F thẳng hàng.
Bài 4. (1,0 điểm) Bản tin dịch COVID-19 ngày 12/12/2021 của Bộ Y tế cho biết số ca mắc bệnh ở một số tỉnh/ thành phố như bảng sau:
|
Số ca mắc COVID-19 ở một số tỉnh/ thành phố ngày 11/12/2021 |
||||
|
Tỉnh/thành phố |
Tp. Hồ Chí Minh |
Tây Ninh |
Đồng Tháp |
Cần Thơ |
|
Số ca mắc |
1 216 |
920 |
745 |
669 |
Hãy vẽ biểu đồ đoạn thẳng biểu diễn bảng thống kê trên.
Bài 5. (0,75 điểm) Một công ty phát triển kĩ thuật có một số thông báo rất hấp dẫn: Cần thuê một nhóm kĩ thuật viên hoàn thành một dự án trong vòng 17 ngày, công việc rất khó khăn nhưng tiền công cho dự án rất thú vị. Nhóm kĩ thuật viên được nhận làm dự án sẽ lựa chọn một trong hai phương án trả tiền công như sau:
– Phương án 1: Nhận một lần và nhận tiền công trước với mức tiền 170 triệu đồng;
– Phương án 2: Ngày đầu tiên nhận 3 đồng, ngày sau nhận gấp 3 lần ngày trước đó.
Em hãy giúp nhóm kỹ thuật viên lựa chọn phương án để nhận được nhiều tiền công hơn và giải thích tại sao chọn phương án đó.
Phòng Giáo dục và Đào tạo ...
Đề thi Học kì 1 - Cánh diều
năm 2025
Môn: Toán 7
Thời gian làm bài: 90 phút
(không kể thời gian phát đề)
(Đề số 1)
PHẦN I. TRẮC NGHIỆM KHÁCH QUAN (3,0 điểm)
Hãy khoanh tròn vào phương án đúng duy nhất trong mỗi câu dưới đây:
Câu 1. Chọn câu trả lời đúng:
A. Số hữu tỉ 0 là số hữu tỉ âm;
B. Số hữu tỉ 0 không là số hữu tỉ âm, cũng không là số hữu tỉ dương;
C. Số hữu tỉ 0 là số hữu tỉ dương;
D. Số hữu tỉ 0 vừa là số hữu tỉ âm, vừa là số hữu tỉ dương.
Câu 2. Số đối của số hữu tỉ là
Câu 3. An tính như sau:
Cô giáo chấm bài của An và nói rằng An đã làm sai. Vậy An đã làm sai ở bước nào?
A. Bước (1);
B. Bước (2);
C. Bước (3);
D. Bước (4).
Câu 4. Trong các phát biểu sau, phát biểu nào sai?
A. Nếu a ∈ ℚ thì a không thể là số vô tỉ;
B. Nếu a ∈ ℤ thì a không thể là số vô tỉ;
C. Nếu a ∈ ℕ thì a không thể là số vô tỉ;
D. Nếu a ∈ ℝ thì a không thể là số vô tỉ.
Câu 5. Chọn khẳng định đúng:
Câu 6. Viết phân số dưới dạng số thập phân vô hạn tuần hoàn ta được:
A. 1,(06);
B. 1,(07);
C. 1,0(6);
D. 1,067.
Câu 7. Điểm nào trên trục số biểu diễn giá trị x thoả mãn |x| = ?
A. Điểm A;
B. Điểm B;
C. Điểm O;
D. Điểm A và điểm B.
Câu 8. Cho đẳng thức ad = bc (a, b, c, d ≠ 0). Tỉ lệ thức nào sau đây là sai?
Câu 9. Hai đại lượng nào sau đây không phải hai đại lượng tỉ lệ nghịch?
A. Vận tốc v và thời gian t khi đi trên cùng quãng đường 12 km;
B. Diện tích S và bán kính R của hình tròn;
C. Năng suất lao động N và thời gian t hoàn thành một lượng công việc a;
D. Một đội dùng x máy cày cùng năng suất để cày xong một cánh đồng hết y giờ.
Câu 10. Cho hai tấm bìa sau:
A. Chỉ tấm bìa ở Hình 1 ghép được hình hộp chữ nhật;
B. Chỉ tấm bìa ở Hình 2 ghép được hình hộp chữ nhật;
C. Cả hai tấm bìa ở Hình 1 và Hình 2 đều ghép được hình hộp chữ nhật;
D. Cả hai tấm bìa ở Hình 1 và Hình 2 đều không ghép được hình hộp chữ nhật.
Câu 11. Cho hai đường thẳng xx’ và yy’ cắt nhau tại O tạo thành góc xOy có số đo bằng 80°. Gọi Ot là tia phân giác của góc xOy, Ot’ là tia đối của tia Ot (hình vẽ).
Số đo của góc x’Ot’ bằng
A. 20°;
B. 40°;
C. 80°;
D. 120°.
Câu 12. Qua một điểm nằm ngoài đường thẳng d có:
A. hai đường thẳng vuông góc với đường thẳng d;
B. duy nhất một đường thẳng vuông góc với đường thẳng d;
C. ít nhất một đường thẳng vuông góc với đường thẳng d;
D. vô số đường thẳng vuông góc với đường thẳng d.
PHẦN II. TỰ LUẬN (7,0 điểm)
Bài 1. (1,5 điểm) Tính giá trị của các biểu thức sau (tính hợp lí nếu có thể):
Bài 2. (1,0 điểm) Tìm x, biết:
Bài 3. (1,5 điểm) Bạn Nam đi mua vở và nhẩm tính với số tiền hiện có thì chỉ mua được 10 quyển vở loại I hoặc 12 quyển vở loại II hoặc 15 quyển vở loại III. Biết rằng tổng giá trị tiền 1 quyển vở loại I và 2 quyển vở loại III nhiều hơn giá tiền 2 quyển vở loại II là 4 000 đồng. Tính giá tiền của mỗi quyển vở loại III.
Bài 4. (1,0 điểm) Một khối gỗ hình lăng trụ đứng tứ giác có đáy là hình chữ nhật có kích thước là 5 dm, 6 dm và chiều cao 7 dm. Người ta khoét từ đáy một cái lỗ hình lăng trụ đứng tam giác, đáy là một tam giác vuông có hai cạnh góc vuông là 3 dm, 4 dm và cạnh huyền là 5 dm (hình vẽ).
Người ta cần sơn toàn bộ các mặt của khối gỗ, tính thể tích khối gỗ và diện tích bề mặt cần sơn.
Bài 5. (1,0 điểm) Cho hình vẽ dưới đây.
a) Vẽ lại hình và viết giả thiết kết luận.
b) Chứng minh AM // CN.
c) Tính số đo góc ABC.
Bài 6. (1,0 điểm)
a) Một cửa hàng thời trang có chương trình giảm giá 20% cho tất cả các sản phẩm. Đặc biệt nếu khách hàng nào có Thẻ thành viên của cửa hàng thì được giảm giá thêm 10% trên giá đã giảm. Chị Phương đến cửa hàng mua một chiếc áo dạ, khi thanh toán hóa đơn, chị Phương chỉ cần trả 2 160 000 đồng do có thẻ thành viên. Hỏi giá niêm yết của chiếc áo là bao nhiêu?
b) Tìm giá trị lớn nhất của biểu thức
Phòng Giáo dục và Đào tạo ...
Đề thi Học kì 1 - Chân trời sáng tạo
năm 2025
Môn: Toán 7
Thời gian làm bài: 90 phút
(không kể thời gian phát đề)
(Đề số 1)
I. PHẦN TRẮC NGHIỆM: (3,0 điểm)
Khoanh vào chữ cái đặt trước câu trả lời đúng.
Câu 1: Trong các số sau, số nào biểu diễn số hữu tỉ?
Câu 2: Giá trị của biểu thức là:
A. 1;
B. 9;
C. 92;
D. 94.
Câu 3: Khẳng định nào sau đây đúng?
A. Số 9 có hai căn bậc hai là ;
B. Số − 9 có hai căn bậc hai là ;
C. Số −9 không có căn bậc hai;
D. Số 9 có một căn bậc hai là .
Câu 4: Làm tròn số 15 907 103 với độ chính xác d = 900 000 được số:
A. 15 900 000;
B. 15 910 000;
C. 16 000 000;
D. 16.
Câu 5: Điền vào chỗ chấm: Nếu đường thẳng c cắt hai đường thẳng a, b và trong các góc tạo thành có một cặp góc so le trong … thì a // b.
A. bù nhau;
B. kề bù;
C. phụ nhau;
D. bằng nhau.
Câu 6: Khẳng định nào sau đây sai?
Câu 7: Hình lăng trụ đứng tam giác ABC.A’B’C’ có độ dài đường cao AA’ = 8,5cm. Đáy là tam giác ABC có độ dài các cạnh AB = 7,5cm; AC = 5,4cm; BC = 8,5 cm. Diện tích toàn phần của lăng trụ đứng (làm tròn đến chữ số hàng đơn vị) là:
A. 181,9 cm2;
B. 181,9 cm3;
C. 182 cm2;
D. 182 cm3.
Câu 8: Cho các hình vẽ dưới đây:
Trong các hình trên, hình nào mô tả không đúng cách vẽ tia phân giác của một góc?
A. Hình 1;
B. Hình 2;
C. Hình 3;
D. Hình 4.
Câu 9: Cho hình vẽ sau, cần thêm điều kiện gì thì AB // CD?
Câu 10:Chọn câu sai.
A. Hình hộp chữ nhật và hình lập phương có 6 mặt đều là hình vuông;
B. Hình hộp chữ nhật và hình lập phương đều có 8 đỉnh, 6 mặt và 12 cạnh;
C. Hình hộp chữ nhật và hình lập phương đều có 4 cạnh bên bằng nhau;
D. Hình hộp chữ nhật và hình lập phương đều có 3 góc vuông ở mỗi đỉnh.
Câu 11:Trong các dữ liệu sau, dữ liệu nào không phải là dữ liệu định lượng?
A. Cân nặng của trẻ sơ sinh (đơn vị tính là gam): 4 000; 2 500; 5 000;…
B. Quốc tịch của các học sinh trong một trường quốc tế: Việt Nam, Lào, Campuchia;...
C. Chiều cao trung bình của một số loại thân cây gỗ (đơn vị tính là mét): 7; 8; 9,3;…
D. Số học sinh đeo kính trong một số lớp học (đơn vị tính là học sinh): 20; 10; 15;…
Câu 12: Số học sinh đăng ký học bổ trợ các Câu lạc bộ Toán, Ngữ văn, Tiếng anh của lớp 7 trường THCS Lê Quý Đôn được biểu diễn qua biểu đồ hình quạt tròn sau:
Tỉsố phần trăm học sinh đăng ký môn Toán là bao nhiêu?
A. 37,5%;
B. 35%;
C. 32,5%;
D. 30%.
II. PHẦN TỰ LUẬN (7,0 điểm)
Câu 1 (2đ) Thực hiện phép tính:
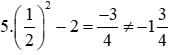
a) (−0,25) . 40 + 3;
Câu 2 (1đ):Tìm x, biết:
Câu 3 (1đ): Cho biểu đồ đoạn thẳng biểu diễn số vụ tai nạn giao thông cả nước tính từ năm 2016 đến năm 2020.
Em hãy chobiết sốvụ tai nạn giao thông của năm 2019 so với năm 2018 giảm bao nhiêu phầntrăm và năm 2020 so với năm2019 giảm bao nhiêu phần trăm, năm nào giảm sâu hơn?
Câu4 (1đ): Áp dụng quy tắc làm tròn số để ước lượng kết quả của mỗi phép tính sau :
a) (–74,17) + (– 75,83) ;
b) (– 20,041) . 49,815.
Câu 5 (1đ): Cho ∆ABC có . Vẽ tia Cx là tia đối của tia CB. Vẽ tia Cy là tia phân giác của .
a) Tính .
b) Chứng minh rằng AB // Cy.
Câu 6 (1đ): Một bình thủy tinh hình lăng trụ đứng ABC.A’B’C’ , đáy là tam giác cân ABC có kích thước như hình vẽ. Mực nước hiện tại trong bình bằng chiều cao của lăng trụ. Bây giờ ta đậy bình lại và lật đứng lên sao cho mặt (BCC’B’) là mặt đáy. Tính chiều cao của mực nước khi đó.
------------- HẾT -------------
Lưu trữ: Đề thi Toán 7 Học kì 1 (sách cũ)
Phòng Giáo dục và Đào tạo .....
Đề thi Học kì 1 - năm 2025
Bài thi môn: Toán lớp 7
Thời gian làm bài: 90 phút
(Đề 1)
I. TRẮC NGHIỆM (3,0 điểm)
Hãy chọn phương án trả lời đúng.
Câu 1: Kết quả phép tính
là:
A. 1
B. 3
C. -5
D. 5
Câu 2: Cho hàm số
, khi đó hệ số tỉ lệ k là:
A. 1
B. 3
C.
D. 4
Câu 3: Cho hình vẽ, ta có:
Câu 4: Cho hình vẽ, ta có:
Câu 5. Kết quả của phép tính
là:
Câu 6. Cho hàm số y = |2x - 1|, giá trị của hàm số tại x = -1 là:
A. 1
B. -3
C. 3
D. -1
II. TỰ LUẬN (7,0 điểm)
Câu 1: (1,0 điểm) Thực hiện các phép tính sau:
Câu 2: (1,0 điểm)
Ba đội máy san đất cùng làm một khối lượng công việc như nhau. Đội thứ nhất hoàn thành công việc trong 6 ngày, đội thứ hai trong 10 ngày và đội thứ ba trong 8 ngày. Hỏi mỗi đội có bao nhiêu máy (các máy có cùng năng suất), biết đội thứ hai có ít hơn đội thứ ba 3 máy.
Câu 3: (1,0 điểm)
Cho hàm số y = f(x) = ax (a ≠ 0)
a) Tìm a biết đồ thị hàm số đi qua điểm A(1; 3)
b) Vẽ đồ thị ứng với giá trị a vừa tìm được.
Câu 4: (1,5 điểm)
Cho hình vẽ:
a) Vì sao m // n ?
b) Tính số đo góc BCD.
Câu 5: (2 điểm)
Cho tam giác ABC vuông ở A. Biết
. Lấy điểm M là trung điểm AC. Trên tia đối của tia MB lấy điểm E sao cho MB = ME.
a) Tính số đo góc ACB.
b) Chứng minh ∆AMB = ∆CME.
Câu 6: (0,5 điểm)
Cho . Tìm x ∈ Z để B có giá trị nguyên.
Đáp án và Hướng dẫn làm bài
I. TRẮC NGHIỆM (3 điểm)
Mỗi câu đúng được 0,5 điểm
Câu 1:
Chọn đáp án A
Câu 2:
Chọn đáp án C
Câu 3:
Theo hình vẽ ta có:
(các góc đối đỉnh)
Chọn đáp án B
Câu 4:
Xét tam giác ABC và tam giác DGE có:
Do đó: ΔABC = ΔDEG (c.g.c)
Chọn đáp án D
Câu 5:
Chọn đáp án A
Câu 6:
Thay x = -1 vào hàm số ta được:
y = |2.(-1) - 1| = |-3| = 3
Chọn đáp án C
II. TỰ LUẬN
Câu 1.
Câu 2.
Gọi số máy của 3 độ lần lượt là x; y; z ( x; y; z ∈ N*)
Theo đề ra ta có: z - y = 3 (0,25 điểm)
Vì số máy và thời gian làm việc là hai đại lượng tỉ lệ nghịch nên:
Theo tính chất của dãy tỉ số bằng nhau ta có:
Vậy số máy của 3 đội lần lượt là: 20; 12; 15 máy. (0,25 điểm)
Câu 3.
a) Vì đồ thị hàm số y = ax đi qua điểm A(1; 3) nên:
3 = a.1 ⇒ a = 3 : 1 = 3
Vậy hàm số là y = 3x với hệ số a = 3. (0,5 điểm)
b) Đồ thị hàm số y = 3x đi qua A(1; 3) và O(0; 0).
Vẽ đường thẳng đi qua A(1; 3) và O(0; 0) ta được đồ thị của hàm số y = 3x.
Vậy đồ thị hàm số y = 3x là đường thẳng OA. (0,5 điểm)

Câu 4.
a) Theo hình vẽ ta có: m ⊥ AB và n ⊥ AB
Do đó: m // n (0,75 điểm)
b) Vì m // n
Câu 5.
(0,25 điểm)
Chứng minh
a) Áp dụng định lý tổng 3 góc trong tam giác ABC ta có:
b) Xét ∆AMB và ∆CME có:
AM = CM (M là trung điểm của AC)
(2 góc đối đỉnh)
MB = ME (gt)
Do đó: ∆AMB = ∆CME (c.g.c) (1 điểm)
Câu 6.
Để B có nghĩa thì x ≥ 0 và x ≠ 1
B =
giá trị nguyên khi
là ước của 5.
⇒
∈ {-5;-1;1;5} (0,25 điểm)
Vậy x ∈ {0; 4; 36} thì B đạt giá trị nguyên. (0,25 điểm)
Phòng Giáo dục và Đào tạo .....
Đề thi Học kì 1 - năm 2025
Bài thi môn: Toán lớp 7
Thời gian làm bài: 90 phút
(Đề 2)
I. TRẮC NGHIỆM (2 điểm):
Hãy chọn câu trả lời đúng nhất.
Câu 1: Trong các phân số sau, phân số nào biểu diễn số hữu tỷ
?
Câu 2: Số là kết quả của phép tính:
Câu 3: Cho x và y là hai đại lượng tỉ lệ thuận và x = 6 thì y = 4. Hệ số tỉ lệ k của y đối với x là:
Câu 4: Căn bậc hai của 9 bằng:
A. 3
B. -3
C. 3 và -3
D. 81
Câu 5: Cách viết nào dưới đây là đúng?
A. |-0,55| = -0,55
B. |-0,55| = 0,55
C. -|-0,55| = 0,55
D. -|0,55| = 0,55
Câu 6: Kết quả của phép tính (-5)2.(-5)3 là:
Câu 7: Tam giác ABC có . Góc B bằng:
Câu 8: Hai đường thẳng song song là hai đường thẳng:
A. Có ít nhất hai điểm chung.
B. Không có điểm chung.
C. Không vuông góc với nhau.
D. Chỉ có một điểm chung.

II. TỰ LUẬN (8 điểm)
Bài 1 (1,5 điểm): Thực hiện phép tính.
Bài 2 (1,5 điểm): Cho hàm số y = f(x) = (m + 1)x
Tìm m để f(2) = 4. Vẽ đồ thị hàm số với m tìm được.
Bài 3 (1,5 điểm): Tìm x, y, z biết:
Bài 4 (3 điểm): Cho tam giác ABC. Gọi M là trung điểm của BC. Trên tia đối của MA lấy điểm K sao cho MK = MA.
a) Chứng minh ΔAMC = ΔKMB và CK song song AB.
b) Biết
Bài 5(0,5đ): Cho tam giác ABC. Tia phân giác của góc B cắt AC tại M. Tia phân giác của góc C cắt AB tại N. Giả sử BN + CM = BC. Hãy tính số đó góc A.
Đáp án và Hướng dẫn làm bài
I. PHẦN TRẮC NGHIỆM (2,0 điểm) Mỗi câu đúng được 0,25 điểm
Câu 1.
Chọn đáp án C
Câu 2.
Chọn đáp án A
Câu 3.
Vì x và y là hai đại lượng tỉ lệ thuận nên ta có y = kx
Với x = 6 thì y = 4 nên thay vào ta được: 4 = k.6
Chọn đáp án D
Câu 4.
9 có hai căn bậc hai là
Chọn đáp án C
Câu 5.
Ta có: |-0,55| = 0,55 ; -|-0,55| = -0,55; -|0,55| = -0,55
Chọn đáp án B
Câu 6.
Ta có: (-5)2.(-5)3 = (-5)2+3 = (-5)5
Chọn đáp án A
Câu 7.
Theo định lý tổng ba góc trong tam giác ABC ta có:
Chọn đáp án D
Câu 8.
Hai đường thẳng song song là hai đường thẳng không có điểm chung (định nghĩa hai đường thẳng song song).
Chọn đáp án B
II. PHẦN TỰ LUẬN (8 điểm)
Bài 1.
Bài 2.
a) Ta có f(2) = 4
Thay x = 2 vào hàm số ta được: (m + 1).2 = 4
⇒ m + 1 = 2 ⇒ m = 1
Vậy m = 1 thì f(2) = 4. (0,75 điểm)
b) Với m =1 thì ta có hàm số: y = f(x) = 2x
Lấy x = 1 thì y = 2.1 = 2 nên điểm A(1; 2) thuộc đồ thị hàm số y = 2x
Vậy đồ thị hàm số y = 2x là đường thẳng OA. (0,75 điểm)
Bài 3.
Áp dụng tính chất dãy tỉ số bằng nhau ta có:
Vậy x =10; y = 6; z = 8 (0,25 điểm)
Bài 4.
(0,5 điểm)
Chứng minh
a) Xét tam giác AMC và KMB có:
AM = MK (gt)
MB = MC (M là trung điểm của BC)
(hai góc đối đỉnh)
Do đó: ΔAMC = ΔKMB(c.g.c) (0,75 điểm)
Chứng minh tương tự ta cũng có: ΔAMB = ΔKMC (c.g.c) (0,5 điểm)
Suy ra:
Mà hai góc này ở vị trí so le trong
Nên CK // AB (0,5 điểm)
b) Chứng minh được ΔABC = ΔKCB (c.c.c) (0,25 điểm)
Xét ΔKBC có:
(hai góc đối đỉnh)
Bài 5.
Gọi BM giao CN là O. Trên cạnh BC lấy điểm E sao cho BN = BE mà BN + CM = BC (gt) ⇒ CE = CM.
Ta chứng minh ΔBNO = ΔBEO (c.g.c)
. Chứng minh tương tự
. Mà
(hai góc đối đỉnh)
(0,25 điểm)
(hai góc đối đỉnh)
Phòng Giáo dục và Đào tạo .....
Đề thi Học kì 1 - năm 2025
Bài thi môn: Toán lớp 7
Thời gian làm bài: 90 phút
(Đề 3)
Bài 1.(1,0 điểm). Hãy viết chữ cái đứng trước phương án trả lời đúng trong các câu sau vào bài làm.
1. Nếu
thì x bằng :
A. 6
B. -36
C. 36
D. 12
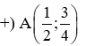
2. Cho hàm số y = 5x2 – 2. Điểm nào sau đây thuộc đồ thị hàm số trên:
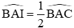
3. Cho ΔABC có . Tia phân giác của
cắt BC tại D.
Số đo là:
4. Cho ΔABC = ΔMNP. Biết AB = 10 cm, MP = 8 cm, NP = 7 cm. Chu vi của là:
A. 30 cm
B. 25 cm
C. 15 cm
D. 12,5 cm
Bài 2. (1,0 điểm). Xác định tính Đúng/Sai của các khẳng định sau:
1. Nếu x tỉ lệ thuận với y theo hệ số tỉ lệ 2 thì y cũng tỉ lệ thuận với x theo hệ số tỉ lệ là 2.
2. Trên mặt phẳng tọa độ, tất cả các điểm có hoành độ bằng 0 đều nằm trên trục tung.
3. Nếu hai cạnh và một góc xen giữa của tam giác này bằng hai cạnh và một góc xen giữa của tam giác kia thì hai tam giác đó bằng nhau.
4. Mỗi góc ngoài của tam giác bằng tổng 2 góc trong không kề với nó của tam giác đó.
Bài 3. (2,0 điểm).
Câu 1: Thực hiện các phép tính :
Câu 2: Tìm x biết :
Bài 4. (2,0 điểm).
Câu 1: Để làm một công việc trong 8 giờ cần 35 công nhân. Nếu có 40 công nhân cùng làm thì công việc đó được hoàn thành trong mấy giờ ? (Năng suất các công nhân là như nhau) .
Câu 2: Cho hàm số y = a.x (a ≠ 0). Biết rằng đồ thị của hàm số đó đi qua điểm A(-4; 1).
a. Hãy xác định hệ số a;
b. Các điểm M(4 ;-1) và N(2;3) có thuộc đồ thị của hàm số trên không ? Vì sao?
Bài 5.(3,0 điểm). Cho có AB = AC; D là điểm bất kì trên cạnh AB. Tia phân giác của góc A cắt cạnh DC ở M, cắt cạnh BC ở I.
a) Chứng minh CM = BM.
b) Chứng minh AI là đường trung trực của đoạn thẳng BC.
c) Từ D kẻ DH ⊥ BC (H ∈ BC). Chứng minh .
Bài 6. (1,0 điểm) Tìm giá trị nhỏ nhất của biểu thức: A = 3.|1 - 2x| - 5
Đáp án và Hướng dẫn làm bài
Bài 1: (1,0 điểm). Mỗi câu đúng cho 0,25 điểm.
Chọn đáp án C
2. Thay lần lượt tọa độ của các điểm ở đáp án vào hàm số:
Ta có:
nên điểm A không thuộc đồ thị hàm số y = 5x2 - 2
nên điểm B không thuộc đồ thị hàm số y = 5x2 - 2
+) C(2; -18)
5.22 - 2 = 18 ≠ -18 nên điểm C không thuộc đồ thị hàm số y = 5x2 - 2
+) D(-1; 3)
5.(-1)2 - 2 = 3 nên điểm D thuộc đồ thị hàm số y = 5x2 - 2.
Chọn đáp án D
3.
Theo định lý tổng ba góc trong tam giác ABC ta có:
Ta có:
(AD là tia phân giác trong góc BAC)
Lại có góc ADC là góc ngoài tại đỉnh D của tam giác ABD nên theo tính chất góc ngoài của tam giác ta có:
Chọn đáp án B
4.
Ta có: ΔABC = ΔMNP
Suy ra: AB = MN = 10 cm; BC = NP = 7 cm; AC = MP = 8 cm.
Chu vi tam giác ABC là: AB + BC + AC = 10 + 7 + 8 = 25 cm.
Chọn đáp án B
Bài 2: (1,0 điểm). Mỗi câu đúng cho 0,25 điểm.
1. Nếu x tỉ lệ thuận với y theo hệ số tỉ lệ 2 thì y cũng tỉ lệ thuận với x theo hệ số tỉ lệ là .
2. Điểm O(0; 0) có hoành độ là 0 vừa thuộc trục hoành, và vừa thuộc trục tung.
3. Đúng theo trường hợp bằng nhau thứ hai của tam giác.
4. Đúng theo định lý góc ngoài của tam giác.
Bài 3. (2,0 điểm).
Câu 1. (1,0 điểm).
Câu 2. (1,0 điểm).
Bài 4. (2,0 điểm).
Câu 1 (1,0 điểm)
Gọi thời gian để 40 công nhân hoàn thành công việc đó là (giờ) với 0 < x < 8 (0,25 điểm)
Vì cùng làm một công việc và năng suất các công nhân là như nhau nên số công nhân tỉ lệ nghịch với thời gian hoàn thành công việc, do đó ta có:
Vậy 40 công nhân thì hoàn thành công việc đó trong 7 giờ. (0,25 điểm)
Câu 2( 1,0 điểm)
a) Vì đồ thị của hàm số y = a.x (a ≠ 0) đi qua điểm A(-4 ;1) nên ta có:
Vậy với thì đồ thị của hàm số y = a.x (a ≠ 0) đi qua điểm A(-4; 1). (0,25 điểm)
Bài 5. (3,0 điểm).
Vẽ hình đúng, ghi GT, KL đúng (0,5 điểm)
a) Xét ΔABM và ΔACM có:
AB = AC (gt) (0,25 điểm)
(AI là tia phân giác của góc BAC) (0,25 điểm)
AM cạnh chung (0,25 điểm)
Do đó ΔABM = ΔACM (c.g.c).
Suy ra BM = CM (hai cạnh tương ứng) (0,25 điểm)
b) Xét ΔABI và ΔACI có:
AB = AC (gt)
(AI là tia phân giác của góc BAC)
AI là cạnh chung.
Do đó ΔABI = ΔACI (c.g.c).(0,25 điểm)
Suy ra BI = CI (hai cạnh tương ứng). (1)
và (hai góc tương ứng). (0,25 điểm)
+ Mà (Vì là hai góc kề bù).
Nên suy ra AI ⊥ BC tại I. (2) (0,25 điểm)
Từ (1) và (2) suy ra AI là đường trung trực của đoạn thẳng BC. (0, 25 điểm)
c)
+ Ta có: DH ⊥ BC (GT).
AI ⊥ BC(chứng minh trên)
Suy ra DH // AI (quan hệ giữa tính vuông góc với tính song song )
( vì là hai góc đồng vị ). (3) (0,25 điểm)
+ Ta lại có:
(vì AI là tia phân giác của
) .(4)
Từ (3) và (4) suy ra (0,25 điểm)
Bài 6: ( 1,0 điểm ).
Vậy GTNN của biểu thức A là -5 đạt được khi . (0,25 điểm)
Phòng Giáo dục và Đào tạo .....
Đề thi Học kì 1 - năm 2025
Bài thi môn: Toán lớp 7
Thời gian làm bài: 90 phút
(Đề 4)
A. TRẮC NGHIỆM: (3 điểm)
Hãy chọn một chữ cái đứng trước câu trả lời mà em cho là đúng ghi vào giấy làm bài :
Câu 1: Tổng bằng:
Câu 2: Biết: thì x bằng:
Câu 3: Từ tỉ lệ thức thì giá trị x bằng:
A. 1
B. 2
C. 3
D. 4
Câu 4: Cho thì x bằng:
Câu 5: Nếu một đường thẳng c cắt hai đường thẳng a, b và trong các góc tạo thành có một cặp góc...... thì a//b. Cụm từ trong chỗ trống (...) là:
A. so le trong bằng nhau
B. đồng vị
C. trong cùng phía bằng nhau
D. Cả A, B đều đúng
Câu 6: Cho a ⊥ b và b ⊥ c thì:
A. a//b
B. a//c
C. b//c
D. a//b//c
Câu 7: Cho tam giác ABC có . Số đo góc ngoài tại đỉnh C bằng:
A. 600
B. 1200
C. 700
D. 500
Câu 8: Cho ΔABC = ΔMNP suy ra
A. AB = MP
B. CB = NP
C. AC = NM
D. Cả B và C đúng.
Câu 9: Đại lượng y tỉ lệ thuận với đại lượng x theo hệ số tỉ lệ –2 thì y và x liên hệ với nhau theo công thức:
Câu 10: Cho y tỉ lệ nghịch với x theo hệ số tỉ lệ là a, khi x = 3 thì y = 6. Vậy hệ số tỉ lệ a bằng:
A. 2
B. 0,5
C. 18
D. 3
Câu 11: Cho hàm số y = f(x) = 3x + 1.Thế thì f(-1) bằng:
A. 2
B. – 2
C. 4
D. – 4
Câu 12: Trong các điểm sau, điểm nào thuộc đồ thị hàm số y = 2x.
A. (- 1; - 2)
B. (- 1; 2)
C. (- 2: - 1)
D. ( - 2; 1)
B. TỰ LUẬN: (7 điểm)
Bài 1: (1,5 điểm)
Bài 2: (1,5 điểm) Tính diện tích của một hình chữ nhật biết tỉ số giữa 2 kích thước của chúng là 0,8 và chu vi của hình chữ nhật đó là 36m.
Bài 3: (1,0 điểm) Vẽ đồ thị hàm số
Bài 4: (2,5 điểm) Cho tam giác ABC có AB = AC và tia phân giác góc A cắt BC ở H.
a) Chứng minh ΔABH = ΔACH
b) Chứng minh AH ⊥ BC
c) Vẽ HD ⊥ AB (D ∈ AB) và HE ⊥ AC (E ∈ AC). Chứng minh: DE // BC
Bài 5: (0,5 điểm) Tìm x biết: |2x - 1| + |1 - 2x| = 8
Đáp án và Hướng dẫn làm bài
A. TRẮC NGHIỆM: (3 điểm)
Mỗi câu đúng ghi (0,25 điểm) x 12 câu = 3 điểm
Câu 1.
Chọn đáp án D
Câu 2.
Chọn đáp án D
Câu 3.
Chọn đáp án A
Câu 4.
Chọn đáp án C
Câu 5.
Theo dấu hiệu nhận biết hai đường thẳng song song: "Nếu một đường thẳng c cắt hai đường thẳng a, b và trong các góc tạo thành có một cặp góc so le trong bằng nhau (hoặc cặp góc đồng vị bằng nhau, hoặc cặp góc trong cùng phía bù nhau) thì a//b".
Chọn đáp án A
Câu 6.
Ta có: a ⊥ b; b ⊥ c thì a // c (quan hệ giữa tính vuông góc và tính song song)
Chọn đáp án B
Câu 7.
Theo định lý góc ngoài của tam giác, số đo góc ngoài tại đỉnh C là:
Chọn đáp án B
Câu 8.
Ta có: ΔABC = ΔMNP
Suy ra: AB = MN; AC = MP; BC = NP (các cạnh tương ứng)
Chọn đáp án B
Câu 9.
Đại lượng y tỉ lệ thuận với đại lượng x theo hệ số tỉ lệ – 2 thì y và x liên hệ với nhau theo công thức: y = -2x
Chọn đáp án D
Câu 10.
Vì y tỉ lệ nghịch với x theo hệ số tỉ lệ là a nên y =
Khi x = 3 thì y = 6 nên 6 = ⇒ a = 6.3 = 18
Chọn đáp án C
Câu 11.
f(-1) = 3.(-1) + 1 = -3 + 1 = -2
Chọn đáp án B
Câu 12.
+) A(-1; -2)
2. (-1) = -2 nên điểm A thuộc đồ thị hàm số y = 2x.
+) B(-1; 2)
2.(-1) = -2 ≠ 2 nên điểm B không thuộc đồ thị hàm số y = 2x
+) C(-2; -1)
2.(-2) = -4 ≠ -1 nên điểm C không thuộc đồ thị hàm số y = 2x
+) D(-2; 1)
2.(-2) = - 4 ≠ 1 nên điểm D không thuộc đồ thị hàm số y = 2x
Chọn đáp án A
B. TỰ LUẬN: (7 điểm)
Bài 1.
Bài 2.
Gọi độ dài chiều rộng và chiều dài của hình chữ nhật lần lượt là a, b (m) (a, b > 0) (0,25 điểm)
Theo đề bài ta có: và (a + b).2 = 36 (0,25 điểm)
Suy ra: và a + b = 18 (0,25 điểm)
Áp dụng tính chất dãy tỉ số bằng nhau, ta có:
(0,25 điểm)
Suy ra: a = 8; b = 10
Độ dài chiều rộng và chiều dài của hình chữ nhật lần lượt là 8m và 10m (0,25 điểm)
Vậy diện tích của hình chữ nhật là: 8. 10 = 80m2 (0,25 điểm)
Bài 3.
Cho x = 3 suy ra y = = - 2, ta có A(3; -2) (0,25 điểm)
Học sinh đánh dấu điểm A và vẽ đồ thị đúng trên mặt phẳng tọa độ Oxy
(0,5 điểm)
Vậy đồ thị hàm số đã cho là đường thẳng OA. (0,25 điểm)
Bài 4.
Vẽ đúng hình, ghi GT, KL đúng được 0,5 điểm
a) Xét ΔABH và ΔACH có:
AH cạnh chung
(AH là tia phân giác của góc BAC)
AB = AC (gt)
Suy ra: ΔABH = ΔACH (c – g – c) (0,75 điểm)
b)
(AH là tia phân giác của góc BAC)
(0,75 điểm)
c) Gọi I là giao điểm của AH và DE
Xét hai tam giác vuông: ΔADH và ΔAEH có:
AH cạnh chung
(AH là tia phân giác của góc BAC)
Suy ra: ΔADH = ΔAEH (ch – gn) (0,25 điểm)
Xét ΔADI và ΔAEI có:
AI: cạnh chung
(AH là tia phân giác của góc BAC)
AD = AE (ΔADH = ΔAEH)
Suy ra: ΔADI = ΔAEI (c – g – c)
Bài 5.
Ta có: |2x - 1| + |1 - 2x| = 8 (1)
Vì 2x – 1 và 1 – 2x là hai số đối nhau, nên: |2x - 1| = |1 - 2x| (2)
Từ (1) và (2) suy ra: 2|2x - 1| = 8 hay |2x - 1| = 4 (0,25 điểm)
Suy ra: 2x – 1 = 4 hoặc 2x – 1 = - 4
Xem thử Đề Toán 7 CK1 KNTT Xem thử Đề Toán 7 CK1 CD Xem thử Đề Toán 7 CK1 CTST
Xem thêm đề thi Toán 7 sách mới có đáp án hay khác:
Top 30 Đề thi Toán 7 Giữa kì 1 năm 2026 (cấu trúc mới, có đáp án)
Top 30 Đề thi Toán 7 Giữa kì 2 năm 2026 (cấu trúc mới, có đáp án)
Top 30 Đề thi Toán 7 Học kì 2 năm 2026 (cấu trúc mới, có đáp án)
Xem thêm đề thi lớp 7 các môn học có đáp án hay khác:
Tài liệu giáo án lớp 7 các môn học chuẩn khác:
Lời giải bài tập lớp 7 sách mới:
- Giải bài tập Lớp 7 Kết nối tri thức
- Giải bài tập Lớp 7 Chân trời sáng tạo
- Giải bài tập Lớp 7 Cánh diều
Tủ sách VIETJACK shopee lớp 6-8 (2025):
Đã có app VietJack trên điện thoại, giải bài tập SGK, SBT Soạn văn, Văn mẫu, Thi online, Bài giảng....miễn phí. Tải ngay ứng dụng trên Android và iOS.
Theo dõi chúng tôi miễn phí trên mạng xã hội facebook và youtube:Tuyển tập Đề thi các môn học lớp 7 năm 2025 học kì 1, học kì 2 được các Giáo viên hàng đầu biên soạn bám sát chương trình và cấu trúc ra đề thi trắc nghiệm và tự luận mới.
Nếu thấy hay, hãy động viên và chia sẻ nhé! Các bình luận không phù hợp với nội quy bình luận trang web sẽ bị cấm bình luận vĩnh viễn.
- Giáo án lớp 7 (các môn học)
- Giáo án điện tử lớp 7 (các môn học)
- Giáo án Toán 7
- Giáo án Ngữ văn 7
- Giáo án Tiếng Anh 7
- Giáo án Khoa học tự nhiên 7
- Giáo án Lịch Sử 7
- Giáo án Địa Lí 7
- Giáo án GDCD 7
- Giáo án Tin học 7
- Giáo án Công nghệ 7
- Giáo án HĐTN 7
- Giáo án Hoạt động trải nghiệm 7
- Giáo án Vật Lí 7
- Giáo án Sinh học 7
- Giáo án Hóa học 7
- Giáo án Âm nhạc 7
- Đề thi lớp 7 (các môn học)
- Đề thi Ngữ Văn 7 (có đáp án)
- Chuyên đề Tiếng Việt lớp 7
- Đề thi Toán 7 (có đáp án)
- Đề cương ôn tập Toán 7
- Đề thi Tiếng Anh 7 (có đáp án)
- Đề thi Khoa học tự nhiên 7 (có đáp án)
- Đề thi Lịch Sử & Địa Lí 7 (có đáp án)
- Đề thi Địa Lí 7 (có đáp án)
- Đề thi Lịch Sử 7 (có đáp án)
- Đề thi GDCD 7 (có đáp án)
- Đề thi Công nghệ 7 (có đáp án)
- Đề thi Tin học 7 (có đáp án)


Giải bài tập SGK & SBT
Tài liệu giáo viên
Sách
Khóa học
Thi online
Hỏi đáp

