30+ Đề thi tuyển sinh vào lớp 10 Toán Đà Nẵng năm 2025 (có đáp án)
Tài liệu bộ Đề ôn thi tuyển sinh vào lớp 10 môn Toán Đà Nẵng năm 2025 chọn lọc, có đáp án sẽ giúp học sinh ôn luyện, củng cố kiến thức và chuẩn bị tốt cho kì thi tuyển sinh môn Toán vào 10 đạt kết quả cao.
30+ Đề thi tuyển sinh vào lớp 10 Toán Đà Nẵng năm 2025 (có đáp án)
Bộ đề thi vào 10 môn Toán Đà Nẵng gồm 8 đề thi CHÍNH THỨC từ năm 2015 → 2024 có lời giải chi tiết giúp Giáo viên có thêm tài liệu ôn thi Toán vào 10 Đà Nẵng:
Xem thử Bộ đề thi thử vào 10 Toán 2025 Xem thử Bộ đề thi vào 10 Toán 2025 Xem thử Đề vào 10 Đà Nẵng
Chỉ từ 150k mua trọn bộ Đề ôn thi vào 10 môn Toán năm 2026 theo cấu trúc mới bản word có lời giải chi tiết:
- B1: gửi phí vào tk:
1133836868- CT TNHH DAU TU VA DV GD VIETJACK - Ngân hàng MB (QR) - B2: Nhắn tin tới Zalo VietJack Official - nhấn vào đây để thông báo và nhận đề thi
Đề thi vào lớp 10 Toán Đà Nẵng 2025
- Đề thi tuyển sinh vào 10 môn Toán Đà Nẵng năm 2025
- Lịch thi vào lớp 10 năm 2025
- Cấu trúc đề thi vào lớp 10 môn Toán năm 2025 Đà Nẵng
- Bộ Đề thi thử vào 10 môn Toán năm 2025 (cả nước)
- Bộ Đề ôn thi vào 10 môn Toán năm 2025 có đáp án (Trắc nghiệm - Tự luận)
Đề thi thử Toán vào 10 năm 2026 (cả nước)
Đề thi thử Toán vào lớp 10 năm 2025 trường THCS Nguyễn Trường Tộ
Đề thi thử Toán vào lớp 10 năm 2025 trường TH&THCS Hồ Tùng Mậu
Xem thử Bộ đề thi thử vào 10 Toán 2025 Xem thử Bộ đề thi vào 10 Toán 2025 Xem thử Đề vào 10 Đà Nẵng
Đề thi tuyển sinh Toán vào lớp 10 Đà Nẵng năm 2025
Đề thi tuyển sinh vào 10 Toán Đà Nẵng 2024
Đáp án đề thi Toán vào 10 Đà Nẵng 2024
Ảnh: Tuyensinh247
Sở Giáo dục và Đào tạo Đà Nẵng
Kì thi tuyển sinh vào lớp 10
Năm học 2022
Môn thi: Toán (hệ Công lập)
Thời gian làm bài: 120 phút
Lời giải & Hướng dẫn chấm đề thi vào 10 Toán Đà Nẵng 2022
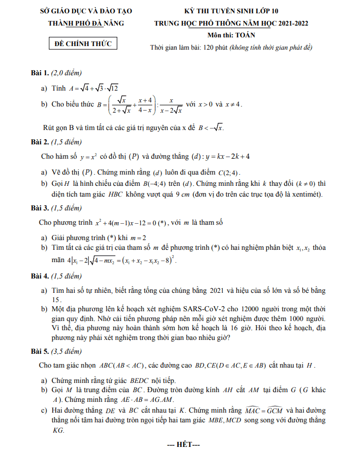
Sở Giáo dục và Đào tạo Đà Nẵng
Kì thi tuyển sinh vào lớp 10
Năm học 2021
Môn thi: Toán (hệ Công lập)
Thời gian làm bài: 120 phút
Lời giải & Hướng dẫn chấm đề thi vào 10 Toán Đà Nẵng 2021
Xem thử Bộ đề thi thử vào 10 Toán 2025 Xem thử Bộ đề thi vào 10 Toán 2025 Xem thử Đề vào 10 Đà Nẵng
Xem thêm các đề thi vào lớp 10 môn Toán hay khác:
Xem thêm đề thi lớp 9 các môn học có đáp án hay khác:
Tài liệu giáo án lớp 9 các môn học chuẩn khác:
Để học tốt lớp 10 các môn học sách mới:
- Giải bài tập Lớp 10 Kết nối tri thức
- Giải bài tập Lớp 10 Chân trời sáng tạo
- Giải bài tập Lớp 10 Cánh diều
Tủ sách VIETJACK luyện thi vào 10 cho 2k11 (2026):
Đã có app VietJack trên điện thoại, giải bài tập SGK, SBT Soạn văn, Văn mẫu, Thi online, Bài giảng....miễn phí. Tải ngay ứng dụng trên Android và iOS.
Theo dõi chúng tôi miễn phí trên mạng xã hội facebook và youtube:Loạt bài Đề thi vào lớp 10 môn Toán (có đáp án) được các Giáo viên hàng đầu biên soạn theo cấu trúc ra đề thi Trắc nghiệm, Tự luận mới giúp bạn ôn luyện và giành được điểm cao trong kì thi vào lớp 10 môn Toán.
Nếu thấy hay, hãy động viên và chia sẻ nhé! Các bình luận không phù hợp với nội quy bình luận trang web sẽ bị cấm bình luận vĩnh viễn.
- Giáo án lớp 9 (các môn học)
- Giáo án điện tử lớp 9 (các môn học)
- Giáo án Toán 9
- Giáo án Ngữ văn 9
- Giáo án Tiếng Anh 9
- Giáo án Khoa học tự nhiên 9
- Giáo án Vật Lí 9
- Giáo án Hóa học 9
- Giáo án Sinh học 9
- Giáo án Địa Lí 9
- Giáo án Lịch Sử 9
- Giáo án GDCD 9
- Giáo án Tin học 9
- Giáo án Công nghệ 9
- Đề thi lớp 9 (các môn học)
- Đề thi Ngữ Văn 9 (có đáp án)
- Đề thi Toán 9 (có đáp án)
- Đề thi Tiếng Anh 9 mới (có đáp án)
- Đề thi Tiếng Anh 9 (có đáp án)
- Đề thi Khoa học tự nhiên 9 (có đáp án)
- Đề thi Lịch Sử và Địa Lí 9 (có đáp án)
- Đề thi GDCD 9 (có đáp án)
- Đề thi Tin học 9 (có đáp án)
- Đề thi Công nghệ 9 (có đáp án)


Giải bài tập SGK & SBT
Tài liệu giáo viên
Sách
Khóa học
Thi online
Hỏi đáp

