Đề thi Toán vào lớp 10 năm 2026 có đáp án (Trắc nghiệm - Tự luận)
Để giành được điểm cao trong bài thi tuyển sinh môn Toán vào lớp 10, dưới đây là 5 đề thi thử vào lớp 10 môn Toán có đáp án. Bạn vào tên đề thi hoặc Xem đề thi để tham khảo đề thi vào 10 môn Toán và phần đáp án tương ứng.
Đề thi Toán vào lớp 10 năm 2026 có đáp án (Trắc nghiệm - Tự luận)
- Bộ đề thi Toán vào 10 năm 2025 có đầy đủ lời giải chi tiết:
Xem thử Bộ đề thi thử vào 10 Toán 2025 Xem thử Bộ đề thi vào 10 Toán 2025 Xem thử Chuyên đề Toán ôn vào 10
- Bộ đề thi vào 10 môn Toán Hà Nội, Tp.HCM, Đà Nẵng gồm 8 đề thi CHÍNH THỨC từ năm 2015 → 2024 có lời giải chi tiết giúp Giáo viên có thêm tài liệu ôn thi Toán vào 10 Hà Nội, Tp.HCM, Đà Nẵng:
Xem thử Đề vào 10 Hà Nội Xem thử Đề vào 10 TP.HCM Xem thử Đề vào 10 Đà Nẵng
Chỉ từ 150k mua trọn bộ Đề ôn thi vào 10 môn Toán năm 2026 theo cấu trúc mới bản word có lời giải chi tiết:
- B1: gửi phí vào tk:
1133836868- CT TNHH DAU TU VA DV GD VIETJACK - Ngân hàng MB (QR) - B2: Nhắn tin tới Zalo VietJack Official - nhấn vào đây để thông báo và nhận giáo án
Đề ôn thi vào lớp 10 Toán:
Đề thi môn Toán vào lớp 10 năm 2022 - 2023 có đáp án (Trắc nghiệm - Tự luận - Đề 1)
Đề thi môn Toán vào lớp 10 năm 2022 - 2023 có đáp án (Trắc nghiệm - Tự luận - Đề 2)
Đề thi môn Toán vào lớp 10 năm 2022 - 2023 có đáp án (Trắc nghiệm - Tự luận - Đề 3)
Đề thi môn Toán vào lớp 10 năm 2022 - 2023 có đáp án (Trắc nghiệm - Tự luận - Đề 4)
Đề thi môn Toán vào lớp 10 năm 2022 - 2023 có đáp án (Trắc nghiệm - Tự luận - Đề 5)
Sở Giáo dục và Đào tạo ....
Kì thi tuyển sinh vào lớp 10
Môn thi: Toán (hệ Công lập)
Thời gian làm bài: 120 phút
Phần I. Trắc nghiệm (2 điểm)
Câu 1: Trong các đường thẳng sau đây, đường thẳng nào đi qua điểm A (1; 3):
A. x – y = 3 B. 2x + y =5
C. 2x – y = 3 D. x + y = 5
Câu 2: Điều kiện xác định của biểu thức là:
A. x = -2018 B. x ≠ -2018
C. x ≥ -2018 D. x ≤ -2018
Câu 3: Tìm m để 2 đường thẳng sau cắt nhau tại 1 điểm y = (2m – 1)x + 7 và y = 3x – 5
A. m = 2 B. m ≠ 2 C. m ≥ 2 D. m ≤ 2
Câu 4: Tìm giá trị của a để đồ thị hàm số y = ax2 đi qua điểm (1; - 4)
A. a = - 2 B. a = 2 C. a = 4 D. a = - 4
Câu 5: Biết phương trình x2 + bx – 2b = 0 có một nghiệm x = -3. Tìm nghiệm còn lại của phương trình:
Câu 6: Trong các nhận xét sau, nhận xét đúng là:
A. Hai cung bằng nhau thì có số đo bằng nhau
B. Hai cung có số đo bằng nhau thì bằng nhau
C. Cả a, b đều đúng
D. Cả a và b đều sai
Câu 7: Tính diện tích hình quạt có bán kính 6cm, độ dài cung là 5π cm
A. 10π cm2 B. 20π cm2 C.30π cm2 D. 15Bπ cm2
Câu 8: Tính diện tích toàn phần của hình nón có bán kính đáy 5 cm và độ dài đường sinh là 7 cm:
A. 35π cm2 B. 45π cm2 C. 52π cm2 D. 60π cm2
Phần II. Tự luận
Bài 1: (1,5 điểm) Giải các phương trình và hệ phương trình:
a) √5x - 2√5 = 0
b)3x2 - 8x - 6 = 0
Bài 2: (2 điểm)
1) Cho 2 hàm số (P): y = 2x2 và (d): y = -3x + 4
a) Vẽ 2 đồ thị trên cùng một mặt phẳng tọa độ Oxy
b) Tìm tọa độ giao điểm của 2 đồ thị trên bằng phép tính.
2) Cho phương trình x2 – 2(m – 1)x – 2m = 0.
Chứng minh rằng phương trình luôn có 2 nghiệm phân biệt với mọi m. Gọi 2 nghiệm của phương trình là x1; x2, tìm tất cả giá trị của m sao cho x12 + x1 - x2 = 5 - 2m
Bài 3: (1 điểm) Hai xe máy cùng xuất phát một lúc từ địa điểm A đến địa điểm B cách nhau 30 km. Xe thứ nhất chạy nhanh hơn xe thứ hai 5km/h nên đến B sớm hơn 5 phút. Tính vận tốc mỗi xe
Bài 4: (3,5 điểm) Trên đường tròn (O; R) đường kính AB lấy 2 điểm M, N theo thứ tự A, M, N, B ( hai điểm M, N khác 2 điểm A và B). Các đường thẳng AM và BN cắt nhau tại C, AN và BM cắt nhau tại D
a) Chứng minh tứ giác MCND nội tiếp. Xác định tâm I đường tròn ngoại tiếp tứ giác
b) Gọi H là giao điểm của CD và AB. Chứng minh rằng:
BN.BC = BH.BAv
c) Tính ∠IMO
d) Cho biết ∠BAM = 45o; ∠BAN = 30o. Tính theo R diện tích của tam giác ABC
Phần I. Trắc nghiệm
| 1.B | 2.C | 3.B | 4.A |
| 5.D | 6.A | 7.C | 8.D |
Phần II. Tự luận
Bài 1:
a) √5x - 2√5 = 0
⇔ √5x = 2√5
⇔ x = 2
Vậy phương trình có nghiệm x = 2.
b)3x2 - 8x - 6 = 0
Δ' = (-4)2 - 3.(-6) = 34 > 0
Phương trình có 2 nghiệm phân biệt
Vậy phương trình có tập nghiệm là S =
Vậy hệ phương trình đã cho có nghiệm (x; y) = (1; 1)
Bài 2:
1) Cho 2 hàm số (P): y = x2 và (d): y = -3x + 4
Xét hàm số: y = 2x2
Bảng giá trị
| x | -2 | -1 | 0 | 1 | 2 |
| y = 2x2 | 4 | 1 | 0 | 1 | 4 |
Đồ thị hàm số (P): y = x2 là đường parabol nằm phía trên trục hoành, nhận trục Oy là trục đối xứng và nhận đỉnh O (0;0) làm điểm thấp nhất
Xét hàm số y = -3x + 4
Bảng giá trị
| x | 0 | 1 |
| y = -3x + 4 | 4 | 1 |
b) phương trình hoành độ giao điểm của (P) và (d) là
x2 = - 3x + 4 ⇔ x2 + 3x - 4 = 0
=> phương trình có nghiệm x = 1 và x = - 4 ( do phương trình có dạng a + b + c =0)
Với x = 1 thì y = 1
Với x = - 4 thì y = 16
Vậy tọa độ giao điểm của (P) và (d) là (1; 1 ) và (-4; 16)
2) x2 – 2(m – 1)x – 2m = 0.
Δ'= (m-1)2 - (-2m) = m2 + 1 > 0 ∀m
Vậy phương trình luôn có 2 nghiệm phân biệt với mọi m
Theo định lí Vi- ét ta có:
⇔ x12 + x1 - x2 = 3 - (2m - 2)
⇔ x12 + x1 - x2 = 3 - x1 - x2
⇔ x12 + 2x1 - 3 = 0
Với x1 = 1 thay vào phương trình ban đầu tìm được m =
Với x1 = -3 thay vào phương trình ban đầu, tìm đc m =
Vậy với m = thì phương trình có 2 nghiệm thỏa mãn yêu cầu đề bài.
Bài 3:
Gọi vận tốc xe thứ nhất là x ( km/h) (x > 5)
Vận tốc xe thứ hai là x – 5 (km/h)
Thời gian đi của xe thứ nhất là:
Thời gian đi của xe thứ hai là
Do xe thứ nhất đến B sớm hơn xe thứ hai 5' = nên ta có phương trình
Vậy vận tốc của xe thứ nhất là 45 km/h
Vận tốc xe thứ hai là 40 km/h
Bài 4:
a) Ta có:
∠AMB = 90o (góc nội tiếp chắn nửa đường tròn)
=> ∠DMC = 90o
∠ANB = 90o (góc nội tiếp chắn nửa đường tròn)
=> ∠DNC = 90o
Xét tứ giác MCND có:
∠DMC + ∠DNC = 90o + 90o = 180o
=> Tứ giác MCDN là tứ giác nội tiếp
Do ∠DMC = 90o nên DC là đường kính đường tròn ngoại tiếp tứ giác MCDN
Do đó tâm I của đường tròn ngoại tiếp tứ giác là trung điểm I của DC
b) Xét tam giác CAB có:
AN ⊥ BC
BM ⊥ AC
AN giao với BM tại H
=> H là trực tâm của tam giác CAB
=> CH ⊥ BA
Xét ΔCHB và ΔBNA có:
∠CBA là góc chung
∠CHB = ∠ANB = 90o
=>ΔCHB ∼ ΔANB
=> BN.BC = BA.BH
c) Xét tam giác HDB vuông tại H có:
∠BDH + ∠DBH = 90o (1)
Xét tam giác IDM cân tại I (ID = IM )
=> ∠IMD = ∠IDM
Mà ∠IDM = ∠BDH (đối đỉnh)
=> ∠IMD = ∠BDH (2)
Mặt khác tam giác OBM cân tại O ( OB = OM)
=> ∠OMB = ∠DBH (3)
Từ (1); (2) và (3)
=> ∠IMD + ∠OMB = ∠BDH + ∠DBH = 90o
=> ∠IMO = 90o
d) Xét tam giác BAN vuông tại N có:
∠NAB = 30o => ∠NBA = 60o
Xét tam giác CHB vuông tại H có ∠NBA = 60o
=> BH = CH.cot60o =
Lại có: Tam giác CHA vuông tại H có ∠CAH = 45o
=> Tam giác CHA vuông cân tại H => CH = HA
Ta có:
AB = HA + HB = CH +
= 2R => CH = R√3(√3-1)
Diện tích tam giác ABC là:
SABC = CH.AB =
.R√3(√3-1).2R = R2.√3(√3-1) (dvdt)
Sở Giáo dục và Đào tạo ....
Kì thi tuyển sinh vào lớp 10
Môn thi: Toán (hệ Công lập)
Thời gian làm bài: 120 phút
Phần I. Trắc nghiệm (2 điểm)
Câu 1: Trong các phương trình sau; phương trình nào là phương trình bậc hai một ẩn
A. x2 + 2y = 4 B. 2x + y = 3
C. x2 + 3 x – 6 =0 D. x2 + y2 =5
Câu 2: Cho hàm số bậc nhất y = (m2 + 1)x - 5 và y = 5x +3. Tìm m để hai đường thẳng trên song song với nhau:
A. m = ±2 B. m = 2 C. m = - 2 D. m ≠ 2
Câu 3: Phương trình x2 + 2x + m + 2 = 0 có 2 nghiệm phân biệt khi
A. m > - 1 B. m < 1 C. m > 1 D. m < -1
Câu 4: Hệ phương trình có nghiệm là:
A. (-2; 0) B. (-2; 3) C. (0; -2) D. (0; 3)
Câu 5: Tổng 2 nghiệm của phương trình x2 + 7x - 5 = 0 là:
A. 7 B. -7 C. 5 D. -5
Câu 6: Cho đường tròn (O, R) và một dây cung AB = R. Khi đó số đo cung nhỏ AB là :
A. 60o B. 120o C. 150o D. 100o
Câu 7: Tính độ dài cung 60o của đường tròn có bán kính 3cm
A.2π cm B.π cm C. cm D.
cm
Câu 8: Hình trụ có bán kính đáy là 2cm, chiều cao là 6 cm thì diện tích xung quanh là:
A.6π cm2 B.12π cm2 C.24π cm2 D.36π cm2
Phần II. Tự luận
Bài 1: (1,5 điểm) Giải các phương trình và hệ phương trình sau:
a) 2x2 -3x – 5 =0
b) x4 – 5x2 + 4 = 0
Bài 2: (1,5 điểm) Cho (P): y = x2 và đường thẳng (d) y = 2(m + 1)x + 2m - 1
a) Khi m = 1, hãy vẽ (P) và (d) trên cùng một hệ trục tọa độ
b) Tìm m để x1, x2 thỏa mãn điều kiện sau:
Bài 3: (1,5 điểm) Giải bài toán sau bằng cách lập phương trình hoặc hệ phương trình :
Sau khi xem bảng báo giá, mẹ của Hương đưa bạn 450 nghìn đồng nhờ bạn ra siêu thị mua một bàn ủi và một bộ lau nhà. Hôm nay đúng đợt khuyến mãi, bàn ủi được giảm 20%, bộ lau nhà được giảm 25% nên bạn Hương chỉ phải trả tổng cộng 350 nghìn đồng. Hỏi giá bán thực tế của bàn ủi và bộ lau nhà là bao nhiêu?
Bài 4: (3,5 điểm) Cho đường tròn (O; R) và điểm A nằm ngoài (O) sao cho OA = 3R. Vẽ các tiếp tuyến AB, AC với (O) (B, C là các tiếp điểm). Vẽ cát tuyến AMN với (O) (M nằm giữa A và N và AMN không đi qua O). Gọi I là trung điểm của MN.
a) Chứng minh 5 điểm A, B, O, I, C thuộc một đường tròn
b) Chứng minh AM.AN = 8R2
c) Tính độ dài AM, AN khi MN = R√3
d) BC cắt OA, OI tại H và K
Chứng minh KM, KN là tiếp tuyến của (O)
Đáp án và Hướng dẫn giải
Phần I. Trắc nghiệm
| 1.C | 2.A | 3.D | 4.C |
| 5.B | 6.A | 7.B | 8.C |
Phần II. Tự luận
Bài 1:
a) 2x2 - 3x – 5 = 0
Δ = 32 - 4 . 2.(-5) = 49 > 0
Phương trình có 2 nghiệm phân biệt:
Vậy tập nghiệm của phương trình trên là S =
b) x4 – 5x2 + 4 = 0
Đặt t = x2 (t ≥ 0), khi đó phương trình trở thành:
t2 - 5t + 4 = 0
Phương trình có dạng a + b +c = 1+ (-5) + 4 = 0 nên phương trình có 2 nghiệm t1 = 1; t2 = 4
Với t1 = 1 thì x2 = 1 ⇔ x = ± 1
Với t1 = 4 thì x2 = 4 ⇔ x = ± 2
Vậy phương trình đã cho có tập nghiệm là S = {1; -1; 2; -2 }
Đặt hệ phương trình trở thành:
Khi đó:
Vậy hệ phương trình đã cho có nghiệm (x; y) =
Bài 2:
a) Khi m =1, (d): y = 4x + 1
(P): y = x2
Bảng giá trị:
| x | -2 | -1 | 0 | 1 | 2 |
| y = x2 | 4 | 1 | 0 | 1 | 4 |
Đồ thị (P) là đường parabol nằm phía trên trục hoành, nhận trục Oy làm trục đối xứng, nhận O(0;0) là đỉnh và là điểm thấp nhất.
Vẽ đường thẳng (d): y = 4x + 1
Bảng giá trị
| x | 0 | -1 |
| y = 4x + 1 | 1 | -3 |
b) Phương trình hoành độ giao điểm của (P) và (d) là:
x2 = 2(m + 1)x + 2m - 1
⇔ x2 - 2(m + 1)x - (2m - 1) = 0 (*)
Δ' = (m + 1)2 + (2m - 1)
= m2 + 2m + 1 + 2m - 1 = m2 + 4m
* Để đường thẳng d cắt (P) tại hai điểm phân biệt khi và chỉ khi phương trình có 2 nghiệm phân biệt hay Δ’ > 0
* Với m < - 4 hoặc m > 0 thì phương trình (*) có 2 nghiệm phân biệt. Theo định lí Vi-et ta có:
Kết hợp điều kiện, với
thỏa mãn điều kiện đầu bài
Bài 3:
Gọi giá tiền của bàn ủi khi chưa giảm giá là x ( nghìn đồng) (0 < x < 450)
Gọi giá tiền của bộ lau nhà khi chưa giảm giá là y ( nghìn đồng) (0 < x < 450)
Theo bài ra ta có: x + y = 450 (1)
Giá của bàn ủi khi giảm 20% là x -
Giá của bộ lau nhà khi giảm 25% là y -
Do bạn Hương chỉ phải trả 350 nghìn đồng nên ta có phương trình
Từ (1) và (2) ta có hệ phương trình:
Vậy giá của bàn ủi khi chưa giảm giá là 250 nghìn đồng
Giá của bộ lau nhà khi chưa giảm giá là 200 nghìn đồng
Bài 4:
a) Ta có: ∠ABO = 90o(Do BA là tiếp tuyến của (O)) nên B thuộc đường tròn đường kính OA
Tương tự ∠ACO = 90onên C thuộc đường tròn đường kính OA
Do I là trung điểm của MN nên OI ⊥ MN
=> ∠AIO = 90o => I thuộc đường tròn đường kính OA
Vậy 5 điểm O, A , B, C, I cùng thuộc đường tròn đường kính OA
b) Xét ΔABM và ΔANB có:
∠BAN là góc chung
∠ABM = ∠ANB (2 góc cùng chắn ⏜BM)
=> ΔABM ∼ ΔANB
=> AM.AN = AB2
Xét tam giác OAB vuông tại O có:
AB2 = OA2 – OB2 = (3R)2 – R2 = 8R2
c) Gọi độ dài AM là x
=> AN = x + R√3
Theo câu b ta có:
AM. AN = 8R2
=> x(x + R√3) = 8R2 ⇔ x2 + xR√3 - 8R2 = 0
Δ = (R√3)2 - 4.(- 8R2 ) = 35R2 => √Δ = R√35
=> AM.AN = AB2
d) Ta có:
=> AM.AN = AB2
=> OA là đường trung trực của BC
Do đó OA ⊥ BC tại H
Xét ΔOHK và Δ OIA có:
∠AOK là góc chung
∠OHK = ∠OIA = 90o
=> ΔOHK ∼ ΔOIA
Mặt khác, xét tam giác ABO vuông tại B có BH là đường cao
=> OH.OA = OB2 = R2 (2)
Từ (1) và (2) => OK.OI = R2 = OM2
Xét tam giác OIM và tam giác OMK có:
∠MOK là góc chung
=> ΔOIM ∼ ΔOMK (c.g.c)
=> ∠OIM = ∠OMK = 90o Hay OM ⊥ MK
Vậy MK là tiếp tuyến của (O)
Chứng minh tương tự ta được NK là tiếp tuyến của (O).
Sở Giáo dục và Đào tạo ....
Kì thi tuyển sinh vào lớp 10
Môn thi: Toán (hệ Công lập)
Thời gian làm bài: 120 phút
Phần I. Trắc nghiệm (2 điểm)
Câu 1 : Điều kiện xác định của biểu thức P = 2018 là:
A.x = 5 B.x ≠ 5 C.x ≤ 5 D.x ≥ 5
Câu 2: Trong mặt phẳng tọa độ Oxy, đường thẳng 2x – y = 3 đi qua điểm:
A. (0; -3) B. (2; 2) C. ( 1; 3) D. (5; 0)
Câu 3: Cho hàm số y = -3x2. Kết luận nào sau đây là đúng :
A. Hàm số trên luôn đồng biến
B. Hàm số trên luôn nghịch biến
C. Hàm số trên đồng biến khi x > 0, nghịch biến khi x < 0
D. Hàm số trên đồng biến khi x < 0, nghịch biến khi x > 0
Câu 4: Điều kiện để hàm số y = (- m + 3) x – 7 đồng biến trên R là:
A. m = 3 B. m < 3 C. m ≥ 3 D. x ≠ 3
Câu 5 : Trong các phương trình sau, phương trình nào có tích hai nghiệm bằng -5
A. x2 - 3 x - 5 = 0 B. x2 - 3 x + 5 = 0
C. x2 + 3 x + 5 = 0 D. –x2 - 3 x - 5 = 0
Câu 6: Cho tam giác ABC vuông tại A có đường cao AH có BH = 6 cm; CH = 12 cm. Độ dài cạnh góc vuông AB là:
A.6cm B.6√2 cm C.6√3 cm D.12 cm
Câu 7: Cung AB của đường tròn (O; R) có số đo là 60o. Khi đó diện tích hình quạt AOB là:
Câu 8: Tứ giác MNPQ nội tiếp đường tròn khi:
A.∠MNP + ∠NPQ = 180o B.∠MNP = ∠MPQ
C. MNPQ là hình thang cân D. MNPQ là hình thoi
Phần II. Tự luận
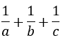
Bài 1: (1 điểm) Cho biểu thức
a) Tìm điều kiện đối với a và b để biểu thức P có nghĩa rồi rút gọn biểu thức P
b) Khi a và b là 2 nghiệm của phương trình bậc hai x2 – 3x + 1 =0. Không cần giải phương trình này, hãy chứng tỏ giá trị của P là một số nguyên dương
Bài 2: (1,5 điểm)
a) Tìm điểm cố định của đường thẳng y = (m – 1)x + 2m – 1
b) Trong mặt phẳng tọa độ Oxy, cho đường thẳng (d): y = mx + 1 và Parabol (P): y = 2x2. Tìm m để đường thẳng (d) đi qua điểm A (3; 7). Chứng minh rằng (d) luôn cắt (P) tại 2 điểm phân biệt C (x1, y1) và D (x2, y2). Tính giá trị của T = x1x2 + y1y2
Bài 3: (1,5 điểm) Giải các phương trình và hệ phương trình sau:
b) 3x4 + x2 – 4 = 0
Bài 4: (3,5 điểm) Cho tam giác ABC nhọn (AB < AC) nội tiếp đường tròn (O). Tiếp tuyến tại A của (O) cắt BC tại S. Gọi I là trung điểm của BC.
a) Chứng minh tứ giác SAOI nội tiếp
b) Vẽ dây cung AD vuông góc với SO tại H. AD cắt BC tại K. Chứng minh SD là tiếp tuyến của đường tròn (O)
c) Chứng minh SK.SI = SB.SC
d) Vẽ đường kính PQ đi qua điểm I (Q thuộc cung CD), SP cắt đường tròn (O) tại M. Chứng minh M, K, Q thẳng hàng.
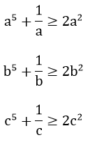
Bài 5: (0,5 điểm) Cho a, b, c > 0 và a + b + c = 3. Chứng minh rằng:
a5 + b5 + c5 + ≥ 6
Đáp án và Hướng dẫn giải
Phần I. Trắc nghiệm
| 1.D | 2.A | 3.D | 4.B |
| 5.A | 6.C | 7.B | 8.C |
Phần II. Tự luận
Bài 1:
b) a, b là 2 nghiệm của phương trình x2 – 3x + 1 =0 nên theo hệ thức Vi-ét ta có:
Thay vào biểu thức
P = = 3
Vậy giá trị của P là một số nguyên dương
Bài 2:
a) y = (m – 1)x + 2m – 1
Gọi M (x0 ; y0) là điểm cố định mà đường thẳng y = (m – 1)x + 2m – 1 đi qua với mọi m
=> y0 = (m - 1) x0 + 2m - 1 ⇔ (x0 + 2)m - (y0 + x0 + 1)=0 (*)
Để đường thẳng y = (m – 1)x + 2m – 1 luôn đi qua M (x0 ; y0) với mọi m thì phương trình (*) nghiệm đúng với mọi m
Vậy đường thẳng y = (m – 1)x + 2m – 1 luôn đi qua M (-2; 1)
b) Để đường thẳng (d): y = mx + 1 đi qua điểm A (3; 7), thì A ∈ d :
7 = m.3 + 1 ⇔ m = 2
Phương trình hoành độ giao điểm của (P) và (d) là:
2x2 = mx + 1 ⇔ 2x2 - mx - 1 = 0
Δ = m2 - 4.2.(-1) = m2 + 8 > 0
=> Phương trình có 2 nghiệm phân biệt, do đó (d) cắt (P) tại 2 điểm phân biệt
Theo định lí Vi-et, ta có:
Theo bài ra:
T = x1x2 + y1y2 = x1x2 + (mx1 + 1)(mx2 + 1)
= x1x2 + m(x1 + x2 ) + m2x1x2 + 1
Vậy T =
Bài 3:
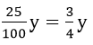
Vậy hệ phương trình đã cho có nghiệm (x; y) = (; -2)
b) 3x4 + x2 – 4 = 0
Đặt x2 = t (t ≥ 0), phương trình trở thành:
3t2 + t - 4 = 0
Phương trình có dạng a + b + c = 3 + 1 – 4 = 0. Do đó, phương trình có hai nghiệm
Với t = 1 => x2=1 ⇔ x = ± 1
Vậy phương trình đã cho có hai nghiệm x = ± 1.
Bài 4:
a) Ta có: BC là dây cung, I là trung điểm của BC
=> OI ⊥ BC
Xét tứ giác SAOI có:
∠SAO = 90o (Do SA là tiếp tuyến của (O))
∠SOI = 90o (OI ⊥ BC)
=> ∠SAO + ∠SOI = 180o
=> Tứ giác SAOI là tứ giác nội tiếp
b) Tam giác AOD cân tại O có OH là đường cao
=> OH cũng là trung trực của AD
=> SO là trung trực của AD
=> SA = SA => ΔSAD cân tại S
=> ∠SAD = ∠SDA
Ta có:
=> ∠SAD + ∠OAD = ∠SDA + ∠ODA
⇔ ∠SAO = ∠SDO ⇔ ∠SDO = 90o
Vậy SD là trung tuyến của (O)
c) Xét ΔSAB và ΔSCA có:
∠ASC là góc chung
∠SAB = ∠ACB (góc nội tiếp và góc tạo bởi tiếp tuyến và dây cung cùng chắn cung AB)
=> ΔSAB ∼ ΔSCA
=> SB.SC = SA2 (1)
ΔSAO vuông tại O có AH là đường cao
=> SA2 = SH. SO (2)
Xét ΔSKH và ΔSOI có:
∠OSI là góc chung
∠SHK = ∠SIO = 90o
=> ΔSKH ∼ ΔSOI
=> SK.SI = SH.SO (3)
Từ (1), (2) và (3) => SK.SI = SB.SC
d) Ta có: ∠PMQ = 90o (Góc nội tiếp chắn nửa đường tròn)
=> PS ⊥ MQ
Xét ΔSAM và ΔSPA có:
∠ASP là góc chung
∠SAM = ∠SPA (góc nội tiếp và góc tạo bởi tiếp tuyến và dây cung cùng chắn cung AM)
=> ΔSAM ∼ ΔSPA
=> SP.SM = SA2
Do đó ta có:
SP.SM = SK.SI
Xét ΔSKM và ΔSPI có:
∠ISP là góc chung
=> ΔSKM ∼ ΔSPI
=> ∠SMK = ∠SIP = 90o => MK ⊥ SP
Ta có: PS ⊥ MQ ; MK ⊥ SP => M;Q;K thẳng hàng
Bài 5:
Áp dụng bất đẳng thức Co- si, ta được:
=> a5 + b5 + c5 + ≥ 2(a2 + b2 + c2 )
Mặt khác:
=> a2 + b2 + c2 ≥ 2 (a + b + c)-3 = 2 . 3 - 3 = 3
=> a5 + b5 + c5 + ≥ 2.3 = 6
Vậy ta được điều phải chứng minh.
Sở Giáo dục và Đào tạo ....
Kì thi tuyển sinh vào lớp 10
Môn thi: Toán (hệ Công lập)
Thời gian làm bài: 120 phút
Phần I. Trắc nghiệm (2 điểm)
Câu 1: Trong các hàm số sau, hàm số nào là hàm số bậc nhất
A. y = 1 - B. y =
- 2x
C. y = x2 + 1 D. y = √x + 1
Câu 2: Hệ phương trình có nghiệm là:
A. ( 1 ; 2) B. ( 3; 3) C. ( -1; 1) D. (-3; 0)
Câu 3: Cho hàm số y = - x2. Kết luận nào sau đây là đúng:
A. y = 0 là giá trị lớn nhất của hàm số
B. y = 0 là giá trị nhỏ nhất của hàm số
C. Không xác định được giá trị lớn nhất của hàm số trên
D. Xác định được giá trị nhỏ nhất của hàm số trên
Câu 4: Cho phương trình bậc hai x2 – 2( 2m +1)x + 2m = 0. Hệ số b' của phương trình là:
A. m + 1 B. m C. 2m +1 D. – (2m +1)
Câu 5: Phương trình x2 + 2x + a – 2 = 0 vô nghiệm khi:
A. a > 3 B. a < 3 C. a ≥ 3 D. a ≤ 3
Câu 6: Đường tròn là hình:
A. Không có trục đối xứng B. Có một trục đối xứng
C. Có hai trục đối xứng D. Có vô số trục đối xứng
Câu 7: Tam giác ABC vuông tại A, có AB = 18 cm, AC = 24 cm. Bán kính đường tròn ngoại tiếp tam giác đó bằng
A. 30 cm B. 20 cm C. 15 cm D. 10 cm
Câu 8: Một hình trụ có chiều cao bằng 8 cm và bán kính đáy bằng 4 cm thì diện tích toàn phần bằng:
A.336πcm2 B.96πcm2 C.168πcm2 D.48πcm2
Phần II. Tự luận
Bài 1: (1,5 điểm)
1) Thực hiện phép tính: 4√24 - 3√54 + 5√6 - √150
2) Cho biểu thức
a) Rút gọn A
b) Tìm x nguyên để A nguyên
Bài 2: (1,5 điểm)
1) Cho hàm số: y = - 2x + 3 có đồ thị (d1) và hàm số y = x – 1 có đồ thị (d2). Xác định hệ số a và b biết đường thẳng (d3) y = ax + b song song với (d2) và cắt (d1) tại điểm nằm trên trục tung.
2) giải hệ phương trình sau:
Bài 3: (1 điểm) Cho phương trình ( m là tham số)
x2 - (2m - 1)x - 2m - 1 = 0 (1)
a) Chứng tỏ phương trình (1) luôn có 2 nghiệm phân biệt với mọi m
b) Tìm m để phương trình (1) có hai nghiệm x1, x2 thỏa mãn
x13 - x23 + 2(x12 - x22 ) = 0
Bài 4: (3,5 điểm) Cho tam giác nhọn ABC (AB < AC) nội tiếp đường tròn (O) có các đường cao AD, BE, CF, trực tâm H. Gọi I, K lần lượt là các trung điểm của các đoạn BC và AH
a) Chứng minh tứ giác BFEC và BFHD nội tiếp
b) Chứng minh DH. DA = DB. DC
c) Chứng minh 5 điểm E, K, F, D, I thuộc một đường tròn
d) Đường thẳng EF cắt BC tại M. Chứng minh
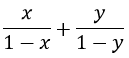
Bài 5: (0,5 điểm) Cho x, y thỏa mãn 0 < x < 1; 0 < y < 1 và = 1
Tìm giá trị của biểu thức
P = x + y +
Phần I. Trắc nghiệm
| 1.B | 2.C | 3.A | 4.D |
| 5.A | 6.D | 7.C | 8.B |
Phần II. Tự luận
Bài 1:
1) 4√24 - 3√54 + 5√6 - √150
= 4√4.6 - 3.√9.6 + 5√6 - √25.6
= 8√6 - 9√6 + 5√6 - 5√6
= -√6
A nguyên ⇔ nguyên ⇔ √x + 3 là ước của 11
⇔ √x + 3 ∈ {±1 ; ±11}
Ta có bảng sau:
| √x + 3 | -11 | -1 | 1 | 11 |
| √x | -14 | -4 | -2 | 8 |
| x | X | X | X | 64 |
Vậy x = 64 thì A nhận giá trị nguyên.
Bài 2:
1): y = - 2x + 3 có đồ thị (d1); hàm số y = x – 1 có đồ thị (d2).
Đường thẳng (d3) y = ax + b song song với (d2) nên a =1
(d3) : y = x + b
Đường thẳng (d1) y = - 2x + 3 cắt trục tung tại điểm (0; 3)
(d3) cắt (d1) tại điểm nằm trên trục tung nên (d3) đi qua điểm (0; 3)
=> 3 = 0 + b => b = 3
Vậy phương trình đường thẳng (d3) là y = x + 3
ĐKXĐ: x + y ≠ 0; 2x + y ≠ 0
Đặt , hệ phương trình trở thành:
Vậy hệ phương trình đã cho có nghiệm (x, y) = (0; 1)
Bài 3:
x2 - (2m - 1)x - 2m - 1 = 0 (1)
a) Δ = (2m - 1)2 - 4(-2m - 1)
= 4m2 - 4m + 1 + 8m + 4 = 4m2 + 4m + 1 + 4
= (2m + 1)2 + 4 > 0 ∀m
Vậy phương trình luôn có 2 nghiệm phân biệt với mọi m
b) Gọi x1, x2 là 2 nghiệm của phương trình (1)
Theo định lí Vi-ét ta có:
Vậy với m = 0 hoặc thì pt (1) có hai nghiệm thỏa mãn yêu cầu của đề bài
Bài 4:
a) Xét tứ giác BFEC có:
∠BFC = 90o (CF là đường cao)
∠BEC = 90o (BE là đường cao)
=> 2 đỉnh E và F cùng nhìn cạnh BC dưới 2 góc bằng nhau
=> Tứ giác BFEC là tứ giác nội tiếp
Xét tứ giác BFHD có:
∠BFH = 90o (CF là đường cao)
∠BDH = 90o (AD là đường cao)
=> ∠BFH + ∠BDH = 180o
=> Tứ giác BFHD là tứ giác nội tiếp
b) Xét ΔDHC và ΔDBA có:
∠HDC = ∠BDA = 90o
∠DHC = ∠DBA ( cùng bù với góc ∠FHD )
=> ΔDHC ∼ ΔDBA (g.g)
=> DH.DA = DC.DB
c) Ta có: ∠KDI = 90o (AD là đường cao)
=> D thuộc đường tròn đường kính KI (1)
Tam giác AFH vuông tại F có FK là trung tuyến nên KF = KH
Do đó ΔKFH cân tại K => ∠KFH = ∠KHF
Mà ∠KHF = ∠CHD (đối đỉnh) => ∠KFH = ∠CHD
Tương tự ΔICF cân tại C (do IF = IC) => ∠IFC = ∠ICF
Từ đó: ∠KFI = ∠KFH + ∠IFC = ∠CHD + ∠ICF = 90o (ΔDHC vuông tại D)
=> F thuộc đường tròn đường kính KI (2)
Chứng minh tương tự ∠KEI = 90o nên E thuộc đường tròn đường kính KI (3)
Từ (1), (2), (3): 5 điểm K, F, D, I, E thuộc đường tròn đường kính KI
d) Xét ΔMFB và ΔMCE có:
=> ΔMFB ∼ ΔMCE
=> MF.ME = MB.MC
Chứng minh tương tự: ME. MF = MD. MI
Từ đó: MB.MC = MD. MI
Bài 5:
Từ giả thiết 0 < x < 1; 0 < y < 1, ta có:
Thay = 1 => 2x + 2y - 1 = 3xy vào biểu thức P
P = x + y +
= x + y + = x + y + |x + y - 1|
= x + y + 1 - (x + y) (do x + y < 1)
= 1.
Sở Giáo dục và Đào tạo ....
Kì thi tuyển sinh vào lớp 10
Môn thi: Toán (hệ Công lập)
Thời gian làm bài: 120 phút
Phần I. Trắc nghiệm (2 điểm)
Câu 1: Điều kiện xác định của biểu thức là:
A.x ≠ 0 B.x ≥ 1 C.x ≥ 1 hoặc x < 0 D.0 < x ≤ 1
Câu 2: Đường thẳng 2x + 3y = 5 đi qua điểm nào trong các điểm sau đây
A. ( 1; -1) B. ( 2; -3) C. ( -1; 1) D. (- 2; 3)
Câu 3: Cho phương trình x – 2y = 2 (1). Phương trình nào trong các phương trình sau đây kết hợp với (1) để được phương trình vô số nghiệm
A.x + y = -1 B.
x - y = -1
C.2x - 3y = 3 D.2x - 4y = -4
Câu 4: Tọa độ giao điểm của (P) y = x2 và đường thẳng (d) y =
+ 3
A. (2; 2) B. ( 2; 2) và (0; 0)
C.(-3; ) D.(2; 2) và (-3;
)
Câu 5: Giá trị của k để phương trình x2 + 3x + 2k = 0 có 2 nghiệm trái dấu là:
A. k > 0 B. k < 0 C. k > 2 D. k < 2
Câu 6: Cho tam giác ABC vuông tại A có AB : AC = 3 : 4 và đường cao AH bằng 9 cm. Khi đó độ dài đoạn thẳng HC bằng:
A. 12 cm B. 9 cm C. 6 cm D. 15 cm
Câu 7: Cho hai đường tròn (O; 3cm) và (O; 4cm) có OO' = 5 cm. Vị trí tương đối của 2 đường tròn là:
A. Hai đường tròn tiếp xúc ngoài với nhau
B. Hai đường tròn tiếp xúc trong với nhau
C. Hai đường tròn không giao nhau
D. Hai đường tròn cắt nhau
Câu 8: Thể tích hình cầu thay đổi như thế nào nếu bán kính hình cầu tăng gấp 2 lần
A. Tăng gấp 16 lần B. Tăng gấp 8 lần
C. Tăng gấp 4 lần D. Tăng gấp 2 lần
Phần II. Tự luận
Bài 1: (2 điểm)
1) Thu gọn biểu thức
2) giải phương trình và hệ phương trình sau:
a) 3x2 + 5x - 8 = 0
b) (x2 + 5)2 = 3(x2 + 5) + 4
Bài 2: (1,5 điểm) Trong mặt phẳng tọa độ Oxy cho Parabol (P) : y = x2 và đường thẳng (d) :
y = 2mx – 2m + 1
a) Với m = -1 , hãy vẽ 2 đồ thị hàm số trên cùng một hệ trục tọa độ
b) Tìm m để (d) và (P) cắt nhau tại 2 điểm phân biệt : A (x1; y1 );B(x2; y2) sao cho tổng các tung độ của hai giao điểm bằng 2 .
Bài 3: (1 điểm) Rút gọn biểu thức sau:
Tìm x để A < 0
Bài 4: (3,5 điểm) Cho đường tròn (O) có dây cung CD cố định. Gọi M là điểm nằm chính giữa cung nhỏ CD. Đường kính MN của đường tròn (O) cắt dây CD tại I. Lấy điểm E bất kỳ trên cung lớn CD, (E khác C,D,N); ME cắt CD tại K. Các đường thẳng NE và CD cắt nhau tại P.
a) Chứng minh rằng :Tứ giác IKEN nội tiếp
b) Chứng minh: EI.MN = NK.ME
c) NK cắt MP tại Q. Chứng minh: IK là phân giác của góc EIQ
d) Từ C vẽ đường thẳng vuông góc với EN cắt đường thẳng DE tại H. Chứng minh khi E di động trên cung lớn CD (E khác C, D, N) thì H luôn chạy trên một đường cố định.
Phần I. Trắc nghiệm
| 1.C | 2.D | 3.A | 4.D |
| 5.B | 6.A | 7.D | 8.B |
Phần II. Tự luận
Bài 1:
2) a) 3x2 + 5x - 8 = 0
Δ = 52 - 4.3.(-8) = 121 => √Δ = 11
Vậy phương trình đã cho có tập nghiệm là S =
b) (x2 + 3)2 = 3(x2 + 3) + 4
Đặt x2 + 3 = t (t ≥ 3), phương trình đã cho trở thành
t2 - 3t - 4 = 0
Δ = 32 - 4.(-4) = 25> 0
Phương trình có 2 nghiệm phân biệt :
Do t ≥ 3 nên t = 4
Với t = 4, ta có: x2 + 3 = 4 ⇔ x2 = 1 ⇔ x = ±1
Vậy phương trình đã cho có 2 nghiệm x = ± 1
Bài 2:
Trong mặt phẳng tọa độ Oxy cho Parabol (P) : y = x2 và đường thẳng (d) :
y = 2mx – 2m + 1
a) Với m = 1; (d): y = 2x – 1
Bảng giá trị
| x | 0 | 1 |
| y = 2x – 1 | -1 | 1 |
(P) : y = x2
Bảng giá trị
| x | -2 | -1 | 0 | 1 | 2 |
| y = x2 | 4 | 1 | 0 | 1 | 4 |
Đồ thị hàm số y = x2 là đường parabol nằm phía trên trục hoành, nhận Oy làm trục đối xứng và nhận điểm O(0; 0) là đỉnh và điểm thấp nhất
b) cho Parabol (P) : y = x2 và đường thẳng (d) :
y = 2mx – 2m + 1
Phương trình hoành độ giao điểm của (P) và (d) là:
x2 = 2mx - 2m + 1
⇔ x2 - 2mx + 2m - 1 = 0
Δ' = m2 - (2m - 1)=(m - 1)2
(d) và (P) cắt nhau tại 2 điểm phân biệt khi và chỉ khi phương trình hoành độ giao điểm có 2 nghiệm phân biệt
⇔ Δ' > 0 ⇔ (m - 1)2 > 0 ⇔ m ≠ 1
Khi đó (d) cắt (P) tại 2 điểm A(x1, 2mx1 – 2m + 1) ; B ( x2, 2mx2 – 2m + 1)
Theo định lí Vi-et ta có: x1 + x2 = 2m
Từ giả thiết đề bài, tổng các tung độ giao điểm bằng 2 nên ta có:
2mx1 – 2m + 1 + 2mx2 – 2m + 1 = 2
⇔ 2m (x1 + x2) – 4m + 2 = 2
⇔ 4m2 - 4m = 0 ⇔ 4m(m - 1) = 0
Đối chiếu với điều kiện m ≠ 1, thì m = 0 thỏa mãn.
Bài 3:
A > 0 ⇔ > 0 ⇔ 5 - 5√x > 0 ⇔ √x < 1 ⇔ x < 1
Vậy A > 0 khi 0 < x < 1
Bài 4:
a) Do M là điểm chính giữa cung CD nên OM ⊥ CD
=> ∠KIN = 90o
Xét tứ giác IKEN có:
∠KIN = 90o
∠KEN = 90o (góc nội tiếp chắn nửa đường tròn)
=> ∠KIN + ∠KEN = 180o
=> Tứ giác IKEN là tứ giác nội tiếp
b) Xét ΔMEI và ΔMNK có:
∠NME là góc chung
∠IEM = ∠MNK ( 2 góc nội tiếp cùng chắn cung IK)
=> ΔMEI ∼ ΔMNK (g.g)
=>EI.MN = NK.ME
c) Xét tam giác MNP có:
ME ⊥ NP; PI ⊥ MN
ME giao PI tại K
=> K là trực tâm của tam giác MNP
=> ∠NQP = 90o
Xét tứ giác NIQP có:
∠NQP = 90o
∠NIP = 90o
=> 2 đỉnh Q, I cùng nhìn cạnh NP dưới 1 góc bằng nhau
=> tứ giác NIQP là tứ giác nội tiếp
=> ∠QIP = ∠QNP (2 góc nội tiếp cùng chắn cung PQ)(1)
Mặt khác IKEN là tứ giác nội tiếp
=> ∠KIE = ∠KNE (2 góc nội tiếp cùng chắn cung KE)(2)
Từ (1) và (2)
=> ∠QIP = ∠KIE
=> IE là tia phân giác của ∠QIE
d) Ta có:
Mà ∠DEM = ∠MEC (2 góc nội tiếp chắn 2 cung bằng nhau)
=> ∠EHC = ∠ECH => ΔEHC cân tại E
=> EN là đường trung trực của CH
Xét đường tròn (O) có: Đường kính OM vuông góc với dây CD tại I
=> NI là đường trung trực của CD => NC = ND
EN là đường trung trực của CH => NC = NH
=> N là tâm đường tròn ngoại tiếp tam giác DCH
=> H ∈ (N, NC)
Mà N, C cố định => H thuộc đường tròn cố định
Xem thử Đề ôn vào 10 Xem thử Đề vào 10 Hà Nội Xem thử Đề vào 10 TP.HCM Xem thử Đề vào 10 Đà Nẵng
Xem thêm các đề thi vào lớp 10 môn Toán có đáp án hay khác:
- Đề thi thử Toán vào 10 năm 2026 (cả nước)
- Bộ Đề thi vào lớp 10 môn Toán TP Hà Nội có đáp án
- Tổng hợp Đề thi vào lớp 10 chuyên Toán
Để học tốt lớp 10 các môn học sách mới:
- Giải bài tập Lớp 10 Kết nối tri thức
- Giải bài tập Lớp 10 Chân trời sáng tạo
- Giải bài tập Lớp 10 Cánh diều
Tủ sách VIETJACK luyện thi vào 10 cho 2k11 (2026):
Đã có app VietJack trên điện thoại, giải bài tập SGK, SBT Soạn văn, Văn mẫu, Thi online, Bài giảng....miễn phí. Tải ngay ứng dụng trên Android và iOS.
Theo dõi chúng tôi miễn phí trên mạng xã hội facebook và youtube:Loạt bài Đề thi vào lớp 10 môn Toán (có đáp án) được các Giáo viên hàng đầu biên soạn theo cấu trúc ra đề thi Trắc nghiệm, Tự luận mới giúp bạn ôn luyện và giành được điểm cao trong kì thi vào lớp 10 môn Toán.
Nếu thấy hay, hãy động viên và chia sẻ nhé! Các bình luận không phù hợp với nội quy bình luận trang web sẽ bị cấm bình luận vĩnh viễn.
- Giáo án lớp 9 (các môn học)
- Giáo án điện tử lớp 9 (các môn học)
- Giáo án Toán 9
- Giáo án Ngữ văn 9
- Giáo án Tiếng Anh 9
- Giáo án Khoa học tự nhiên 9
- Giáo án Vật Lí 9
- Giáo án Hóa học 9
- Giáo án Sinh học 9
- Giáo án Địa Lí 9
- Giáo án Lịch Sử 9
- Giáo án GDCD 9
- Giáo án Tin học 9
- Giáo án Công nghệ 9
- Đề thi lớp 9 (các môn học)
- Đề thi Ngữ Văn 9 (có đáp án)
- Đề thi Toán 9 (có đáp án)
- Đề thi Tiếng Anh 9 mới (có đáp án)
- Đề thi Tiếng Anh 9 (có đáp án)
- Đề thi Khoa học tự nhiên 9 (có đáp án)
- Đề thi Lịch Sử và Địa Lí 9 (có đáp án)
- Đề thi GDCD 9 (có đáp án)
- Đề thi Tin học 9 (có đáp án)
- Đề thi Công nghệ 9 (có đáp án)


Giải bài tập SGK & SBT
Tài liệu giáo viên
Sách
Khóa học
Thi online
Hỏi đáp

