Đề thi tuyển sinh vào lớp 10 Toán Chuyên Lương Văn Tụy
Đề thi tuyển sinh vào lớp 10 Toán Chuyên Lương Văn Tụy
Để mua trọn bộ Đề thi vào 10 Toán năm 2026 theo cấu trúc mới bản word có lời giải chi tiết, đẹp mắt, quý Thầy/Cô vui lòng xem thử:
Xem thử Bộ đề ôn Toán Chuyên Xem thử Bộ đề Toán 8+
Chỉ từ 150k mua trọn bộ đề thi theo cấu trúc mới bản word có lời giải chi tiết:
- B1: gửi phí vào tk:
1133836868- CT TNHH DAU TU VA DV GD VIETJACK - Ngân hàng MB (QR) - B2: Nhắn tin tới Zalo VietJack Official - nhấn vào đây để thông báo và nhận đề thi
Sở Giáo dục và Đào tạo .....
Kì thi tuyển sinh vào lớp 10 THPT chuyên
Đề thi môn: Toán
Năm học: ......
Thời gian: 150 phút (không kể thời gian giao đề)
Câu 1 (2 điểm):
a) Rút gọn biểu thức:
b) Tính giá trị biểu thức:
Câu 2 (2 điểm):
a) Tìm tất cả các giá trị của tham số m sao cho hệ phương trình
b) Tìm tất cả các giá trị của tham số m sao cho parabol (P): y = x2cắt đường thẳng d: y = mx – 2 tại 2 điểm phân biệt A(x1;y1) và B(x2;y2) thỏa mãn: y1+y2=2(x1+x2)-1
Câu 3 (2 điểm):
a) Giải phương trình:
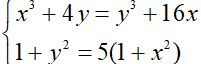
b) Giải hệ phương trình:
Câu 4 (3 điểm): Cho tam giác ABC vuông tại A (AB < AC) ngoại tiếp đường tròn tâm O. Gọi D,E,F lần lượt là tiếp điểm của (O) với các cạnh AB,AC,BC. Đường thẳng BO cắt các đường thẳng EF và DF lần lượt tại I và K.
1) Tính số đo góc BIF
2) Giả sử M là điểm di chuyển trên đoạn CE .
a) Khi AM = AB, gọi H là giao điểm của BM và EF. Chứng minh rằng ba điểm A,O,H thẳng hàng, từ đó suy ra tứ giác ABHI nội tiếp
b) Gọi N là giao điểm của đường thẳng BM với cung nhỏ EF của (O), P, Q lần lượt là hình chiếu của N trên các đường thẳng DE và DF. Xác định vị trí điểm M để độ dài đoạn thẳng PQ max.
Câu 5 (1,0 điểm): Cho a, b, c là các số dương thỏa mãn điều kiện . Chứng minh rằng:
Xem thử Bộ đề ôn Toán Chuyên Xem thử Bộ đề Toán 8+
Xem thêm các đề thi tuyển sinh vào lớp 10 môn Toán chuyên trên cả nước khác:
Đề thi tuyển sinh vào lớp 10 Toán Chuyên Nguyễn Trãi năm 2015-2016
Đề thi tuyển sinh vào lớp 10 Toán Chuyên Thành Phố Hồ Chí Minh
Đề thi tuyển sinh vào lớp 10 Toán Chuyên Năng Khiếu Trần Phú
Để học tốt lớp 10 các môn học sách mới:
- Giải bài tập Lớp 10 Kết nối tri thức
- Giải bài tập Lớp 10 Chân trời sáng tạo
- Giải bài tập Lớp 10 Cánh diều
Tủ sách VIETJACK luyện thi vào 10 cho 2k11 (2026):
Đã có app VietJack trên điện thoại, giải bài tập SGK, SBT Soạn văn, Văn mẫu, Thi online, Bài giảng....miễn phí. Tải ngay ứng dụng trên Android và iOS.
Theo dõi chúng tôi miễn phí trên mạng xã hội facebook và youtube:Loạt bài Đề thi vào lớp 10 môn Toán (có đáp án) được các Giáo viên hàng đầu biên soạn theo cấu trúc ra đề thi Trắc nghiệm, Tự luận mới giúp bạn ôn luyện và giành được điểm cao trong kì thi vào lớp 10 môn Toán.
Nếu thấy hay, hãy động viên và chia sẻ nhé! Các bình luận không phù hợp với nội quy bình luận trang web sẽ bị cấm bình luận vĩnh viễn.
- Giáo án lớp 9 (các môn học)
- Giáo án điện tử lớp 9 (các môn học)
- Giáo án Toán 9
- Giáo án Ngữ văn 9
- Giáo án Tiếng Anh 9
- Giáo án Khoa học tự nhiên 9
- Giáo án Vật Lí 9
- Giáo án Hóa học 9
- Giáo án Sinh học 9
- Giáo án Địa Lí 9
- Giáo án Lịch Sử 9
- Giáo án GDCD 9
- Giáo án Tin học 9
- Giáo án Công nghệ 9
- Đề thi lớp 9 (các môn học)
- Đề thi Ngữ Văn 9 (có đáp án)
- Đề thi Toán 9 (có đáp án)
- Đề thi Tiếng Anh 9 mới (có đáp án)
- Đề thi Tiếng Anh 9 (có đáp án)
- Đề thi Khoa học tự nhiên 9 (có đáp án)
- Đề thi Lịch Sử và Địa Lí 9 (có đáp án)
- Đề thi GDCD 9 (có đáp án)
- Đề thi Tin học 9 (có đáp án)
- Đề thi Công nghệ 9 (có đáp án)


Giải bài tập SGK & SBT
Tài liệu giáo viên
Sách
Khóa học
Thi online
Hỏi đáp

