Đề thi vào lớp 10 chuyên Vật Lí tỉnh Bắc Giang có đáp án
Đề thi vào lớp 10 chuyên Vật Lí tỉnh Bắc Giang có đáp án
Sở Giáo dục và Đào tạo tỉnh Bắc Giang
Kỳ thi tuyển sinh vào lớp 10 THPT chuyên
Đề thi môn: Vật Lí
Năm học: .....
Thời gian: 150 phút
Câu 1. (3,0 điểm)
Một chiếc ca nô chuyển động trên quãng sông thẳng nhất định AB, người lái ca nô nhận thấy: Để đi hết quãng sông, những hôm nước sông chảy thì thời gian ca nô khi xuôi dòng từ A đến B ít hơn thời gian những hôm nước sông đứng yên là 9 phút, còn khi ngược dòng từ B về A hết khoảng thời gian là 1 giờ 24 phút.
Tính thời gian ca nô chuyển động từ A đến B những hôm nước sông yên lặng. Coi tốc độ dòng nước những hôm nước sông chảy đối với bờ là không đổi và công suất ca nô luôn luôn ổn định.
Câu 2. (4,0 điểm)
Thanh AB không đồng chất dài AB = L, trọng lượng P, có trọng tâm G cách đầu A là 0,6L. Đầu A của thanh tựa vào bức tường thẳng đứng, còn trung điểm M của thanh được buộc bằng sợi dây MC cột vào tường (Hình 1). Khi thanh cân bằng hợp với tường góc 60o và CA = L.
1. Hãy phân tích và biểu diễn các lực tác dụng vào thanh AB.
2. Tính độ lớn các lực tác dụng lên thanh AB theo P.
3. Xác định hệ số ma sát k giữa thanh và tường để thanh cân bằng. Biết lực ma sát giữ thanh đứng yên được tính theo công thức
trong đó N là áp lực.
Câu 3. (3,0 điểm)
Cho hai bình cách nhiệt hoàn toàn với môi trường ngoài. Người ta đổ vào mỗi bình 300g nước, bình 1 nước có nhiệt độ +55,6 oC và bình 2 nước có nhiệt độ +30 oC. Bỏ qua sự mất nhiệt khi đổ, khi khuấy và nhiệt dung của 2 bình.
1. Lấy ra 100 g nước từ bình 1 đổ sang bình 2 rồi khuấy đều. Tính nhiệt độ của nước ở bình 2 khi cân bằng nhiệt.
2. Từ bình 2 (khi đã cân bằng nhiệt) lấy ra 100 g nước đổ sang bình 1 rồi khuấy đều. Tính nhiệt độ của nước ở bình 1 khi cân bằng nhiệt và hiệu nhiệt độ giữa 2 bình khi đó.
3. Cứ đổ đi đổ lại như thế với cùng 100 g nước lấy ra. Tìm số lần đổ từ bình 2 sang bình 1 để hiệu nhiệt độ của nước trong hai bình khi cân bằng nhiệt là 0,4 oC.
Câu 4. (4,0 điểm)
Cho mạch điện như hình 2. Hiệu điện thế giữa hai đầu đoạn mạch có giá trị không đổi là U = 18 V. Đèn dây tóc Đ trên đó có ghi 12V-12W. Các điện trở
và biến trở Rx. Khoá K, dây nối và ampe kế có điện trở không đáng kể.
1. Thay đổi giá trị của biến trở Rx để đèn sáng bình thường. Tìm giá trị của điện trở Rx trong các trường hợp:
a) Khoá K mở.
b) Khoá K đóng. Trong trường hợp này, số chỉ ampe kế bằng bao nhiêu?
2. Khoá K đóng, biến trở có giá trị
. Thay bóng đèn trên bằng một bóng đèn khác mà cường độ dòng điện IĐ qua bóng đèn phụ thuộc vào hiệu điện thế UĐ ở hai đầu bóng đèn theo hệ thức
(Trong đó UĐ đơn vị đo bằng vôn, IĐ đơn vị đo bằng ampe). Tìm hiệu điện thế ở hai đầu bóng đèn.
Câu 5. (4,0 điểm)
Điểm sáng S nằm trên trục chính của một thấu kính hội tụ có tiêu cự là f, cách tiêu điểm gần nó nhất một khoảng 1,5f cho ảnh thật S’ cách tiêu điểm gần S’ nhất là
cm.
1. Xác định vị trí ban đầu của S đối với thấu kính và tiêu cự f của thấu kính.
2. Cho điểm sáng S nằm trên trục chính, ngoài tiêu điểm và cách thấu kính một khoảng là d. Khi S chuyển động theo phương lập với trục chính một góc α = 60o theo hướng tiến lại gần thấu kính thì phương chuyển động của ảnh thật lập với trục chính một góc β = 30o. Tính d.
3. Đặt thấu kính trên trong khoảng giữa hai điểm sáng A và B sao cho A, B nằm trên trục chính của thấu kính, cách nhau một đoạn 72 cm và ảnh A’ của A trùng với ảnh B’ của B. Sau đó, cố định vị trí của A, B và tịnh tiến thấu kính theo phương vuông góc với trục chính với tốc độ không đổi v = 4 cm/s. Xác định tốc độ chuyển động tương đối của A’ so với B’.
Chú ý: Học sinh được sử dụng trực tiếp công thức thấu kính khi làm bài.
Câu 6. (2,0 điểm) Cho các dụng cụ sau:
+ 01 thanh than chì AB (đồng chất và có kích thước, hình dạng như ruột một chiếc bút chì).
+ 01 ampe kế một chiều.
+ 01 vôn kế một chiều.
+ 01 nguồn điện một chiều.
+ 01 điện trở Ro.
+ 01 thước thẳng (có độ chia nhỏ nhất đến 1 mm).
+ 01 cuộn chỉ sợi mảnh.
+ 04 đoạn dây dẫn một đầu có phích cắm, đầu còn lại được tách vỏ cách điện.
+ Các dây nối, bảng mạch điện, khóa K.
Yêu cầu: Hãy đề xuất phương án đo điện trở suất của thanh than chì AB (cơ sở lý thuyết và các bước tiến hành thí nghiệm).
———— HẾT————
Cán bộ coi thi không giải thích gì thêm.
Họ và tên thí sinh:…………………………….Số báo danh: …………………
Hướng dẫn chấm bài thi tuyển Sinh 10 THPT Chuyên Bắc Giang
Câu 1: (3,0 đ)
- Gọi độ dài quãng sông, vận tốc ca nô, vận tốc của nước sông lần lượt là S = AB, v, u.
- Thời gian ca nô chạy hết quãng sông khi nước sông đứng yên là
- Thời gian ca nô chạy hết quãng sông khi xuôi dòng
- Theo bài ra ta có:
Thời gian ca nô chạy hết quãng sông khi ngược dòng:
- Chia vế với vế của (2) và (3) ta được:
- Biến đổi và rút gọn ta được: 28u2 + 3v2 - 25uv = 0
- Chia cả 2 vế cho tích (v.u), ta được:
- Đặt
+ Với
thay vào (3), biến đổi
+ Với
thay vào (3), biến đổi
+ Cả 2 nghiệm đều được chấp nhận.
Câu 2: (4,0 đ)
1
Các lực tác dụng vào thanh AB được phân tích như hình vẽ.
+ Trọng lực:
+ Lực căng:
+ Phản lực:
+ Lực ma sát:
(Hình vẽ đúng: 0,5 điểm; kể tên các lực đúng: 0,5 điểm)
2
Vì AB = AC = L và
nên DACB đều. Do đó
Từ điều kiện cân bằng của thanh AB đối với trục quay A, ta có:
- Điều kiện cân bằng lực, ta có:
+ Chiếu (2) lên Ox:
+ Chiếu (2) lên Oy:
3
Theo đầu bài:
Vậy:
Câu 3: (3,0 đ)
1
- Gọi nhiệt dung của nước là c.
Nhiệt độ ban đầu của bình 1 là t01 = 55,6 oC, nhiệt độ ban đầu của bình 2 là t02 = 30 oC, lượng nước chuyển là
.
Sau lần đổ thứ nhất, nhiệt độ bình 1 là 55,6 oC, gọi nhiệt độ bình 2 là t1.
- Áp dụng phương trình cân bằng nhiệt đối với bình 2:
- Suy ra nhiệt độ:
2
- Sau lần đổ thứ hai, nhiệt độ bình 2 là 36,4oC, gọi nhiệt độ bình 1 là t2.
Áp dụng phương trình cân bằng nhiệt đối với bình 1:
- Suy ra:
- Hiệu nhiệt độ 2 bình
3
- Đặt
- Dễ dàng thấy rằng để tìm hiệu nhiệt độ của hai bình sau lần đổ thứ 3 và thứ 4:
- Như vậy, cứ mỗi lần đổ đi đổ lại thì hiệu nhiệt độ hai bình thay đổi
- Sau n lần đổ từ bình 2 sang bình 1, ứng với lần đổ thứ 2n thì hiệu nhiệt độ 2 bình
- Để hiệu nhiệt độ bằng 0,4oC, hay
suy ra 2n = 64 = 26 suy ra n = 6.
Kết luận: Sau 6 lần đổ từ bình 2 sang bình 1 hoặc với lần đổ thứ 12 nếu tính số lần đổ của cả 2 bình.
Câu 4: (4,0 đ)
a) K mở [(R1 nt R2)//Đ] nt Rx
Đèn sáng bình thường Uđ = U12 = 12V, Iđ = 1A,
Suy ra I12 = 1A
Ix = Iđ + I12 = 2A
Ux = U - Uđ = 6V suy ra
b) K đóng [(Đ nt (R2 // Rx)] // R1,
- Vì đèn sáng bình thường: Uđ = U12 = 12V, Iđ = 1A
Ux = U2 = U - Uđ = 6V, I2 = 2/3A,
Ix = Iđ - I2 = 1/3A, suy ra
suy ra I1 = 6A
- Số chỉ ampe kế IA = I1 + I2 = 20/3A
- K đóng
- Phương trình
; có nghiệm UĐ = 3V; UĐ = -3,6 (loại)
Câu 5: (4 điểm)
1
Ta có:
Mà
Vậy: f = 20 cm, d = 50 cm.
2
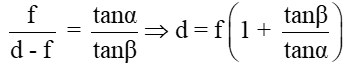
Nguồn sáng S đi qua trục chính tại điểm nằm ngoài tiêu cự cho ta ảnh thật .
Ký hiệu OS = d, OS' = d',
Từ hình vẽ ta có:
Mà
thay vào ta có:
Thay các giá trị đã cho ta được
3
Do 2 điểm A, B nằm 2 bên thấu kính và ảnh của A, B trùng nhau nên tính chất ảnh của chúng khác nhau.
Giả sử A cho ảnh thật A’ và B cho ảnh ảo B’
Gọi d'A, d'B lần lượt là các giá trị ứng với vị trí của ảnh A’, B’.
Ta có:
với dB = 72 – dA (cm) (2)
+ Để A’ trùng với B’thì (3)
Từ (1), (2) & (3) ⟹ dA = 60 cm, dB = 12 cm, (thỏa mãn giả thiết )
+ A’, B’ chuyển động ngược chiều nhau, với tốc độ của A’, B’ đối với A lần lượt là
Tốc độ tương đối của A’ so B’: V'AB = V'A + V'B = 12 cm/s.
Câu 6: (2,0 đ)
1 Cơ sở lý thuyết
Điện trở của thanh than chì:
Dùng sợi chỉ mảnh có chiều dài L cuốn N vòng sát nhau quanh thanh than chì:
Thay vào (1) ta được:
+ Dùng thước thẳng đo chiều dài L của đoạn chỉ và đếm số vòng chỉ đã cuốn.
+ Đo điện trở R (dùng vôn kế (đo U) và ampe kế (đo I)).
+ Dùng thước thẳng đo chiều dài l của thanh than chì phần có điện trở R.
+ Bảng số liệu: N = …… (vòng); L = …… (m); I = ….. (A)
(Bảng số liệu ở dưới)
2 Các bước tiến hành
Bước 1: Dùng sợi chỉ mảnh cuốn N vòng sát nhau quanh AB, dùng thước thẳng đo chiều dài L của đoạn chỉ đó. Ghi các giá trị N, L vào bảng số liệu. Mắc mạch điện như hình vẽ (các vị trí dây nối với thanh than chì phải cuốn nhiều vòng để hạn chế điện trở tiếp xúc). Đóng khóa K, ghi số chỉ của ampe kế vào bảng số liệu.
Bước 2: Dùng thước thẳng đo chiều dài l, ghi vào bảng số liệu. Đóng khóa K, ghi số chỉ của vôn kế vào bảng số liệu.
Bước 3: Thực hiện lại bước 2 với ít nhất hai giá trị khác nhau của l.
Bước 4: Tính toán và xử lí số liệu, viết kết quả đo được:
- Tính giá trị: p1; p2; p3 ở mỗi lần đo.
- Tính giá trị trung bình điện trở suất của thanh than chì:
Bảng số liệu
Chú ý khi chấm bài:
- Thí sinh làm đúng theo cách khác vẫn cho điểm tối đa của phần đó.
- Nếu sai hoặc thiếu đơn vị 1 lần thì trừ 0,25 điểm; trừ toàn bài không quá 0,5 điểm cho lỗi này.
Xem thêm các Đề thi chuyên Vật Lí vào lớp 10 chọn lọc, có đáp án hay khác:
Đề thi vào lớp 10 chuyên Vật Lí trường DHSP Hà Nội có đáp án
Đề thi vào lớp 10 chuyên Vật Lí trường KHTN Hà Nội có đáp án
Đề thi vào lớp 10 chuyên Vật Lí tỉnh Vĩnh Phúc 2012 - 2013 có đáp án
Để học tốt lớp 10 các môn học sách mới:
- Giải bài tập Lớp 10 Kết nối tri thức
- Giải bài tập Lớp 10 Chân trời sáng tạo
- Giải bài tập Lớp 10 Cánh diều
Tủ sách VIETJACK luyện thi vào 10 cho 2k11 (2026):
Đã có app VietJack trên điện thoại, giải bài tập SGK, SBT Soạn văn, Văn mẫu, Thi online, Bài giảng....miễn phí. Tải ngay ứng dụng trên Android và iOS.
Theo dõi chúng tôi miễn phí trên mạng xã hội facebook và youtube:Loạt bài Đề thi vào lớp 10 môn Vật Lí (có đáp án) được các Giáo viên hàng đầu biên soạn theo cấu trúc ra đề thi Trắc nghiệm, Tự luận mới giúp bạn ôn luyện và giành được điểm cao trong kì thi vào lớp 10 môn Vật Lí.
Nếu thấy hay, hãy động viên và chia sẻ nhé! Các bình luận không phù hợp với nội quy bình luận trang web sẽ bị cấm bình luận vĩnh viễn.
- Giáo án lớp 9 (các môn học)
- Giáo án điện tử lớp 9 (các môn học)
- Giáo án Toán 9
- Giáo án Ngữ văn 9
- Giáo án Tiếng Anh 9
- Giáo án Khoa học tự nhiên 9
- Giáo án Vật Lí 9
- Giáo án Hóa học 9
- Giáo án Sinh học 9
- Giáo án Địa Lí 9
- Giáo án Lịch Sử 9
- Giáo án GDCD 9
- Giáo án Tin học 9
- Giáo án Công nghệ 9
- Đề thi lớp 9 (các môn học)
- Đề thi Ngữ Văn 9 (có đáp án)
- Đề thi Toán 9 (có đáp án)
- Đề thi Tiếng Anh 9 mới (có đáp án)
- Đề thi Tiếng Anh 9 (có đáp án)
- Đề thi Khoa học tự nhiên 9 (có đáp án)
- Đề thi Lịch Sử và Địa Lí 9 (có đáp án)
- Đề thi GDCD 9 (có đáp án)
- Đề thi Tin học 9 (có đáp án)
- Đề thi Công nghệ 9 (có đáp án)


Giải bài tập SGK & SBT
Tài liệu giáo viên
Sách
Khóa học
Thi online
Hỏi đáp

