Đề ôn thi vào lớp 10 môn Vật Lí năm 2026 có đáp án (Trắc nghiệm - Đề 4)
Đề thi vào lớp 10
Môn thi: Vật Lí (Công lập)
Thời gian làm bài: 60 phút
Câu :
I. Phần trắc nghiệm
Câu 1: Hai dây dẫn đều làm bằng đồng có cùng tiết diện S. Dây thứ nhất có chiều dài 20cm và điện trở 5Ω. Dây thứ hai có điện trở 8Ω. Chiều dài dây thứ hai là:
A. 32cm. B.12,5cm.
C. 2cm. D. 23 cm.
Câu 2: Khi tia sáng truyền từ không khí vào nước, gọi i là góc tới và r là góc khúc xạ thì
A. r < i. B. r > i.
C. r = i. D. 2r = i.
Câu 3: Xét một tia sáng truyền từ không khí vào nước. Thông tin nào sau đây là sai?
A. Góc tới luôn luôn lớn hơn góc khúc xạ.
B. Khi góc tới tăng thì góc khúc xạ cũng tăng.
C. Khi góc tới bằng 0o thì góc khúc xạ cũng bằng 0o.
D. Khi góc tới bằng 45o thì góc khúc xạ bằng 45o.
Câu 4: Vật liệu nào không được dùng làm thấu kính
A. Thuỷ tinh trong. B. Nhựa trong.
C. Nhôm. D. Nước.
Câu 5: Nội dung nào sau đây thể hiện đầy đủ định luật bảo toàn năng lượng?
A. Năng lượng không tự sinh ra và mất đi mà chỉ biến đổi từ dạng này sang dạng khác.
B. Năng lượng không tự mất đi mà chỉ biến đổi từ dạng này sang dạng khác.
C. Muốn thu được một dạng năng lượng này thì phải tiêu hao một dạng năng lượng khác.
D. Muốn thu được một dạng năng lượng này thì phải tiêu hao một hay nhiều dạng năng lượng khác.
Câu 6: Biến trở là một linh kiện :
A. Dùng để thay đổi vật liệu dây dẫn trong mạch.
B. Dùng để điều chỉnh cường độ dòng điện trong mạch.
C. Dùng để điều chỉnh hiệu điện thế giữa hai đầu mạch.
D. Dùng để thay đổi khối lượng riêng dây dẫn trong mạch.
Câu 7: Đặt một vật AB hình mũi tên vuông góc với trục chính của thấu kính hội tụ tiêu cự f và cách thấu kính một khoảng d > 2f thì ảnh A’B’của AB qua thấu kính có tính chất là
A. ảnh thật, ngược chiều và nhỏ hơn vật.
B. ảnh thật, cùng chiều và nhỏ hơn vật.
C. ảnh thật, ngược chiều và lớn hơn vật.
D. ảnh thật, cùng chiều và lớn hơn vật.
Câu 8: Vật AB đặt trước thấu kính hội tụ có tiêu cự f và cách thấu kính một khoảng OA cho ảnh A’B’ ngược chiều cao bằng vật AB thì
A. OA = f. B. OA = 2f.
C. OA > f. D. OA < f.
Câu 9: Dòng điện xoay chiều xuất hiện trong cuộn dây dẫn kín khi
A. Cho nam châm nằm yên trong lòng cuộn dây.
B. Cho nam châm quay trước cuộn dây.
C. Cho nam châm đứng yên trước cuộn dây.
D. Đặt cuộn dây trong từ trường của một nam châm.
Câu 10: Một thấu kính phân kì có tiêu cự 25cm. Khoảng cách giữa hai tiêu điểm F và F’ là
A. 12,5cm. B. 25cm.
C. 37,5cm. D. 50cm.
Câu 11: Trong các kính lúp sau, kính lúp nào khi dùng để quan sát một vật sẽ cho ảnh lớn nhất?
A. Kính lúp có số bội giác G = 5.
B. Kính lúp có số bội giác G = 5,5.
C. Kính lúp có số bội giác G = 6.
D. Kính lúp có số bội giác G = 4.
Câu 12: Hiện tượng nào sau đây không liên quan đến hiện tượng cảm ứng điện từ?
A. Dòng điện xuất hiện trong dây dẫn kín khi cuộn dây chuyển động trong từ trường
B. Dòng điện xuất hiện trong cuộn dây khi nối hai đầu cuộn dây với đinamô xe đạp đang quay
C. Dòng điện xuất hiện trong cuộn dây nếu bên cạnh đó có một dòng điện khác đang thay đổi
D. Dòng điện xuất hiện trong cuộn dây nếu nối hai đầu cuộn dây vào hai cực của bình acquy.
Câu 13: Chọn câu trả lời sai:
Một quạt điện có ba nút điều chỉnh tốc độ quay nhanh theo thứ tự tăng dần của các nút (1), (2) và (3).Công suất của quạt khi bật :
A. Nút (3) là lớn nhất.
B. Nút (1) là lớn nhất.
C. Nút (1) nhỏ hơn công suất nút (2).
D. Nút (2) nhỏ hơn công suất nút (3).
Câu 14: Trên cùng một đường dây tải điện, nếu tăng hiệu điện thế ở hai đầu dây dẫn lên 100 lần thì công suất hao phí do tỏa nhiệt trên đường dây sẽ
A. tăng 102 lần. B. giảm 102 lần.
C. tăng 104 lần. D. giảm 104 lần.
Câu 15: Gọi n1; U1 là số vòng dây và hiệu điện thế giữa hai đầu cuộn sơ cấp. Gọi n2 ; U2 là số vòng dây và hiệu điện thế giữa hai đầu cuộn thứ cấp của một máy biến thế. Hệ thức đúng là
A.
B. U1. n1 = U2. n2.
C. U1 + U2 = n1 + n2. D. U1 – U2 = n1 – n2
Câu 16: Hiệu điện thế giữa hai đầu dây cuộn sơ cấp và cuộn thứ cấp của một máy biến thế lần lượt là 110V và 220V. Nếu số vòng dây cuộn thứ cấp là 110 vòng, thì số vòng dây cuộn sơ cấp là
A. 2200 vòng. B. 550 vòng.
C. 220 vòng. D. 55 vòng.
Câu 17: Một máy biến thế có số vòng dây cuộn sơ cấp gấp 3 lần số vòng dây cuộn thứ cấp thì hiệu điện thế ở hai đầu cuộn thứ cấp so với hiệu điện thế ở hai đầu cuộn sơ cấp sẽ
A. Giảm 3 lần. B. Tăng 3 lần.
C. Giảm 6 lần. D. Tăng 6 lần.
Câu 18: Trên một đường dây truyền tải điện có công suất truyền tải không đổi, nếu tăng tiết diện dây dẫn lên gấp đôi, đồng thời cũng tăng hiệu điện thế truyền tải điện năng lên gấp đôi thì công suất hao phí trên đường dây tải điện sẽ
A. Giảm đi tám lần.
B. Giảm đi bốn lần.
C. Giảm đi hai lần.
D. Không thay đổi.
Câu 19: Về mùa hè, ban ngày khi ra đường phố ta không nên mặt quần áo màu tối vì quần áo màu tối
A. hấp thụ ít ánh sáng, nên cảm thấy nóng.
B. hấp thụ nhiều ánh sáng, nên cảm thấy nóng.
C. tán xạ ánh sáng nhiều, nên cảm thấy nóng.
D. tán xạ ánh sáng ít, nên cảm thấy mát.
Câu 20: Đồ thị biểu diễn sự phụ thuộc của cường độ dòng điện vào hiệu điện thế giữa hai đầu dây dẫn có dạng là
A. Một đường thẳng đi qua gốc tọa độ.
B. Một đường thẳng không đi qua gốc tọa độ.
C. Một đường cong đi qua gốc tọa độ.
D. Một đường cong không đi qua gốc tọa độ.
Câu 21: Hiện tượng nào sau đây không phải là sự trộn các ánh sáng màu?
A. Chiếu ánh sáng tím với ánh sáng vàng vào cùng một chổ trên tấm màn màu trắng. Ta thu được ánh sáng có màu khác.
B. Chiếu ánh sáng đỏ, lục, lam với độ mạnh yếu thích hợp lên tấm màn màu trắng. Ta thu được ánh sáng màu trắng.
C. Chiếu ánh sáng trắng lên mặt ghi của đĩa CD cho tia phản xạ lên tấm màn màu trắng. Ta thu được ánh sáng có nhiều màu khác nhau.
D. Chiếu ánh sáng đỏ, lục, lam với độ mạnh yếu khác nhau lần lượt lên tấm màn màu trắng. Ta lần lượt thu được ánh sáng có nhiều màu khác nhau.
Câu 22: Điện trở R của dây dẫn biểu thị cho
A. Tính cản trở dòng điện nhiều hay ít của dây.
B. Tính cản trở hiệu điện thế nhiều hay ít của dây.
C. Tính cản trở electron nhiều hay ít của dây.
D. Tính cản trở điện lượng nhiều hay ít của dây.
Câu 23: Một dây dẫn khi mắc vào hiệu điện thế 5V thì cường độ dòng điện qua nó là 100mA. Khi hiệu điện thế tăng thêm 20% giá trị ban đầu thì cường độ dòng điện qua nó là:
A. 25mA. B. 80mA.
C. 110mA. D. 120mA.
Câu 24: Hai điện trở R1 , R2 mắc song song với nhau. Biết R1 = 6Ω điện trở tương đương của mạch là Rtđ = 3Ω. Thì R2 là
A. R2 = 2Ω B. R2 = 3,5Ω
C. R2 = 4Ω D. R2 = 6Ω
Câu 25: Điện trở R1 = 10Ω chịu được hiệu điện thế lớn nhất đặt vào hai đầu của nó là U1 = 6V. Điện trở R2 = 5Ω chịu được hiệu điện thế lớn nhất đặt vào hai đầu của nó là U2 = 4V. Đoạn mạch gồm R1 và R2 mắc nối tiếp chịu được hiệu điện thế lớn nhất đặt vào hai đầu của đoạn mạch này là:
A. 10V. B. 12V.
C. 9V. D.8V
Câu 26: Kính lúp có độ bội giác G = 5, tiêu cự f của kính lúp đó là
A. 5cm. B. 10cm.
C. 20cm. D. 30cm.
Câu 27: Chọn câu đúng
Có thể coi con mắt là một dụng cụ quang học tạo ra
A. Ảnh thật của vật, nhỏ hơn vật
B. Ảnh thật của vật, cùng chiều với vật
C. Ảnh ảo của vật, nhỏ hơn vật
D. Ảnh ảo của vật cùng chiều với vật
Câu 28: Hiện tuợng nào dưới đây không tuân theo định luật bảo toàn năng lượng
A. Bếp nguội đi khi tắt lửa.
B. Xe dừng lại khi tắt máy.
C. Bàn là nguội đi khi tắt điện.
D. Không có hiện tượng nào.
Câu 29: Nguồn phát điện gây ô nhiễm môi trường nhiều nhất là
A. nhà máy phát điện gió.
B. pin mặt trời.
C. nhà máy thuỷ điện.
D. nhà máy nhiệt điện
Câu 30: Quá trình chuyển hóa năng lượng trong nhà máy điện hạt nhân là:
A. Năng lượng hạt nhân – Cơ năng – Điện năng
B. Năng lượng hạt nhân – Cơ năng – Nhiệt năng – Điện năng.
C. Năng lượng hạt nhân – Thế năng – Điện năng.
D. Năng lượng hạt nhân – Nhiệt năng - Cơ năng – Điện năng.
Câu 31: Hiệu suất pin mặt trời là 10%. Điều này có nghĩa: Nếu pin nhận được
A. điện năng là 100J thì sẽ tạo ra quang năng là 10J.
B. năng lượng mặt trời là 100J thì sẽ tạo ra điện năng là 10J.
C. điện năng là 10J thì sẽ tạo ra quang năng là 100J.
D. năng lượng mặt trời là 10J thì sẽ tạo ra điện năng là 100J.
Câu 32: Khi chiếu chùm ánh sáng đỏ qua tấm lọc màu xanh, ở phía sau tấm lọc
A. ta thu được ánh sáng Màu đỏ.
B. ta thu được ánh sáng Màu xanh.
C. tối (không có ánh sáng truyền qua).
D. ta thu được ánh sáng Ánh sáng trắng.
Câu 33: Tác dụng của kính lão là để
A. tạo ảnh ảo nằm ngoài khoảng cực cận của mắt.
B. tạo ảnh ảo nằm trong khoảng cực cận của mắt.
C. tạo ảnh thật nằm ngoài khoảng cực cận của mắt.
D. tạo ảnh thật nằm trong khoảng cực cận của mắt.
Câu 34: Mắt tốt khi nhìn vật ở rất xa mà mắt không phải điều tiết thì ảnh của vật hiện trên màng lưới. Khi đó tiêu điểm của thể thủy tinh ở vị trí:
A. trên thể thủy tinh của mắt.
B. trước màng lưới của mắt.
C. trên màng lưới của mắt.
D. sau màng lưới của mắt.
Câu 35: Một người nhìn rõ một vật. Biết khoảng cách từ thể thủy tinh đến màng lưới của mắt người đó là 2cm. Khoảng cách từ ảnh của vật đó đến thể thủy tinh của mắt
A. bằng 0cm. B. bằng 2cm.
C. bằng 5cm. D. bằng vô cùng.
Câu 36: Chỉ ra câu sai
Máy ảnh cho phép ta làm được những gì
A. Tạo ảnh thật của vật, nhỏ hơn vật
B. Ghi lại ảnh thật đó trên phim hoặc bộ phận ghi ảnh
C. Tháo phim hoặc bộ phận ghi ảnh đó ra khỏi máy
D. Phóng to và in ảnh trong phim hoặc bộ phận ghi ảnh trên máy ảnh
Câu 37: Nhận định nào là không đúng ?
Để giảm điện trở của dây dẫn người ta :
A. Giảm tiết diện của dây dẫn và dùng vật liệu có điện trở suất nhỏ.
B. Dùng vật liệu có điện trở suất nhỏ.
C. Tăng tiết diện của dây dẫn và dùng vật liệu có điện trở suất nhỏ.
D. Tăng tiết diện của dây dẫn.
Câu 38: Một bóng đèn dây tóc có ghi 12V – 15W có thể mắc vào những mạch điện nào sau đây để đạt độ sáng đúng định mức:
A. Bình ăcquy có hiệu điện thế 15V.
B. Bình ăcquy có hiệu điện thế 12V đến dưới 15V.
C. Bình ăcquy có hiệu điện thế 12V.
D. Bình ăcquy có hiệu điện thế dưới 12V
Câu 39: Người ta chọn một số điện trở loại 2Ω và 4Ω để ghép nối tiếp thành đoạn mạch có điện trở tổng cộng 16Ω. Trong các phương án sau đây, phương án nào là sai?
A. Chỉ dùng 8 điện trở loại 2Ω.
B. Chỉ dùng 4 điện trở loại 4Ω.
C. Dùng 1 điện trở 4Ω và 6 điện trở 2Ω.
D. Dùng 2 điện trở 4Ω và 2 điện trở 2Ω.
Câu 40: Khi truyền tải một công suất điện P bằng một dây có điện trở R và đặt vào hai đầu đường dây một hiệu điện thế U, công thức xác định công suất hao phí Php do tỏa nhiệt là
Đáp án & Hướng dẫn giải
Câu 1: Đáp án A
Ta có:
Câu 2: Đáp án A
Truyền từ không khí vào nước thì r < i
Câu 3: Đáp án D
Góc tới bằng 45o thì góc tới sẽ khác 45o
Câu 4: Đáp án C
Nhôm không được dùng làm thấu kính hội tụ.
Câu 5: Đáp án A
Năng lượng không tự sinh ra và mất đi mà chỉ biến đổi từ dạng này sang dạng khác.
Câu 6: Đáp án B
Biến trở là một vật liệu dùng để điều chỉnh cường độ dòng điện trong mạch.
Câu 7: Đáp án A
d > 2f nên ảnh sẽ là ảnh thậ, ngược chiều và nhỏ hơn vật
Câu 8: Đáp án B
Ảnh cao bằng vật suy ra OA = 2f
Câu 9: Đáp án B
Dòng điện xoay chiều xuất hiện trong cuộn dây dẫn kín khi cho nam châm quay trước cuộn dây.
Câu 10: Đáp án D
Khoảng cách giữa 2 tiêu điểm là 2f = 50cm
Câu 11: Đáp án C
Kính có độ bội giác lớn sẽ cho ảnh lớn.
Câu 12: Đáp án D
Dòng điện xuất hiện trong cuộn dây nếu nối hai đầu cuộn dây vào hai cực của bình acquy.
Câu 13: Đáp án B
Nút (2) sẽ có công suất nhỏ nhất
Câu 14: Đáp án D
Khi tăng U lên 100 lấn thì P hao phí vì nhiệt sẽ giảm 10000 lần
Câu 15: Đáp án A
Công thức máy biến thế là:
Câu 16:Đáp án D
Câu 17: Đáp án A
Số vòng dây tỉ lệ với hiệu điện thế hai đầu cuộn dậy
Số vòng dây cuộn sơ cấp gấp 3 lần cuộn thứ cấp thì hiệu điện thế hai đầu cuộn thứ cấp sẽ giảm 3 lần so với hiệu điện thế hai đầu cuộn sơ cấp.
Câu 18: Đáp án A
Ta có
Suy ra nếu tăng tiết diện lên gấp 2 và tăng U lên gấp 2 nữa thì P hao phí sẽ giảm 8 lần.
Câu 19: Đáp án B
Quần áo tối hấp thụ nhiều ánh sáng, nên cảm thấy nóng
Câu 20: Đáp án A
Đồ thị biểu diễn sự phụ thuộc của cường độ dòng điện vào hiệu điện thế giữa hai đầu dây dẫn có dạng là một đường thẳng đi qua gốc tọa độ.
Câu 21: Đáp án C
Chiếu ánh sáng trắng lên mặt ghi của đĩa CD cho tia phản xạ lên tấm màn màu trắng. Ta thu được ánh sáng có nhiều màu khác nhau
Câu 22: Đáp án A
Tính cản trở dòng điện nhiều hay ít của dây.
Câu 23: Đáp án D
U2 = U1 + 20% U1 = 6V
Câu 24: Đáp án D
Ta có:
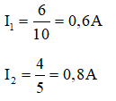
Câu 25: Đáp án C
Mắc nối tiếp nên I = I1 = I2 suy ra I chỉ chịu được cường độ I = I1 = 0,6A
Rtđ = R1 + R2 = 15Ω
→ U = 15.0,6 = 9V
Câu 26: Đáp án A
Câu 27: Đáp án A
Ảnh thật của vật, nhỏ hơn vật. Vì thể thủy tinh đóng vai trò như vật kính là một thấu kính hội tụ nên sẽ cho ảnh thật và ảnh nhỏ hơn vật.
Câu 28: Đáp án D
Không có hiện tượng nào.
Vì trong tất cả các hiện tượng trên có sự chuyển hóa năng lượng từ dạng này sang dạng khác, nhưng năng lượng toàn phần luôn được bảo toàn
Câu 29: Đáp án D
Nhà máy nhiệt điện.
Câu 30: Đáp án D
Năng lượng hạt nhân – Nhiệt năng - Cơ năng – Điện năng.
Câu 31: Đáp án B
Nếu pin nhận được năng lượng mặt trời là 100J thì sẽ tạo ra điện năng là 10J.
Câu 32: Đáp án C
Tối (không có ánh sáng truyền qua).
Câu 33: Đáp án A
Tạo ảnh ảo nằm ngoài khoảng cực cận của mắt.
Câu 34: Đáp án C
Trên màng lưới của mắt.
Câu 35: Đáp án B
Một người nhìn rõ một vật ⇒ ảnh ở trên võng mạc.
Khoảng cách từ ảnh của vật đó đến thể thủy tinh của mắt chính bằng khoảng cách từ thể thủy tinh đến màng lưới của mắt và bằng 2cm
Câu 36: Đáp án D
Phóng to và in ảnh trong ảnh phim hoặc bộ phận ghi ảnh trên giấy ảnh. Vì máy ảnh đều có thể cho phép làm những thứ như ở câu A, B, C nhưng ở câu D máy ảnh không thể làm được.
Câu 37: Đáp án A
Giảm tiết diện của dây dẫn và dùng vật liệu có điện trở suất nhỏ.
Câu 38: Đáp án C
Bình ăcquy có hiệu điện thế 12V
Câu 39: Đáp án D
Dùng 2 điện trở 4Ω và 2 điện trở 2Ω thì điện trở tương đương là 12 Ω
Câu 40: Đáp án B
Công suất hao phí
Xem thêm các Đề ôn thi vào lớp 10 môn Vật Lí chọn lọc, có đáp án hay khác:
Đề ôn thi vào lớp 10 môn Vật Lí năm 2026 có đáp án (Trắc nghiệm - Đề 5)
Đề ôn thi vào lớp 10 môn Vật Lí năm 2026 có đáp án (Trắc nghiệm - Đề 6)
Đề ôn thi vào lớp 10 môn Vật Lí năm 2026 có đáp án (Trắc nghiệm - Đề 7)
Đề ôn thi vào lớp 10 môn Vật Lí năm 2026 có đáp án (Trắc nghiệm - Đề 8)
Để học tốt lớp 10 các môn học sách mới:
- Giải bài tập Lớp 10 Kết nối tri thức
- Giải bài tập Lớp 10 Chân trời sáng tạo
- Giải bài tập Lớp 10 Cánh diều
Tủ sách VIETJACK luyện thi vào 10 cho 2k11 (2026):
Đã có app VietJack trên điện thoại, giải bài tập SGK, SBT Soạn văn, Văn mẫu, Thi online, Bài giảng....miễn phí. Tải ngay ứng dụng trên Android và iOS.
Theo dõi chúng tôi miễn phí trên mạng xã hội facebook và youtube:Loạt bài Đề thi vào lớp 10 môn Vật Lí (có đáp án) được các Giáo viên hàng đầu biên soạn theo cấu trúc ra đề thi Trắc nghiệm, Tự luận mới giúp bạn ôn luyện và giành được điểm cao trong kì thi vào lớp 10 môn Vật Lí.
Nếu thấy hay, hãy động viên và chia sẻ nhé! Các bình luận không phù hợp với nội quy bình luận trang web sẽ bị cấm bình luận vĩnh viễn.
- Giáo án lớp 9 (các môn học)
- Giáo án điện tử lớp 9 (các môn học)
- Giáo án Toán 9
- Giáo án Ngữ văn 9
- Giáo án Tiếng Anh 9
- Giáo án Khoa học tự nhiên 9
- Giáo án Vật Lí 9
- Giáo án Hóa học 9
- Giáo án Sinh học 9
- Giáo án Địa Lí 9
- Giáo án Lịch Sử 9
- Giáo án GDCD 9
- Giáo án Tin học 9
- Giáo án Công nghệ 9
- Đề thi lớp 9 (các môn học)
- Đề thi Ngữ Văn 9 (có đáp án)
- Đề thi Toán 9 (có đáp án)
- Đề thi Tiếng Anh 9 mới (có đáp án)
- Đề thi Tiếng Anh 9 (có đáp án)
- Đề thi Khoa học tự nhiên 9 (có đáp án)
- Đề thi Lịch Sử và Địa Lí 9 (có đáp án)
- Đề thi GDCD 9 (có đáp án)
- Đề thi Tin học 9 (có đáp án)
- Đề thi Công nghệ 9 (có đáp án)


Giải bài tập SGK & SBT
Tài liệu giáo viên
Sách
Khóa học
Thi online
Hỏi đáp

