Sách bài tập Toán 6 Bài 10: Phép nhân phân số
Sách bài tập Toán 6 Bài 10: Phép nhân phân số
Bài 83 trang 25 sách bài tập Toán 6 Tập 2: Làm tính nhân:
Lời giải:
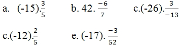
Bài 84 trang 25 sách bài tập Toán 6 Tập 2: Tính:
Lời giải:
Bài 85 trang 25 sách bài tập Toán 6 Tập 2: Hoàn thành sơ đồ sau để thực hiện phép nhân .
Từ cách làm trên , em hãy điền các từ thích hợp vào câu sau:
Khi nhân một số nguyên với một phân số, ta có thể:
- Nhân số đó với ….rồi lấy kết quả ….hoặc
- Chia số đó cho …rồi lấy kết quả ….
Áp dụng:
Lời giải:
Khi nhân một số nguyên với một phân số ta có thể:
- Nhân số đó với tử số rồi lấy kết quả chia cho mẫu số, hoặc:
- Chia số đó cho mẫu số rồi lấy kết quả nhân với tử số.
Bài 86 trang 25 sách bài tập Toán 6 Tập 2: Tính:
Lời giải:
Bài 87 trang 26 sách bài tập Toán 6 Tập 2: a. Cho hai phân số (n ∈ Z, n > 0) . Chứng tỏ rằng tích của phân số này bằng hiệu của chúng
b. Áp dụng kết quả trên để tính các giá trị của biểu thức sau:
Lời giải:
a. Ta có:
b. Theo kết quả câu a,ta có:
Bài 88 trang 26 sách bài tập Toán 6 Tập 2: Cho hai phân số a/b và a/c có b + c = a (a, b, c ∈ Z, b ≠ 0, c ≠ 0).
Chứng tỏ rằng tích của hai phân số này bằng tổng của chúng. Thử lại với a = 8 ; b = -3
Lời giải:
Ta có:
Mà a = b + c nên
Từ (1), (2) suy ra:
với a = b + c và a, b, c ∈ Z, b ≠ 0, c ≠ 0
Bài 1 trang 26 sách bài tập Toán 6 Tập 2: 5/38 là tích của hai phân số :
Lời giải:
Chọn đáp án A
Bài 2 trang 26 sách bài tập Toán 6 Tập 2: Tích bằng :
Hãy chọn đáp án đúng.
Lời giải:
Chọn đáp án D
Bài 3 trang 26 sách bài tập Toán 6 Tập 2: Tìm phân số tối giản sao cho phân số
bằng 8 lần phân số
.
Lời giải:
Bài 4 trang 26 sách bài tập Toán 6 Tập 2: Tìm số nguyên dương nhỏ nhất để khi nhân nó với mỗi một trong các phân số tối giản đều được tích là những số nguyên.
Lời giải:
Gọi a là số nguyên dương cần tìm
Để là những số nguyên thì a phải chia hết cho 4, cho 11, cho 12; a là số nguyên dương nhỏ nhất nên a là BCNN(4,11,12) = 132.
Xem thêm các bài giải sách bài tập Toán lớp 6 chọn lọc, chi tiết khác:
- Bài 11: Tính chất cơ bản của phép nhân phân số
- Bài 12: Phép chia phân số
- Bài 13: Hỗn số. Số thập phân. Phần trăm
- Bài 14: Tìm giá trị phân số của một số cho trước
Xem thêm các loạt bài Để học tốt Toán lớp 6 hay khác:
Tủ sách VIETJACK shopee lớp 6-8 (2025):
Đã có app VietJack trên điện thoại, giải bài tập SGK, SBT Soạn văn, Văn mẫu, Thi online, Bài giảng....miễn phí. Tải ngay ứng dụng trên Android và iOS.
Theo dõi chúng tôi miễn phí trên mạng xã hội facebook và youtube:Loạt bài Giải bài tập sách bài tập Toán 6 | Giải SBT Toán 6 của chúng tôi được biên soạn bám sát nội dung sách bài tập Toán 6 Tập 1 và Tập 2.
Nếu thấy hay, hãy động viên và chia sẻ nhé! Các bình luận không phù hợp với nội quy bình luận trang web sẽ bị cấm bình luận vĩnh viễn.
- Giải sgk Tiếng Anh 6 Global Success
- Giải sgk Tiếng Anh 6 Friends plus
- Giải sgk Tiếng Anh 6 Smart World
- Giải sgk Tiếng Anh 6 Explore English
- Lớp 6 - Kết nối tri thức
- Soạn Văn 6 (hay nhất) - KNTT
- Soạn Văn 6 (ngắn nhất) - KNTT
- Giải sgk Toán 6 - KNTT
- Giải sgk Khoa học tự nhiên 6 - KNTT
- Giải sgk Lịch Sử 6 - KNTT
- Giải sgk Địa Lí 6 - KNTT
- Giải sgk Giáo dục công dân 6 - KNTT
- Giải sgk Hoạt động trải nghiệm 6 - KNTT
- Giải sgk Tin học 6 - KNTT
- Giải sgk Công nghệ 6 - KNTT
- Giải sgk Âm nhạc 6 - KNTT
- Lớp 6 - Chân trời sáng tạo
- Soạn Văn 6 (hay nhất) - CTST
- Soạn Văn 6 (ngắn nhất) - CTST
- Giải sgk Toán 6 - CTST
- Giải sgk Khoa học tự nhiên 6 - CTST
- Giải sgk Lịch Sử 6 - CTST
- Giải sgk Địa Lí 6 - CTST
- Giải sgk Giáo dục công dân 6 - CTST
- Giải sgk Công nghệ 6 - CTST
- Giải sgk Hoạt động trải nghiệm 6 - CTST
- Giải sgk Âm nhạc 6 - CTST
- Lớp 6 - Cánh diều
- Soạn Văn 6 Cánh diều (hay nhất)
- Soạn Văn 6 Cánh diều (ngắn nhất)
- Giải sgk Toán 6 - Cánh diều
- Giải sgk Khoa học tự nhiên 6 - Cánh diều
- Giải sgk Lịch Sử 6 - Cánh diều
- Giải sgk Địa Lí 6 - Cánh diều
- Giải sgk Giáo dục công dân 6 - Cánh diều
- Giải sgk Hoạt động trải nghiệm 6 - Cánh diều
- Giải sgk Tin học 6 - Cánh diều
- Giải sgk Công nghệ 6 - Cánh diều
- Giải sgk Âm nhạc 6 - Cánh diều


Giải bài tập SGK & SBT
Tài liệu giáo viên
Sách
Khóa học
Thi online
Hỏi đáp

