Sách bài tập Toán 6 Bài 3: Tính chất cơ bản của phân số
Sách bài tập Toán 6 Bài 3: Tính chất cơ bản của phân số
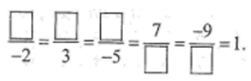
Bài 17 trang 8 sách bài tập Toán 6 Tập 2: Điền số thích hợp vào ô trống:
Lời giải:
Bài 18 trang 8 sách bài tập Toán 6 Tập 2: Điền số thích hợp vào ô trống:
Lời giải:
Ta có: - 4 : 4 = - 1; 8 : 4 = 2. Vậy (-4)/8 = (-1)/2
Ta có: 3.2 = 6; 5.2 = 10. vậy 3/5 = 6/10
Để có một phân số bằng phân số đã cho thì tử và mẫu cùng chia cho một giá trị. Vì bài toán có mẫu chia cho 4 nên mẫu cũng chia cho 4
Khi đó ta có: 24 : 4 = 6; -16 : 4 = -4 . Vậy (-16)/24 = (-4)/6
Để có một phân số bằng phân số 5/7 mà có tử là 15 thì ta phải nhân tử với 3, khi đó ta phải nhân mẫu với 3
Ta có: 5.3 = 15; 7.3 = 21. Vậy 5/7 = 15/21
Bài 19 trang 8 sách bài tập Toán 6 Tập 2: Khi nào thì một phân số có thể viết dưới dạng một số nguyên
Lời giải:
Một phân số có thể viết được dưới dạng một số nguyên khi tử số là bội của mẫu số hay tử chia hết cho mẫu (mẫu số là ước của tử số).
Bài 20 trang 8 sách bài tập Toán 6 Tập 2: Một vòi nước chảy 3 giờ thì đầy bể. Hỏi khi chảy cùng 1 giờ; 59 phút; 127 phút thì lượng nước đã chảy chiếm bao nhiêu phần bể?
Lời giải:
Ta có: 1 giờ = 60 phút; 3 giờ = 180 phút. Vậy:
- Trong 1 giờ, lượng nước chiếm 60/180 = 1/3 của bể.
- Trong 59 phút, lượng nước chiếm 59/180 của bể.
- Trong 127 phút, lượng nước chiếm 127/180 của bể.
Bài 21 trang 8 sách bài tập Toán 6 Tập 2: Trên hành tinh của chúng ta đại dương nào lớn nhất?
Em hãy điền các số thích hợp vào ô trống để có các đẳng thức đúng. Sau đó, viết các chữ số tương ứng với các chữ số tìm được vào các ô ở hàng dưới cùng, em sẽ trả lời được câu hỏi nêu trên.
Lời giải:
B. chữ B ứng với số 16
I. chữ I ứng với số -12
N. chữ N ứng với số -15
T. chữ T ứng với số 84
U. chữ U ứng với số 55
O. chữ O ứng với số 75
H. chữ H ứng với số 11
A. chữ A ứng với số 25
G. chữ G ứng với số 85
D. chữ D ứng với số 80
Trên hành tinh của chúng ta, THÁI BÌNH DƯƠNG là đại dương lớn nhất
Bài 22 trang 9 sách bài tập Toán 6 Tập 2: Cho biểu thức:
a) Tìm các số nguyên n để biểu thức A là phân số
b) Tìm các số nguyên n để biểu thức A là một số nguyên
Lời giải:
a) A là một phân số khi và chỉ khi n – 2 ≠ 0 ⇒ n ≠ 2
b) A là số nguyên khi và chỉ khi 3 chia hết cho (n - 2) hay (n - 2) ∈ Ư(3)
Ta có: Ư(3) = {-3 ; -1 ; 1 ; 3}
n – 2 = -3 ⇒ n = -1
n – 2 = -1 ⇒ n = 1
n – 2 = 1 ⇒ n = 3
n – 2 = 3 ⇒ n = 5
Vậy n ∈ {-1; 1 ; 3 ; 5} thì A là số nguyên
Bài 23 trang 9 sách bài tập Toán 6 Tập 2: Giải thích tại sao các phân số sau đây bằng nhau:
Lời giải:
Bài 24 trang 9 sách bài tập Toán 6 Tập 2: Có thể có phân số (a, b ∈ Z, b ≠ 0) sao cho:
(m, n ∈ Z, m , n ≠ 0 , m ≠ n) hay không?
Lời giải:
Bài 1 trang 9 sách bài tập Toán 6 Tập 2: Phân số có mẫu dương và không bằng phân số là :
Hãy chọn đáp số đúng.
Lời giải:
Áp dụng tính chất cơ bản của phân số ta được:
⇒ Phân số có mẫu dương và không bằng phân số là
.
Chọn đáp án C
Bài 2 trang 9 sách bài tập Toán 6 Tập 2: Phân số có tử là 2, lớn hơn và nhỏ hơn
là :
Hãy chọn đáp án đúng.
Lời giải:
Chọn đán án C
Bài 3 trang 10 sách bài tập Toán 6 Tập 2: Cho ba phân số
a) Viết ba phân số theo thứ tự bằng các phân số trên và có mẫu là những số dương.
b) Viết ba phân số theo thứ tự bằng các phân số trên và có mẫu là nhưng số dương giống nhau.
Lời giải:
Bài 4 trang 10 sách bài tập Toán 6 Tập 2: Dùng tinh chất cơ bản của phân số hãy giải thích vì sao các phân số sau đây bằng nhau :
Lời giải:
Xem thêm các bài giải sách bài tập Toán lớp 6 chọn lọc, chi tiết khác:
- Bài 4: Rút gọn phân số
- Bài 5: Quy đồng mẫu nhiều phân số
- Bài 6: So sánh phân số
- Bài 7: Phép cộng phân số
Xem thêm các loạt bài Để học tốt Toán lớp 6 hay khác:
Tủ sách VIETJACK shopee lớp 6-8 (2025):
Đã có app VietJack trên điện thoại, giải bài tập SGK, SBT Soạn văn, Văn mẫu, Thi online, Bài giảng....miễn phí. Tải ngay ứng dụng trên Android và iOS.
Theo dõi chúng tôi miễn phí trên mạng xã hội facebook và youtube:Loạt bài Giải bài tập sách bài tập Toán 6 | Giải SBT Toán 6 của chúng tôi được biên soạn bám sát nội dung sách bài tập Toán 6 Tập 1 và Tập 2.
Nếu thấy hay, hãy động viên và chia sẻ nhé! Các bình luận không phù hợp với nội quy bình luận trang web sẽ bị cấm bình luận vĩnh viễn.
- Giải sgk Tiếng Anh 6 Global Success
- Giải sgk Tiếng Anh 6 Friends plus
- Giải sgk Tiếng Anh 6 Smart World
- Giải sgk Tiếng Anh 6 Explore English
- Lớp 6 - Kết nối tri thức
- Soạn Văn 6 (hay nhất) - KNTT
- Soạn Văn 6 (ngắn nhất) - KNTT
- Giải sgk Toán 6 - KNTT
- Giải sgk Khoa học tự nhiên 6 - KNTT
- Giải sgk Lịch Sử 6 - KNTT
- Giải sgk Địa Lí 6 - KNTT
- Giải sgk Giáo dục công dân 6 - KNTT
- Giải sgk Hoạt động trải nghiệm 6 - KNTT
- Giải sgk Tin học 6 - KNTT
- Giải sgk Công nghệ 6 - KNTT
- Giải sgk Âm nhạc 6 - KNTT
- Lớp 6 - Chân trời sáng tạo
- Soạn Văn 6 (hay nhất) - CTST
- Soạn Văn 6 (ngắn nhất) - CTST
- Giải sgk Toán 6 - CTST
- Giải sgk Khoa học tự nhiên 6 - CTST
- Giải sgk Lịch Sử 6 - CTST
- Giải sgk Địa Lí 6 - CTST
- Giải sgk Giáo dục công dân 6 - CTST
- Giải sgk Công nghệ 6 - CTST
- Giải sgk Hoạt động trải nghiệm 6 - CTST
- Giải sgk Âm nhạc 6 - CTST
- Lớp 6 - Cánh diều
- Soạn Văn 6 Cánh diều (hay nhất)
- Soạn Văn 6 Cánh diều (ngắn nhất)
- Giải sgk Toán 6 - Cánh diều
- Giải sgk Khoa học tự nhiên 6 - Cánh diều
- Giải sgk Lịch Sử 6 - Cánh diều
- Giải sgk Địa Lí 6 - Cánh diều
- Giải sgk Giáo dục công dân 6 - Cánh diều
- Giải sgk Hoạt động trải nghiệm 6 - Cánh diều
- Giải sgk Tin học 6 - Cánh diều
- Giải sgk Công nghệ 6 - Cánh diều
- Giải sgk Âm nhạc 6 - Cánh diều


Giải bài tập SGK & SBT
Tài liệu giáo viên
Sách
Khóa học
Thi online
Hỏi đáp

