Sách bài tập Toán 6 Bài 9: Phép trừ phân số
Sách bài tập Toán 6 Bài 9: Phép trừ phân số
Bài 74 trang 21 sách bài tập Toán 6 Tập 2: Vòi nước A chảy đầy một bể không có nước mất 3 giờ, vòi nước B chảy đầy bể đó mất 4 giờ. Hỏi trong 1 giờ, vòi nào chảy được nhiều nước hơn và nhiều hơn bao nhiêu?
Lời giải:
Trong 1 giờ vòi A chảy được 1:3= 1/3 (bể)
Trong 1 giờ vòi B chảy được 1:4 = 1/4 (bể)
Trong 1 giờ vòi A chảy được nhiều hơn vòi B và nhiều hơn là:
Bài 75 trang 21 sách bài tập Toán 6 Tập 2: Điền phân số thích hợp vào ô trống:
Lời giải:
Bài 76 trang 21 sách bài tập Toán 6 Tập 2: Thời gian 1 ngày của Cường được phân phối như sau:
- Ngủ: 1/3 ngày;
- Học ở trường: 1/6 ngày
- Chơi thể thao: 1/12 ngày
- Học và làm bài tập ở nhà: 1/8 ngày
- Giúp đỡ gia đình việc vặt: 1/24 ngày
Hỏi Cường còn bao nhiêu thời gian rỗi?
Lời giải:
Tổng thời gian của Cường đã sử dụng trong một ngày là:
Thời gian rỗi của bạn Cường là:
Bài 77 trang 22 sách bài tập Toán 6 Tập 2: Một khay đựng 4 quả chuối, 1 quả táo và 1 quả cam. Biết rằng quả táo nặng 1/8 kg, quả cam nặng 1/3 kg, quả chuối nặng 1/10 kg. Hỏi khay nặng bao nhiêu nếu khối lượng tổng cộng là 5/4 kg?
Lời giải:
Khối lượng trái cây có trong khay là:
Khối lượng của khay là:
Bài 78 trang 22 sách bài tập Toán 6 Tập 2: Điền phân số thích hợp vào ô trống
Lời giải:
Bài 79 trang 22 sách bài tập Toán 6 Tập 2: Hoàn thành sơ đồ sau:
Kiểm tra lại kết quả bằng cách thực hiện phép tính trong ngoặc trước:
Lời giải:
Bài 80 trang 23 sách bài tập Toán 6 Tập 2: Hoàn thành sơ đồ sau:
Kiểm tra lại kết quả bằng cách thực hiện phép tính trong ngoặc trước:
Lời giải:
Bài 81 trang 23 sách bài tập Toán 6 Tập 2:
a. Tính :
b. Sử dụng kết quả của câu a) để tính nhanh tổng sau:
Lời giải:
Bài 82 trang 23 sách bài tập Toán 6 Tập 2: Một tài liệu "bí hiểm" Đây là mẩu giấy duy nhất còn sót lại của một tài liệu.
Em hãy khôi phục lại ba dòng trên và ba dòng tiếp theo của tài liệu theo quy luật các phép tính của ba dòng còn lại.
Lời giải:
Quy luật:
Vậy ba dòng phía trên của tài liệu là:
Ba dòng phía dưới của tài liệu là:
Bài 1 trang 24 sách bài tập Toán 6 Tập 2: Nối mỗi dòng ở cột bên trái với một dòng ở cột bên phải để được kết quả đúng:
(A) Số đối của (-3)/4 là
(B) Số đối của (-7)/11 là
(C) Số đối của 7/3 là
(D) Số đối của 0 là
1) 7/11
2) 0
3) 3/7
4) 3/4
5) (-7)/3
Lời giải:
A) –4; B) -1; C) –5; D) -2
Bài 2 trang 24 sách bài tập Toán 6 Tập 2: Kết quả của phép tính là:
Lời giải:
Chọn đáp án C
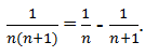
Bài 3 trang 24 sách bài tập Toán 6 Tập 2: a) Chứng tỏ rằng n ∈ N, n # 0 thì:
b) Áp dụng kết quả ở câu a) để tính nhanh:
Lời giải:
Bài 4 trang 24 sách bài tập Toán 6 Tập 2: Tính nhanh :
Lời giải:
Bài 5 trang 24 sách bài tập Toán 6 Tập 2: Tính nhanh :
Lời giải:
Bài 6 trang 24 sách bài tập Toán 6 Tập 2: Tính nhanh:
Lời giải:
Bài 7 trang 24 sách bài tập Toán 6 Tập 2: Chứng tỏ rằng:
Lời giải:
Xem thêm các bài giải sách bài tập Toán lớp 6 chọn lọc, chi tiết khác:
- Bài 10: Phép nhân phân số
- Bài 11: Tính chất cơ bản của phép nhân phân số
- Bài 12: Phép chia phân số
- Bài 13: Hỗn số. Số thập phân. Phần trăm
Xem thêm các loạt bài Để học tốt Toán lớp 6 hay khác:
Tủ sách VIETJACK shopee lớp 6-8 (2025):
Đã có app VietJack trên điện thoại, giải bài tập SGK, SBT Soạn văn, Văn mẫu, Thi online, Bài giảng....miễn phí. Tải ngay ứng dụng trên Android và iOS.
Theo dõi chúng tôi miễn phí trên mạng xã hội facebook và youtube:Loạt bài Giải bài tập sách bài tập Toán 6 | Giải SBT Toán 6 của chúng tôi được biên soạn bám sát nội dung sách bài tập Toán 6 Tập 1 và Tập 2.
Nếu thấy hay, hãy động viên và chia sẻ nhé! Các bình luận không phù hợp với nội quy bình luận trang web sẽ bị cấm bình luận vĩnh viễn.
- Giải sgk Tiếng Anh 6 Global Success
- Giải sgk Tiếng Anh 6 Friends plus
- Giải sgk Tiếng Anh 6 Smart World
- Giải sgk Tiếng Anh 6 Explore English
- Lớp 6 - Kết nối tri thức
- Soạn Văn 6 (hay nhất) - KNTT
- Soạn Văn 6 (ngắn nhất) - KNTT
- Giải sgk Toán 6 - KNTT
- Giải sgk Khoa học tự nhiên 6 - KNTT
- Giải sgk Lịch Sử 6 - KNTT
- Giải sgk Địa Lí 6 - KNTT
- Giải sgk Giáo dục công dân 6 - KNTT
- Giải sgk Hoạt động trải nghiệm 6 - KNTT
- Giải sgk Tin học 6 - KNTT
- Giải sgk Công nghệ 6 - KNTT
- Giải sgk Âm nhạc 6 - KNTT
- Lớp 6 - Chân trời sáng tạo
- Soạn Văn 6 (hay nhất) - CTST
- Soạn Văn 6 (ngắn nhất) - CTST
- Giải sgk Toán 6 - CTST
- Giải sgk Khoa học tự nhiên 6 - CTST
- Giải sgk Lịch Sử 6 - CTST
- Giải sgk Địa Lí 6 - CTST
- Giải sgk Giáo dục công dân 6 - CTST
- Giải sgk Công nghệ 6 - CTST
- Giải sgk Hoạt động trải nghiệm 6 - CTST
- Giải sgk Âm nhạc 6 - CTST
- Lớp 6 - Cánh diều
- Soạn Văn 6 Cánh diều (hay nhất)
- Soạn Văn 6 Cánh diều (ngắn nhất)
- Giải sgk Toán 6 - Cánh diều
- Giải sgk Khoa học tự nhiên 6 - Cánh diều
- Giải sgk Lịch Sử 6 - Cánh diều
- Giải sgk Địa Lí 6 - Cánh diều
- Giải sgk Giáo dục công dân 6 - Cánh diều
- Giải sgk Hoạt động trải nghiệm 6 - Cánh diều
- Giải sgk Tin học 6 - Cánh diều
- Giải sgk Công nghệ 6 - Cánh diều
- Giải sgk Âm nhạc 6 - Cánh diều


Giải bài tập SGK & SBT
Tài liệu giáo viên
Sách
Khóa học
Thi online
Hỏi đáp

