Sách bài tập Toán 7 Bài 1: Tập hợp Q các số hữu tỉ
Sách bài tập Toán 7 Bài 1: Tập hợp Q các số hữu tỉ
Bài 1 trang 5 sách bài tập Toán 7 Tập 1: Điền kí hiệu (∈ , ∉, ⊂) thích hợp vào ô trống:
Lời giải:
Bài 2 trang 5 sách bài tập Toán 7 Tập 1: Biểu diễn các số hữu tỉ:
Lời giải:
Ta có:
Bài 3 trang 5 sách bài tập Toán 7 Tập 1: Điền số hữu tỉ thích hợp vào ô trống:
Lời giải:
Vị trí A điền -1;
Vị trí B điền -1/3;
Vị trí C điền 1/2;
Vị trí D điền 4/3.
Bài 4 trang 5 sách bài tập Toán 7 Tập 1: Trong các câu sau câu nào đúng câu nào sai”
a. Số hữu tỉ âm nhỏ hơn số hữu tỉ dương
b. Số hữu tỉ âm nhỏ hơn số tự nhiên
c. Số 0 là số hữu tỉ dương
d. Số nguyên âm không phải là số hữu tỉ âm
e. Tập hợp Q gồm các số hữu tỉ dương và các số hữu tỉ âm
Lời giải:
a. Số hữu tỉ âm nhỏ hơn số hữu tỉ dương. Đúng
b. Số hữu tỉ âm nhỏ hơn số tự nhiên. Đúng
c. Số 0 là số hữu tỉ dương. Sai
Vì số 0 không là số hữu tỉ dương cũng không là số hữu tỉ âm.
d. Số nguyên âm không phải là số hữu tỉ âm. Sai
Các số nguyên âm a luôn viết được dưới dạng:
. Do đó, số nguyên âm có là số hữu tỉ âm.
e. Tập hợp Q gồm các số hữu tỉ dương và các số hữu tỉ âm. Sai
Vì tập hợp Q gồm các số hữu tỉ dương, các số hữu tỉ âm và số 0.
Bài 5 trang 5 sách bài tập Toán 7 Tập 1: Cho hai số hữu tỉ a/b và c/d(b > 0, d> 0). Chứng tỏ rằng:
Lời giải:
Bài 6 trang 6 sách bài tập Toán 7 Tập 1: Chứng minh rằng:
a) Chứng minh rằng nếu
(b > 0, d > 0) thì
b) Hãy viết ba số hữu tỉ xen giữa
Lời giải:
a) Áp dụng kết quả bài 5, ta có:
⇒ ad < bc (1)
Cộng cả hai vế của (1) với ab ta có: ab + ad < ab + bc
hay a(b + d) < b.(a + c)
Cộng cả hai vế của (1) với cd ta có: ad + cd < bc + cd
Hay d(a + c) < c(b + d)
Vậy
b) Ta có:
Áp dụng kết quả phần a) ta có:
Vậy ta có ba số hữu tỉ xen giữa
là:
Bài 7 trang 6 sách bài tập Toán 7 Tập 1: Tìm x ∈ Q , biết rằng x là số âm lớn nhất được viết bằng 3 chữ số 1.
Lời giải:
Các số hữu tỉ âm được viết bằng 3 chữ số 1 là:
Bài 8 trang 6 sách bài tập Toán 7 Tập 1: So sánh các số hữu tỉ sau bằng cách nhanh nhất:
Lời giải:
a)
Do đó
b)
Do đó
c)
Do đó
d)
Bài 9 trang 6 sách bài tập Toán 7 Tập 1: Cho a, b ∈ Z, b > 0. So sánh 2 số hữu tỉ
Lời giải:
Ta có: a(b+ 2001) = ab + 2001a
b(a+ 2001) = ab + 2001b
Vì b > 0 nên b + 2001 > 0
Bài 1.1 trang 6 sách bài tập Toán 7 Tập 1: Tập hợp các phân số bằng phân số (-25)/35 là:
Hãy chọn đáp án đúng.
Lời giải:
Chọn (D).
Ta có:
Do đó, tập hợp các phân số bằng phân số
Bài 1.2 trang 6 sách bài tập Toán 7 Tập 1: Nối mỗi dòng ở cột bên trái với một dòng ở cột bên phải để được khẳng định đúng:
| A) 0/(-15) | 1) là số hữu tỉ dương |
| B) (-7)/(-11) | 2) là số hữu tỉ âm |
| C) (-2)/13 | 3) không là số hữu tỉ dương cũng không là số hữu tỉ âm |
| D) 3/0 | 4) không là số hữu tỉ |
| 5) vừa là số hữu tỉ âm vừa là số hữu tỉ dương |
Lời giải:
| A) - 3) | B) - 1) | C) - 2) | D) - 4) |
Bài 1.3 trang 7 sách bài tập Toán 7 Tập 1: Viết dạng chung của các số hữu tỉ bằng
Lời giải:
Ta có:
Dạng chung của các số hữu tỉ bằng
Bài 1.4 trang 7 sách bài tập Toán 7 Tập 1: Cho số hữu tỉ a/b khác 0. Chứng minh rằng:
a) a/b là số hữu tỉ dương nếu a và b cùng dấu.
b) a/b là số hữu tỉ âm nếu a và b khác dấu.
Lời giải:
Xét số hữu tỉ a/b, có thể coi b > 0.
a) Nếu a, b cùng dấu thì a > 0 và b > 0.
Suy ra (a/b) > (0/b) = 0 tức là a/b dương.
b) Nếu a, b khác dấu thì a < 0 và b > 0.
Suy ra (a/b) < (0/b) = 0 tức là a/b âm.
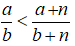
Bài 1.5 trang 7 sách bài tập Toán 7 Tập 1: So sánh
(b > 0) và
(n ∈ N*)
Lời giải:
* Trường hợp 1: Nếu a < b thì an < bn (vì n ∈ N* nên n > 0).
⇒ ab + an < ab + bn
hay a(b + n) < b.(a + n) (1)
Mà b > 0 và b + n > 0. Áp dụng bài 5 từ (1) suy ra:
* Trường hợp 2: Nếu a > b thì an > bn (vì n ∈ N* nên n > 0).
⇒ ab + an > ab + bn
hay a(b + n) > b.(a + n) (2)
Mà b > 0 và b + n > 0. Áp dụng bài 5 từ (2) suy ra:
* Trường hợp 3: Nếu a = b thì a + n = b + n
Bài 1.6 trang 7 sách bài tập Toán 7 Tập 1: So sánh các số hữu tỉ sau:
Lời giải:
Áp dụng bài 1.5 ta có:
Bài 1.7 trang 7 sách bài tập Toán 7 Tập 1: Tìm phân số có mẫu bằng 7, lớn hơn (-5)/9 và nhỏ hơn (-2)/9.
Lời giải:
Gọi phân số phải tìm là x/7 sao cho
Quy đồng mẫu ta được:
Suy ra -35 < 9x < -14, vì x ∈ Z nên x ∈ {-2; -3}.
Ta có
Vậy phân số thỏa mãn đầu bài là:
Bài 1.8 trang 7 sách bài tập Toán 7 Tập 1: Tìm phân số có tử bằng 7, lớn hơn 10/13 và nhỏ hơn 10/11.
Lời giải:
Xem thêm các bài giải sách bài tập Toán lớp 7 chọn lọc, chi tiết khác:
- Bài 2: Cộng, trừ số hữu tỉ
- Bài 3: Nhân, chia số hữu tỉ
- Bài 4: Giá trị tuyệt đối của một số hữu tỉ. Cộng, trừ, nhân, chia số thập phân
- Bài 5: Lũy thừa của một số hữu tỉ
- Bài 6: Lũy thừa của một số hữu tỉ (tiếp)
Lời giải bài tập lớp 7 sách mới:
- Giải bài tập Lớp 7 Kết nối tri thức
- Giải bài tập Lớp 7 Chân trời sáng tạo
- Giải bài tập Lớp 7 Cánh diều
Tủ sách VIETJACK shopee lớp 6-8 (2025):
Đã có app VietJack trên điện thoại, giải bài tập SGK, SBT Soạn văn, Văn mẫu, Thi online, Bài giảng....miễn phí. Tải ngay ứng dụng trên Android và iOS.
Theo dõi chúng tôi miễn phí trên mạng xã hội facebook và youtube:Loạt bài Giải sách bài tập Toán lớp 7 hay nhất, chi tiết của chúng tôi được biên soạn bám sát nội dung SBT Toán 7 Tập 1 và Tập 2.
Nếu thấy hay, hãy động viên và chia sẻ nhé! Các bình luận không phù hợp với nội quy bình luận trang web sẽ bị cấm bình luận vĩnh viễn.
- Giải Tiếng Anh 7 Global Success
- Giải Tiếng Anh 7 Friends plus
- Giải sgk Tiếng Anh 7 Smart World
- Giải Tiếng Anh 7 Explore English
- Lớp 7 - Kết nối tri thức
- Soạn văn 7 (hay nhất) - KNTT
- Soạn văn 7 (ngắn nhất) - KNTT
- Giải sgk Toán 7 - KNTT
- Giải sgk Khoa học tự nhiên 7 - KNTT
- Giải sgk Lịch Sử 7 - KNTT
- Giải sgk Địa Lí 7 - KNTT
- Giải sgk Giáo dục công dân 7 - KNTT
- Giải sgk Tin học 7 - KNTT
- Giải sgk Công nghệ 7 - KNTT
- Giải sgk Hoạt động trải nghiệm 7 - KNTT
- Giải sgk Âm nhạc 7 - KNTT
- Lớp 7 - Chân trời sáng tạo
- Soạn văn 7 (hay nhất) - CTST
- Soạn văn 7 (ngắn nhất) - CTST
- Giải sgk Toán 7 - CTST
- Giải sgk Khoa học tự nhiên 7 - CTST
- Giải sgk Lịch Sử 7 - CTST
- Giải sgk Địa Lí 7 - CTST
- Giải sgk Giáo dục công dân 7 - CTST
- Giải sgk Công nghệ 7 - CTST
- Giải sgk Tin học 7 - CTST
- Giải sgk Hoạt động trải nghiệm 7 - CTST
- Giải sgk Âm nhạc 7 - CTST
- Lớp 7 - Cánh diều
- Soạn văn 7 (hay nhất) - Cánh diều
- Soạn văn 7 (ngắn nhất) - Cánh diều
- Giải sgk Toán 7 - Cánh diều
- Giải sgk Khoa học tự nhiên 7 - Cánh diều
- Giải sgk Lịch Sử 7 - Cánh diều
- Giải sgk Địa Lí 7 - Cánh diều
- Giải sgk Giáo dục công dân 7 - Cánh diều
- Giải sgk Công nghệ 7 - Cánh diều
- Giải sgk Tin học 7 - Cánh diều
- Giải sgk Hoạt động trải nghiệm 7 - Cánh diều
- Giải sgk Âm nhạc 7 - Cánh diều


Giải bài tập SGK & SBT
Tài liệu giáo viên
Sách
Khóa học
Thi online
Hỏi đáp

