Sách bài tập Toán 7 Bài 5: Lũy thừa của một số hữu tỉ
Sách bài tập Toán 7 Bài 5: Lũy thừa của một số hữu tỉ
Bài 39 trang 14 sách bài tập Toán 7 Tập 1: Tính:
Lời giải:
Bài 40 trang 15 sách bài tập Toán 7 Tập 1: Viết các số sau dưới dạng luỹ thừa với số mũ khác 1
125; -125; 27; -27
Lời giải:
125 = 53; -125=(-5)3;27=33; -27= (-3)3
Bài 41 trang 15 sách bài tập Toán 7 Tập 1: Tìm số 25 dưới dạng luỹ thừa. Tìm tất cả các cách viết
Lời giải:
25 = 251 = 52=(-5)2
Bài 42 trang 15 sách bài tập Toán 7 Tập 1: Tìm x ∈ Q, biết rằng:
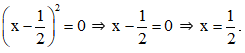
a. (x - (1/2))2 = 0
b. (x - 2)2 = 1
c. (2x - 1)3 = -8
d. (x + (1/2))2 = 1/16
Lời giải:
a)
b) (x – 2)2 = 1 ⇒ x – 2 = 1 hoặc x – 2 = -1.
+ x – 2 = 1 ⇒ x = 3.
+ x – 2 = -1 ⇒ x = 1.
Vậy x = 1 hoặc x = 3.
Bài 43 trang 15 sách bài tập Toán 7 Tập 1: So sánh: 2225 và 3150
Lời giải:
2225 = 23.75 = (23)75 = 875
3150 = 32.75 = (32)75=975
8 < 9 ⇒ 875 < 975
Vậy : 2225 < 3150
Bài 44 trang 15 sách bài tập Toán 7 Tập 1: Tính
Lời giải:
Bài 45 trang 15 sách bài tập Toán 7 Tập 1: Viết các biểu thức sau dưới dạng an (a ∈ Q, n ∈ N )
Lời giải:
Bài 46 trang 15 sách bài tập Toán 7 Tập 1: Tìm tất cả các số tự nhiên n sao cho:
a) 2.16 ≥ 2n > 4
b) 9.27 ≤ 3n ≤ 243
Lời giải:
a) 2.16 ≥ 2n > 4 ⇒ 2. 24 ≥ 2n > 22
⇒ 25 ≥ 2n > 22
⇒ 5 ≥ n > 2
⇒ n ∈ {3; 4; 5}
b) 9.27 ≤ 3n ≤ 243 ⇒ 32.33 ≤ 3n ≤ 35
⇒ 35 ≤ 3n ≤ 35 ⇒ n = 5
Bài 47 trang 16 sách bài tập Toán 7 Tập 1: chứng minh rằng: 87 - 218 chia hết cho 14
Lời giải:
Ta có: 87 - 218 = (23)7 - 218 = 221 – 218 = 217.( 24 -2)= 217.(16 - 2) = 24.14 ⋮ 14
Bài 48 trang 16 sách bài tập Toán 7 Tập 1: So sánh: 291 và 535
Lời giải:
Ta có: 291 > 290 = (25)18 = 3218
535 < 536 = (52)18 = 2518.
Vì 32 > 25 nên 3218 > 2518, do đó ta có : 291 > 3218 > 2518 > 535.
Vậy 291 > 535.
Bài 49 trang 16 sách bài tập Toán 7 Tập 1: Hãy chọn câu trả lời đúng trong các câu sau A, B, C, D, E:
a. 36.32
A. 34 B. 38 C. 312 D. 98 E. 912
b. 24.22.23=
A. 29 B. 49 C. 89 D. 224 E. 824
c. an.a2
A. an-2 B. (2a)n+2 C. (a.a)2n
D. an+2 E. a2n
d. 36 : 32
A. 38 B. 14
C. 3-4 D. 312 E. 34
Lời giải:
a) 36.32 = 38
Vậy chọn đáp án B
b) 24.22.23=29
Vậy có đáp án A
c) an.a2=an+2
Vậy chọn đáp án D
d) 36: 32=34
Vậy chọn đap án E
Bài 5.1 trang 16 sách bài tập Toán 7 Tập 1: Tổng 55 + 55 + 55 + 55 + 55 bằng:
(A) 255 ; (B) 525 ;
(C) 56 ; (D) 2525.
Hãy chọn đáp án đúng.
Lời giải:
Ta có: 55 + 55 + 55 + 55 + 55 = 5. 55 = 51. 55 = 56
Chọn (C) 56.
Bài 5.2 trang 16 sách bài tập Toán 7 Tập 1: Số x14 là kết quả của phép toán:
(A) x14: x ; (B) x7. x2 ;
(C) x8. x6 ; (D) x14 . x.
Hãy chọn đáp án đúng.
Lời giải:
Ta có:
(A): x14 : x = x14 - 1 = x13
(B): x7 .x2 = x7+2 = x9
(C): x8. x6 = x8+6 = x14
(D): x14.x = x14+1 = x15
Chọn (C)x8. x6.
Bài 5.3 trang 16 sách bài tập Toán 7 Tập 1: Tìm x, biết:
Lời giải:
a) x7/81 = 27 ⇒ x7 = 81.27 = 34. 33 = 37 ⇒ x = 3.
Bài 5.4 trang 16 sách bài tập Toán 7 Tập 1: Tìm số nguyên n lớn nhất sao cho n150 < 5225.
Lời giải:
n150 = (n2)75 ; 5225 = (53)75 = 12575
n150 < 5225 hay (n2)75 < 12575. Suy ra n2 < 125.
Ta có: 102 = 100; 112 = 121; 122 = 144
Số nguyên lớn nhất thoả mãn điều kiện trên là n = 11.
Xem thêm các bài giải sách bài tập Toán lớp 7 chọn lọc, chi tiết khác:
- Bài 6: Lũy thừa của một số hữu tỉ (tiếp)
- Bài 7: Tỉ lệ thức
- Bài 8: Tính chất của dãy tỉ số bằng nhau
- Bài 9: Số thập phân hữu hạn. Số thập phân vô hạn tuần hoàn
- Bài 10: Làm tròn số
Lời giải bài tập lớp 7 sách mới:
- Giải bài tập Lớp 7 Kết nối tri thức
- Giải bài tập Lớp 7 Chân trời sáng tạo
- Giải bài tập Lớp 7 Cánh diều
Tủ sách VIETJACK shopee lớp 6-8 (2025):
Đã có app VietJack trên điện thoại, giải bài tập SGK, SBT Soạn văn, Văn mẫu, Thi online, Bài giảng....miễn phí. Tải ngay ứng dụng trên Android và iOS.
Theo dõi chúng tôi miễn phí trên mạng xã hội facebook và youtube:Loạt bài Giải sách bài tập Toán lớp 7 hay nhất, chi tiết của chúng tôi được biên soạn bám sát nội dung SBT Toán 7 Tập 1 và Tập 2.
Nếu thấy hay, hãy động viên và chia sẻ nhé! Các bình luận không phù hợp với nội quy bình luận trang web sẽ bị cấm bình luận vĩnh viễn.
- Giải Tiếng Anh 7 Global Success
- Giải Tiếng Anh 7 Friends plus
- Giải sgk Tiếng Anh 7 Smart World
- Giải Tiếng Anh 7 Explore English
- Lớp 7 - Kết nối tri thức
- Soạn văn 7 (hay nhất) - KNTT
- Soạn văn 7 (ngắn nhất) - KNTT
- Giải sgk Toán 7 - KNTT
- Giải sgk Khoa học tự nhiên 7 - KNTT
- Giải sgk Lịch Sử 7 - KNTT
- Giải sgk Địa Lí 7 - KNTT
- Giải sgk Giáo dục công dân 7 - KNTT
- Giải sgk Tin học 7 - KNTT
- Giải sgk Công nghệ 7 - KNTT
- Giải sgk Hoạt động trải nghiệm 7 - KNTT
- Giải sgk Âm nhạc 7 - KNTT
- Lớp 7 - Chân trời sáng tạo
- Soạn văn 7 (hay nhất) - CTST
- Soạn văn 7 (ngắn nhất) - CTST
- Giải sgk Toán 7 - CTST
- Giải sgk Khoa học tự nhiên 7 - CTST
- Giải sgk Lịch Sử 7 - CTST
- Giải sgk Địa Lí 7 - CTST
- Giải sgk Giáo dục công dân 7 - CTST
- Giải sgk Công nghệ 7 - CTST
- Giải sgk Tin học 7 - CTST
- Giải sgk Hoạt động trải nghiệm 7 - CTST
- Giải sgk Âm nhạc 7 - CTST
- Lớp 7 - Cánh diều
- Soạn văn 7 (hay nhất) - Cánh diều
- Soạn văn 7 (ngắn nhất) - Cánh diều
- Giải sgk Toán 7 - Cánh diều
- Giải sgk Khoa học tự nhiên 7 - Cánh diều
- Giải sgk Lịch Sử 7 - Cánh diều
- Giải sgk Địa Lí 7 - Cánh diều
- Giải sgk Giáo dục công dân 7 - Cánh diều
- Giải sgk Công nghệ 7 - Cánh diều
- Giải sgk Tin học 7 - Cánh diều
- Giải sgk Hoạt động trải nghiệm 7 - Cánh diều
- Giải sgk Âm nhạc 7 - Cánh diều


Giải bài tập SGK & SBT
Tài liệu giáo viên
Sách
Khóa học
Thi online
Hỏi đáp

