Sách bài tập Toán 7 Bài 7: Tỉ lệ thức
Sách bài tập Toán 7 Bài 7: Tỉ lệ thức
Bài 60 trang 19 sách bài tập Toán 7 Tập 1: Thay tỉ số giữa các số hữu tỉ bằng các số nguyên:
Lời giải:
Bài 61 trang 19 sách bài tập Toán 7 Tập 1: Chỉ rõ ngoại tỉ và trung tỉ của các tỉ lệ thức sau:
c. -0,375 : 0,875 = -3.63 : 8,47
Lời giải:
a.
có ngoại tỉ là -5,1 và -1,15; trung tỉ là 8,5 và 0,69.
c. -0,375 : 0,875 = -3,63 : 8,47
Ngoại tỉ là -0,375 và 8,47; trung tỉ là 0,875 và -3,63.
Bài 62 trang 19 sách bài tập Toán 7 Tập 1: Các tỉ số sau đây có lập thành tỉ lệ thức hay không?
a. (-0,3): 2,7 và (-1,71) : 15,39
b. 4,86 : (-11,34) và (-9,3): 21,6
Lời giải:
a. (-0,3).15,39 = -4,617
2,7.(-1,71) = -4,617
=> (-0,3).15,39 = 2,7.(-1,71)
Vậy ta có tỉ lệ thức (-0,3): 2,7 = (-1,71) : 15,39
b. 4,86.21,6 = 104,976
(-11,34).(-9,3) = 105,462
4,86.21,6 ≠ (-11,34).(-9,3)
Vậy: 4,86 : (-11,34) và (-9,3): 21,6 không lập thành tỉ lệ thức
Bài 63 trang 19 sách bài tập Toán 7 Tập 1: Có thể lập được tỉ thức từ các số sau đây không? Nếu lập được hãy viết tỉ lệ thức đó:
a. 1,05; 30; 42; 1,47
b. 2,2; 4,6; 3,3; 6,7
Lời giải:
a. 1,05.42 = 44,1
1,47.30 =44,1
Suy ra 1,05.42 = 1,47.30
Ta có các tỉ lệ thức sau:
b. 2,2.6,7 = 14,74
3,3.4,6 = 15,18
Suy ra 2,2.6,7 ≠ 3,3.4,6.
Vậy không lập được các tỉ lệ thức từ các số đó.
Bài 64 trang 19 sách bài tập Toán 7 Tập 1: Lập tất cả các tỉ lệ thức có thể được từ các đẳng thức sau:
a. 7.(-28) = (-49).4
b. 0,36.4,25 = 0,9.1,7
Lời giải:
b. 0,36.4,25 = 0,9.1,7
Bài 65 trang 20 sách bài tập Toán 7 Tập 1: Lập tất cả các tỉ lệ thức có thể lập từ các tỉ lệ thức sau:
Lời giải:
Bài 66 trang 20 sách bài tập Toán 7 Tập 1: Lập tất cả các tỉ lệ thức có thể có từ các số sau: 5; 25; 125; 625.
Lời giải:
Ta có: 5.625 = 3125; 25.125 = 3125
Suy ra: 5.625 = 25.125
Bài 67 trang 20 sách bài tập Toán 7 Tập 1: Chứng minh rằng từ đẳng thức ad = bc (c, d ≠ 0), ta có thể suy ra được tỉ lệ
Lời giải:
Ta có: ad = bc; c ≠ 0; d ≠ 0 suy ra cd ≠ 0
Chia cả 2 vế cho cd. Suy ra:
Bài 68 trang 20 sách bài tập Toán 7 Tập 1: Hãy lập tất cả các tỉ lệ thức từ bốn trong 5 số sau đây: 4; 16; 64; 256; 1024
Lời giải:
+ Ta có: 4.256 = 1024; 16.64 = 1024
⇒ 4.256 = 16.64
Ta lập được các tỉ lệ thức:
+ Ta có : 16.1024 = 16384 ; 64.256 = 16384
⇒ 16.1024 = 64.256.
Ta lập được các tỉ lệ thức:
+ Ta có: 4.1024 = 4096; 16.256 = 4096.
⇒ 4.1024 = 16.256.
Ta lập được các tỉ lệ thức:
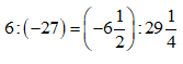
Bài 69 trang 20 sách bài tập Toán 7 Tập 1: Tìm x biết:
Lời giải:
Bài 70 trang 20 sách bài tập Toán 7 Tập 1: Tìm x trong các tỉ lệ thức sau:
Lời giải:
b) (0,25x) : 3 = (5/6) : 0,125
⇔ (0,25x).0,125 = 3. (5/6)
⇔ (0,25x).0,125 = 2,5
⇔ 0,25x = 2,5 : 0,125
⇔ 0,25x = 20
⇔ x = 20 : 0,25 = 80
c) 0,01 : 2,5 = (0,75x) : 0,75
⇔ (0,75x).2,5 = 0,01.0,75
⇔ (0,75x) = (0,01.0,75) : 2,5
⇔ 0,75x = 0,003
⇔ x = 0,003 : 0,75 ⇔ x = 0,004
Bài 71 trang 20 sách bài tập Toán 7 Tập 1: Cho tỉ lệ thức
và x.y = 112. Tìm x và y
Lời giải:
Ta có
⇒ x/4 = 2 hoặc x/4 = -2
⇒ x = 8 hoặc x = -8
Với x = 8 thì y = 112/8 = 14
Với x = -8 thì y = -14
Vậy ta có: x = 8; y = 14 hoặc x = -8; y = -14
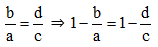
Bài 72 trang 20 sách bài tập Toán 7 Tập 1: Chứng minh rằng từ tỉ lệ thức
(với b + d ≠ 0) ta suy ra được
Lời giải:
Bài 73 trang 20 sách bài tập Toán 7 Tập 1: Cho a, b, c, d ≠ 0. Từ tỉ lệ thức
Hãy suy ra tỉ lệ thức:
Lời giải:
Vì a, b, c, d ≠ 0 nên ta có thể đặt
⇒ a = kb; c = kd
Ta có:
Suy ra
Cách 2:
Từ
ta suy ra
hay
Bài 7.1 trang 21 sách bài tập Toán 7 Tập 1: Cho tỉ lệ thức
Điền dấu x vào ô thích hợp trong bảng sau:
| Câu | Đúng | Sai |
| a) Các số 7,5 và 12 là các ngoại tỉ | ||
| b) Các số 4 và 7,5 là các trung tỉ | ||
| c) Các số 4 và 22,5 là các trung tỉ | ||
| d) Các số 22,5 và 12 là các trung tỉ | ||
| e) Các số 7,5 và 22,5 là các ngoại tỉ |
Lời giải:
| a) Đúng | b) Sai | c) Đúng | d) Sai | e) Sai |
Bài 7.2 trang 21 sách bài tập Toán 7 Tập 1: Từ tỉ lệ thức
Hãy chọn đáp án đúng.
Lời giải:
Chọn (B)
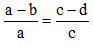
Bài 7.3 trang 21 sách bài tập Toán 7 Tập 1: Cho tỉ lệ thức
(a, b, c, d khác 0, a ≠ b, c ≠ d). Chứng minh rằng:
Lời giải:
Cách 1:
Ta có:
Cách 2:
Từ
hay
Xem thêm các bài giải sách bài tập Toán lớp 7 chọn lọc, chi tiết khác:
- Bài 8: Tính chất của dãy tỉ số bằng nhau
- Bài 9: Số thập phân hữu hạn. Số thập phân vô hạn tuần hoàn
- Bài 10: Làm tròn số
- Bài 11: Số vô tỉ. Khái niệm về căn bậc hai
- Bài 12: Số thực
Lời giải bài tập lớp 7 sách mới:
- Giải bài tập Lớp 7 Kết nối tri thức
- Giải bài tập Lớp 7 Chân trời sáng tạo
- Giải bài tập Lớp 7 Cánh diều
Tủ sách VIETJACK shopee lớp 6-8 (2025):
Đã có app VietJack trên điện thoại, giải bài tập SGK, SBT Soạn văn, Văn mẫu, Thi online, Bài giảng....miễn phí. Tải ngay ứng dụng trên Android và iOS.
Theo dõi chúng tôi miễn phí trên mạng xã hội facebook và youtube:Loạt bài Giải sách bài tập Toán lớp 7 hay nhất, chi tiết của chúng tôi được biên soạn bám sát nội dung SBT Toán 7 Tập 1 và Tập 2.
Nếu thấy hay, hãy động viên và chia sẻ nhé! Các bình luận không phù hợp với nội quy bình luận trang web sẽ bị cấm bình luận vĩnh viễn.
- Giải Tiếng Anh 7 Global Success
- Giải Tiếng Anh 7 Friends plus
- Giải sgk Tiếng Anh 7 Smart World
- Giải Tiếng Anh 7 Explore English
- Lớp 7 - Kết nối tri thức
- Soạn văn 7 (hay nhất) - KNTT
- Soạn văn 7 (ngắn nhất) - KNTT
- Giải sgk Toán 7 - KNTT
- Giải sgk Khoa học tự nhiên 7 - KNTT
- Giải sgk Lịch Sử 7 - KNTT
- Giải sgk Địa Lí 7 - KNTT
- Giải sgk Giáo dục công dân 7 - KNTT
- Giải sgk Tin học 7 - KNTT
- Giải sgk Công nghệ 7 - KNTT
- Giải sgk Hoạt động trải nghiệm 7 - KNTT
- Giải sgk Âm nhạc 7 - KNTT
- Lớp 7 - Chân trời sáng tạo
- Soạn văn 7 (hay nhất) - CTST
- Soạn văn 7 (ngắn nhất) - CTST
- Giải sgk Toán 7 - CTST
- Giải sgk Khoa học tự nhiên 7 - CTST
- Giải sgk Lịch Sử 7 - CTST
- Giải sgk Địa Lí 7 - CTST
- Giải sgk Giáo dục công dân 7 - CTST
- Giải sgk Công nghệ 7 - CTST
- Giải sgk Tin học 7 - CTST
- Giải sgk Hoạt động trải nghiệm 7 - CTST
- Giải sgk Âm nhạc 7 - CTST
- Lớp 7 - Cánh diều
- Soạn văn 7 (hay nhất) - Cánh diều
- Soạn văn 7 (ngắn nhất) - Cánh diều
- Giải sgk Toán 7 - Cánh diều
- Giải sgk Khoa học tự nhiên 7 - Cánh diều
- Giải sgk Lịch Sử 7 - Cánh diều
- Giải sgk Địa Lí 7 - Cánh diều
- Giải sgk Giáo dục công dân 7 - Cánh diều
- Giải sgk Công nghệ 7 - Cánh diều
- Giải sgk Tin học 7 - Cánh diều
- Giải sgk Hoạt động trải nghiệm 7 - Cánh diều
- Giải sgk Âm nhạc 7 - Cánh diều


Giải bài tập SGK & SBT
Tài liệu giáo viên
Sách
Khóa học
Thi online
Hỏi đáp

