Sách bài tập Toán 8 Bài 4: Quy đồng mẫu thức nhiều phân thức
Sách bài tập Toán 8 Bài 4: Quy đồng mẫu thức nhiều phân thức
Bài 13 trang 27 SBT Toán 8 Tập 1: Quy đồng mẫu thức các phân thức sau:
Lời giải:
a. Mẫu thức chung: 42x2y5
Ta có
b. Mẫu thức chung: 102x4y3
Ta có
c. Mẫu thức chung: 36x2y4
Ta có
d. Mẫu thức chung: 36x3y4
Ta có
e. Mẫu thức chung: 120x4y5
Ta có
f. Mẫu thức chung: 3x(x + 3)(x + 1)
Ta có
g. Mẫu thức chung: 2x(x + 2)3
Ta có
h. Ta có: 3x3 – 12x = 3x(x2 – 4) = 3x(x – 2)(x + 2)
(2x + 4)(x + 3) = 2(x + 2)(x + 3)
Suy ra mẫu thức chung là 6x(x – 2)(x + 2)(x + 3)
Bài 14 trang 27 SBT Toán 8 Tập 1: Quy đồng mẫu thức các phân thức:
Lời giải:
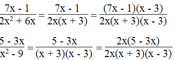
a. Ta có: 2x2 + 6x = 2x(x + 3); x2 – 9 = (x + 3)(x – 3)
Mẫu thức chung: 2x(x + 3)(x – 3)
b. Ta có: x – x2 = x(1 – x); 2 – 4x + 2x2 = 2(1 – 2x + x2) = 2(1 – x)2
Mẫu thức chung: 2x(1 – x)2
c. Ta có: x3 – 1 = (x – 1)(x2 + x + 1).
Mẫu thức chung: x3 – 1
d. Ta có: 8y2 – 2x2 = 2(4y2 – x2) = 2(2y + x)(2y – x)
Mẫu thức chung: 10x(2y + x)(2y – x)
e. Ta có: x3 + 6x2 + 12x + 8 = x3 + 3x2.2 + 3.x.22 + 23 = (x + 2)3
x2 + 4x + 4 = (x + 2)2; 2x + 4 = 2(x + 2)
Mẫu thức chung: 2(x + 2)3
Bài 15 trang 28 SBT Toán 8 Tập 1: Cho đa thức B = 2x3 + 3x2 – 29x + 30 và hai phân thức
a. Chia đa thức B cho các mẫu thức của hai phân thức đã cho
b. Quy đồng mẫu thức của hai phân thức đã cho.
Lời giải:
a.
b. Mẫu thức chung: 2x3 + 3x2 – 29x + 30
Bài 16 trang 28 SBT Toán 8 Tập 1: Cho hai phân thức Chứng tỏ rằng có thể chọn đa thức x3 – 7x2 + 7x + 15 làm mẫu thức chung để quy đồng mẫu thức của hai phân thức đã cho. Hãy quy đồng mẫu thức.
Lời giải:
Ta có:
Suy ra: x3 – 7x2 + 7x + 15 = (x2 – 4x – 5)(x – 3)
Lại có:
Suy ra: x3 – 7x2 + 7x + 15 = (x2 – 2x – 3)(x – 5)
Bài 4.1 trang 28 SBT Toán 8 Tập 1: Quy đồng mẫu thức ba phân thức
Lời giải:
x2 − 2xy + y2 − z2 = (x - y)2 − z2 = (x – y + z)(x – y − z)
y2 – 2yz + z2 − x2 = (y - z)2 − x2 = (y – z + x)(y – z − x) = -(x +y – z)(x – y + z)
z2 − 2zx + x2 − y2 = (z - x)2 - y2 = (z – x + y)(z – x -y) = (x- y –z).(x + y – z)
MTC = (x – y + z)(x + y − z)(x – y − z)
Bài 4.2 trang 28 SBT Toán 8 Tập 1: Cho hai phân thức
và
. Hãy xác định a và b biết rằng khi quy đồng mẫu thức chúng trở thành những phân thức có mẫu thức chung là x3 + 4x2 + x – 6. Viết tường minh hai phân thức đã cho và hai phân thức thu được sau khi quy đồng với mẫu thức chung là x3 + 4x2 + x – 6
Lời giải:
Ta có mẫu thức chung phải chia hết cho từng mẫu thức riêng.
Vì phép chia này là phép chia hết nên số dư phải bằng 0, tức là:
3 – a(4 – a) = 0 và 2 – 2a = 0 ⇒ a = 1.
Vậy phân thức thứ nhất là
Vì phép chia này là phép chia hết nên số dư phải bằng 0, tức là:
6 – b = 0 và -6 + b = 0 ⇒ b = 6.
Vậy phân thức thứ hai là
* Quy đồng:
Xem thêm các bài giải sách bài tập Toán lớp 8 chọn lọc, chi tiết khác:
- Bài 5: Phép cộng các phân thức đại số
- Bài 6: Phép trừ các phân thức đại số
- Bài 7: Phép nhân các phân thức đại số
- Bài 8: Phép chia các phân thức đại số
Xem thêm các loạt bài Để học tốt Toán lớp 8 hay khác:
Tủ sách VIETJACK shopee lớp 6-8 (2025):
Đã có app VietJack trên điện thoại, giải bài tập SGK, SBT Soạn văn, Văn mẫu, Thi online, Bài giảng....miễn phí. Tải ngay ứng dụng trên Android và iOS.
Theo dõi chúng tôi miễn phí trên mạng xã hội facebook và youtube:Loạt bài Giải sách bài tập Toán 8 hay, chi tiết của chúng tôi được biên soạn bám sát nội dung Sách bài tập Toán 8 Tập 1 & Tập 2.
Nếu thấy hay, hãy động viên và chia sẻ nhé! Các bình luận không phù hợp với nội quy bình luận trang web sẽ bị cấm bình luận vĩnh viễn.
- Giải Tiếng Anh 8 Global Success
- Giải sgk Tiếng Anh 8 Smart World
- Giải sgk Tiếng Anh 8 Friends plus
- Lớp 8 - Kết nối tri thức
- Soạn văn 8 (hay nhất) - KNTT
- Soạn văn 8 (ngắn nhất) KNTT
- Giải sgk Toán 8 - KNTT
- Giải sgk Khoa học tự nhiên 8 - KNTT
- Giải sgk Lịch Sử 8 - KNTT
- Giải sgk Địa Lí 8 - KNTT
- Giải sgk Giáo dục công dân 8 - KNTT
- Giải sgk Tin học 8 - KNTT
- Giải sgk Công nghệ 8 - KNTT
- Giải sgk Hoạt động trải nghiệm 8 - KNTT
- Giải sgk Âm nhạc 8 - KNTT
- Lớp 8 - Chân trời sáng tạo
- Soạn văn 8 (hay nhất) - CTST
- Soạn văn 8 (ngắn nhất) - CTST
- Giải sgk Toán 8 - CTST
- Giải sgk Khoa học tự nhiên 8 - CTST
- Giải sgk Lịch Sử 8 - CTST
- Giải sgk Địa Lí 8 - CTST
- Giải sgk Giáo dục công dân 8 - CTST
- Giải sgk Tin học 8 - CTST
- Giải sgk Công nghệ 8 - CTST
- Giải sgk Hoạt động trải nghiệm 8 - CTST
- Giải sgk Âm nhạc 8 - CTST
- Lớp 8 - Cánh diều
- Soạn văn 8 Cánh diều (hay nhất)
- Soạn văn 8 Cánh diều (ngắn nhất)
- Giải sgk Toán 8 - Cánh diều
- Giải sgk Khoa học tự nhiên 8 - Cánh diều
- Giải sgk Lịch Sử 8 - Cánh diều
- Giải sgk Địa Lí 8 - Cánh diều
- Giải sgk Giáo dục công dân 8 - Cánh diều
- Giải sgk Tin học 8 - Cánh diều
- Giải sgk Công nghệ 8 - Cánh diều
- Giải sgk Hoạt động trải nghiệm 8 - Cánh diều
- Giải sgk Âm nhạc 8 - Cánh diều


Giải bài tập SGK & SBT
Tài liệu giáo viên
Sách
Khóa học
Thi online
Hỏi đáp

