Sách bài tập Toán 8 Bài 5: Phép cộng các phân thức đại số
Sách bài tập Toán 8 Bài 5: Phép cộng các phân thức đại số
Bài 17 trang 28 SBT Toán 8 Tập 1: Cộng các phân thức cùng mẫu thức:
Lời giải:
Bài 18 trang 28 SBT Toán 8 Tập 1: Cộng các phân thức khác mẫu thức:
Lời giải:
a. Mẫu thức chung: 36x2y2.
b. Mẫu thức chung 45x3y3.
c. Mẫu thức chung: 4x2 – 2x = 2x.(2x – 1).
d. Mẫu thức chung: x3 + 1 = (x + 1)(x2 – x + 1)
Bài 19 trang 29 SBT Toán 8 Tập 1: Dùng quy tắc đổi dấu để tìm mẫu thức chung rồi thực hiện phép cộng:
Lời giải:
Bài 20 trang 29 SBT Toán 8 Tập 1: Cộng các phân thức:
Lời giải:
a.
b.
c.
Bài 21 trang 29 SBT Toán 8 Tập 1: Làm tính cộng các phân thức:
Lời giải:
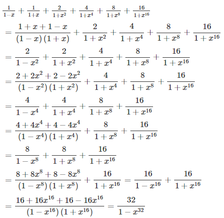
Bài 22 trang 29 SBT Toán 8 Tập 1: Cho hai biểu thức:
Chứng tỏ A = B.
Lời giải:
Ta có:
Vậy A = B.
Bài 23 trang 29 SBT Toán 8 Tập 1: Con tàu du lịch “Sông Hồng” đưa khách từ Hà Nội đến Việt Trì. Sau đó, nó nghỉ lại Việt Trì 2 giờ rồi quay về Hà Nội. Độ dài khúc sông từ Hà Nội đến Việt Trì là 70 km. Vận tốc dòng nước là 5km/h. Vận tốc thực của con tàu (tức là vận tốc trong nước yên lặng) là x km/h.
a. Hãy biểu diễn qua x:
- Thời gian ngược từ Hà Nội đến Việt Trì.
- Thời gian xuôi từ Việt Trì về Hà Nội.
- Thời gian kể từ lúc xuất phát đến khi về tới Hà Nội.
b. Tính thời gian kể từ lúc xuất phát đến khi con tàu về tới Hà Nội, biết rằng vận tốc lúc ngược dòng của con tàu là 20 km/h.
Lời giải:
a. Vận tốc tàu đi từ Hà Nội lên Việt Trì ngược dòng là x - 5 (km/h)
Khi đó thời gian tàu đi từ Hà Nội đến Việt Trì là 70 / (x - 5) (h)
Vận tốc tàu từ Việt Trì về Hà Nội lúc xuôi dòng là: x + 5 (km/h)
Thời gian đi từ Việt Trì về Hà Nội là: 70/(x+5) (km/h)
Thời gian kể từ lúc xuất phát đến khi về tới Hà Nội là:
b. Vận tốc lúc ngược dòng: x - 5 = 20 ⇒ x = 25 (km/h)
Vận tốc lúc xuôi dòng là 25 + 5 = 30 (km/h)
Thay vào (1), ta được
Bài 5.1 trang 30 SBT Toán 8 Tập 1: Cộng hai phân thức
Phương án nào sau đây là đúng?
(A) 7/(2x-1);
(B) 7/(1-2x);
(C) 1;
(D) – 1.
Lời giải:
Ta có:
Chọn C
Bài 5.2 trang 30 SBT Toán 8 Tập 1: Thực hiện phép cộng:
Lời giải:
Xem thêm các bài giải sách bài tập Toán lớp 8 chọn lọc, chi tiết khác:
- Bài 6: Phép trừ các phân thức đại số
- Bài 7: Phép nhân các phân thức đại số
- Bài 8: Phép chia các phân thức đại số
- Bài 9: Biến đổi các biểu thức hữu tỉ. Giá trị của phân thức
Xem thêm các loạt bài Để học tốt Toán lớp 8 hay khác:
Tủ sách VIETJACK shopee lớp 6-8 (2025):
Đã có app VietJack trên điện thoại, giải bài tập SGK, SBT Soạn văn, Văn mẫu, Thi online, Bài giảng....miễn phí. Tải ngay ứng dụng trên Android và iOS.
Theo dõi chúng tôi miễn phí trên mạng xã hội facebook và youtube:Loạt bài Giải sách bài tập Toán 8 hay, chi tiết của chúng tôi được biên soạn bám sát nội dung Sách bài tập Toán 8 Tập 1 & Tập 2.
Nếu thấy hay, hãy động viên và chia sẻ nhé! Các bình luận không phù hợp với nội quy bình luận trang web sẽ bị cấm bình luận vĩnh viễn.
- Giải Tiếng Anh 8 Global Success
- Giải sgk Tiếng Anh 8 Smart World
- Giải sgk Tiếng Anh 8 Friends plus
- Lớp 8 - Kết nối tri thức
- Soạn văn 8 (hay nhất) - KNTT
- Soạn văn 8 (ngắn nhất) KNTT
- Giải sgk Toán 8 - KNTT
- Giải sgk Khoa học tự nhiên 8 - KNTT
- Giải sgk Lịch Sử 8 - KNTT
- Giải sgk Địa Lí 8 - KNTT
- Giải sgk Giáo dục công dân 8 - KNTT
- Giải sgk Tin học 8 - KNTT
- Giải sgk Công nghệ 8 - KNTT
- Giải sgk Hoạt động trải nghiệm 8 - KNTT
- Giải sgk Âm nhạc 8 - KNTT
- Lớp 8 - Chân trời sáng tạo
- Soạn văn 8 (hay nhất) - CTST
- Soạn văn 8 (ngắn nhất) - CTST
- Giải sgk Toán 8 - CTST
- Giải sgk Khoa học tự nhiên 8 - CTST
- Giải sgk Lịch Sử 8 - CTST
- Giải sgk Địa Lí 8 - CTST
- Giải sgk Giáo dục công dân 8 - CTST
- Giải sgk Tin học 8 - CTST
- Giải sgk Công nghệ 8 - CTST
- Giải sgk Hoạt động trải nghiệm 8 - CTST
- Giải sgk Âm nhạc 8 - CTST
- Lớp 8 - Cánh diều
- Soạn văn 8 Cánh diều (hay nhất)
- Soạn văn 8 Cánh diều (ngắn nhất)
- Giải sgk Toán 8 - Cánh diều
- Giải sgk Khoa học tự nhiên 8 - Cánh diều
- Giải sgk Lịch Sử 8 - Cánh diều
- Giải sgk Địa Lí 8 - Cánh diều
- Giải sgk Giáo dục công dân 8 - Cánh diều
- Giải sgk Tin học 8 - Cánh diều
- Giải sgk Công nghệ 8 - Cánh diều
- Giải sgk Hoạt động trải nghiệm 8 - Cánh diều
- Giải sgk Âm nhạc 8 - Cánh diều


Giải bài tập SGK & SBT
Tài liệu giáo viên
Sách
Khóa học
Thi online
Hỏi đáp

