Sách bài tập Toán 9 Bài 4: Giải hệ phương trình bằng phương pháp cộng đại số
Sách bài tập Toán 9 Bài 4: Giải hệ phương trình bằng phương pháp cộng đại số
Bài 25 trang 11 Sách bài tập Toán 9 Tập 2: Giải các hệ phương trình sau bằng phương pháp cộng đại số:
Lời giải:
Bài 26 trang 11 Sách bài tập Toán 9 Tập 2: Giải các hệ phương trình:
Lời giải:
Bài 27 trang 11 Sách bài tập Toán 9 Tập 2: Giải các hệ phương trình:
Lời giải:
Vì phương trình 0x – 0y = 39 vô nghiệm nên hệ phương trình đã cho vô nghiệm.
Vì phương trình 0x – 0y = 20 vô nghiệm nên hệ phương trình đã cho vô nghiệm.
Vậy hệ phương trình đã cho có nghiệm (s; t) = (3;2)
Bài 28 trang 11 Sách bài tập Toán 9 Tập 2: Tìm hai số a và b sao cho 5a – 4b = -5 và đường thẳng: ax + by = -1 đi qua điểm A(-7; 4).
Lời giải:
Đường thẳng ax + by = -1 đi qua điểm A(-7; 4) nên tọa độ của A nghiệm đúng phương trình đường thẳng.
Ta có: a.(-7) + b.4 = -1
Khi đó ta có phương trình:
Vậy a = 3, b = 5.
Bài 29 trang 11 Sách bài tập Toán 9 Tập 2: Tìm giá trị của a và b để đường thẳng ax – by = 4 đi qua hai điểm A(4; 3), B(-6; -7)
Lời giải:
Đường thẳng ax – by = 4 đi qua hai điểm A(4; 3), B(-6; -7) nên tọa độ của A và B nghiệm đúng phương trình đường thẳng.
*Với điểm A: 4a – 3b = 4
*Với điểm B: -6a + 7b = 4
Hai số a và b là nghiệm của hệ phương trình:
Vậy a = 4, b = 4.
Bài 30 trang 11 Sách bài tập Toán 9 Tập 2: Giải các hệ phương trình theo hai cách:
*Cách thứ nhất: đưa hệ phương trình về dạng:
*Cách thứ hai: đặt ẩn phụ, chẳng hạn s = 3x – 2, t = 3y + 2
Lời giải:
Vậy hệ phương trình đã cho có nghiệm (x; y) = (43/51 ; -44/51 )
*Cách 2: Đặt m = 3x – 2, n = 3y + 2
Ta có hệ phương trình:
Ta có: 3x – 2 = 9/17 ⇔ 3x = 2 + 9/17 ⇔ 3x = 43/17 ⇔ x = 43/51
3y + 2 = - 10/17 ⇔ 3y = -2 - 10/17 ⇔ 3y = - 44/17 ⇔ y = - 44/51
Vậy hệ phương trình đã cho có nghiệm (x; y) = (43/51 ; -44/51 )
Vậy hệ phương trình có nghiệm (x;y) = (1; -2)
*Cách 2: Đặt m = x + y, n = x – y
Ta có hệ phương trình:
Vậy hệ phương trình có nghiệm (x;y) = (1; -2)
Bài 31 trang 12 Sách bài tập Toán 9 Tập 2: Tìm giá trị của m để nghiệm của hệ phương trình
cũng là nghiệm của phương trình 3mx – 5y = 2m + 1.
Lời giải:
Vì (x; y) = (11; 6) là nghiệm của phương trình 3mx – 5y = 2m +1 nên ta có:
3m.11 – 5.6 = 2m + 1
⇔ 33m – 30 = 2m + 1 ⇔ 31m = 31 ⇔ m = 1
Vậy với m = 1 thì nghiệm của
cũng là nghiệm của phương trình 3mx – 5y = 2m + 1.
Bài 32 trang 12 Sách bài tập Toán 9 Tập 2: Tìm giá trị của m để đường thẳng (d): y = (2m – 5)x – 5m đi qua giao điểm của hai đường thẳng (d1): 2x + 3y = 7 và (d2): 3x + 2y = 13
Lời giải:
Gọi I là giao điểm của (d1) và (d2). Khi đó tọa độ của I là nghiệm của hệ phương trình:
Tọa độ điểm I là I(5; -1)
Đường thẳng (d): y = (2m – 5)x – 5m đi qua I(5; -1) nên tọa độ của I nghiệm đúng phương trình đường thẳng:
Ta có: -1 = (2m – 5).5 – 5m ⇔ -1 = 10m – 25 – 5m
⇔ 5m = 24 ⇔ m = 24/5
Vậy với m = 24/5 thì đường thẳng (d) đi qua giao điểm của hai đường thẳng (d1) và (d2).
Bài 33 trang 12 Sách bài tập Toán 9 Tập 2: Tìm giá trị của m để ba đường thẳng sau đây đồng quy: (d1): 5x + 11y = 8, (d2): 10x – 7y = 74, (d3): 4mx + (2m – 1)y = m + 2
Lời giải:
Tọa độ giao điểm của (d1) và (d2) là nghiệm của hệ phương trình:
Tọa độ giao điểm của (d1) và (d2) là (x; y) = (6; -2)
Để ba đường thẳng (d1), (d2), (d3) đồng quy thì (d3) phải đi qua giao điểm của (d1) và (d2), nghĩa là (x; y) = (6; -2) nghiệm đúng phương trình đường thẳng (d3).
Khi đó ta có: 4m.6 + (2m – 1).(-2) = m + 2
⇔ 24m – 4m + 2 = m + 2 ⇔ 19m = 0 ⇔ m = 0
Vậy với m = 0 thì 3 đường thẳng (d1), (d2), (d3) đồng quy.
Bài 34 trang 12 Sách bài tập Toán 9 Tập 2: Nghiệm chung của ba phương trình đã cho được gọi là nghiệm của hệ gồm ba phương trình ấy. Giải hệ phương trình là tìm nghiệm chung của tất cả các phương trình trong hệ. Hãy giải các hệ phương trình sau:
Lời giải:
Thay x = 3, y = 5 vào vế trái của phương trình (3) ta được:
VT = 5.3 – 2.5 = 15 – 10 = 5 = VP
Vậy (x; y) = (3; 5) là nghiệm của phương trình (3).
Hệ phương trình đã cho có nghiệm (x; ) = (3; 5)
Thay x = -3, y = 31/5 vào vế trái của phương trình (2), ta được:
VT = -3.(-3) + 2.31/5 = 9 + 62/5 = 107/5 ≠ 22 = VP
Vậy (x; y) = (-3; 31/5 ) không phải là nghiệm của phương trình (2).
Hệ phương trình đã cho vô nghiệm.
Bài 1 trang 12 Sách bài tập Toán 9 Tập 2: Giải các hệ phương trình:
Lời giải:
Hai giá trị x = 2; y = -2 thỏa mãn điều kiện bài toán.
Vậy hệ phương trình đã cho có một nghiệm (x; y) = (2; -2)
Bài 2 trang 12 Sách bài tập Toán 9 Tập 2: Hãy xác định hàm số bậc nhất thỏa mãn mỗi điều kiện sau:
a) Đồ thị hàm số đi qua hai điểm M(-3; 1) và N(1; 2)
b) Đồ thị hàm số đi qua hai điểm M(√2 ; 1) và N(3; 3√2 - 1)
c) Đồ thị đi qua điểm M(-2; 9) và cắt đường thẳng (d): 3x – 5y = 1 tại điểm có hoành độ bằng 2.
Lời giải:
Hàm số bậc nhất có dạng y = ax + b (a ≠ 0)
a) Đồ thị hàm số y = ax + b đi qua M(-3; 1) và N(1; 2) nên tọa độ của M và N nghiệm đúng phương trình hàm số.
Điểm M: 1 = -3a + b
Điểm N: 2 = a + b
Hai số a và b là nghiệm của hệ phương trình:
b) Đồ thị hàm số y = ax + b đi qua M(√2 ; 1) và N(3; 3√2 - 1) nên tọa độ của M và N nghiệm đúng phương trình hàm số.
Hai số a và b là nghiệm của hệ phương trình:
c) Điểm N nằm trên đường thẳng (d): 3x – 5y = 1 có hoành độ bằng 2 nên tung độ của N bằng: 3.2 - 5y = 1 ⇔ -5y = -5 ⇔ y = 1
Điểm N( 2; 1)
Đồ thị hàm số y = ax + b đi qua M(-2; 9) và N(2; 1) nên tọa độ của M và N nghiệm đúng phương trình hàm số.
Điểm M: 9 = -2a + b
Điểm N: 1 =2a + b
Hai số a và b là nghiệm của hệ phương trình:
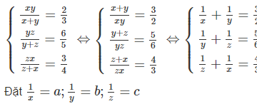
Bài 3 trang 13 Sách bài tập Toán 9 Tập 2: Giải hệ phương trình:
Lời giải:
Điều kiện: x ≠ -y; y ≠ -z; z ≠ -x
Từ hệ phương trình đã cho suy ra: x ≠ 0; y ≠ 0; z ≠ 0
Ta có hệ phương trình:
Cộng từng vế ba phương trình ta có:
Suy ra:
Vậy hệ phương trình đã cho có một nghiệm (x; y; z) = (1; 2; 3).
Xem thêm Video Giải sách bài tập Toán lớp 9 (SBT Toán 9) hay và chi tiết khác:
- Bài 5: Giải bài toán bằng cách lập hệ phương trình
- Ôn tập chương 3
- Bài 1: Hàm số y = ax2 (a ≠ 0)
- Bài 2: Đồ thị hàm số y = ax2 (a ≠ 0)
Xem thêm các loạt bài Để học tốt Toán lớp 9 hay khác:
- Giải bài tập Toán 9
- Chuyên đề Toán 9 (có đáp án - cực hay)
- Lý thuyết & 500 Bài tập Toán 9 (có đáp án)
- Các dạng bài tập Toán 9 cực hay
- Đề thi Toán 9
- Đề thi vào 10 môn Toán
Tủ sách VIETJACK luyện thi vào 10 cho 2k11 (2026):
Đã có app VietJack trên điện thoại, giải bài tập SGK, SBT Soạn văn, Văn mẫu, Thi online, Bài giảng....miễn phí. Tải ngay ứng dụng trên Android và iOS.
Theo dõi chúng tôi miễn phí trên mạng xã hội facebook và youtube:Loạt bài Giải sách bài tập Toán 9 hay, chi tiết của chúng tôi được biên soạn bám sát nội dung Sách bài tập Toán 9 Tập 1 & Tập 2.
Nếu thấy hay, hãy động viên và chia sẻ nhé! Các bình luận không phù hợp với nội quy bình luận trang web sẽ bị cấm bình luận vĩnh viễn.
- Giải Tiếng Anh 9 Global Success
- Giải sgk Tiếng Anh 9 Smart World
- Giải sgk Tiếng Anh 9 Friends plus
- Lớp 9 Kết nối tri thức
- Soạn văn 9 (hay nhất) - KNTT
- Soạn văn 9 (ngắn nhất) - KNTT
- Giải sgk Toán 9 - KNTT
- Giải sgk Khoa học tự nhiên 9 - KNTT
- Giải sgk Lịch Sử 9 - KNTT
- Giải sgk Địa Lí 9 - KNTT
- Giải sgk Giáo dục công dân 9 - KNTT
- Giải sgk Tin học 9 - KNTT
- Giải sgk Công nghệ 9 - KNTT
- Giải sgk Hoạt động trải nghiệm 9 - KNTT
- Giải sgk Âm nhạc 9 - KNTT
- Giải sgk Mĩ thuật 9 - KNTT
- Lớp 9 Chân trời sáng tạo
- Soạn văn 9 (hay nhất) - CTST
- Soạn văn 9 (ngắn nhất) - CTST
- Giải sgk Toán 9 - CTST
- Giải sgk Khoa học tự nhiên 9 - CTST
- Giải sgk Lịch Sử 9 - CTST
- Giải sgk Địa Lí 9 - CTST
- Giải sgk Giáo dục công dân 9 - CTST
- Giải sgk Tin học 9 - CTST
- Giải sgk Công nghệ 9 - CTST
- Giải sgk Hoạt động trải nghiệm 9 - CTST
- Giải sgk Âm nhạc 9 - CTST
- Giải sgk Mĩ thuật 9 - CTST
- Lớp 9 Cánh diều
- Soạn văn 9 Cánh diều (hay nhất)
- Soạn văn 9 Cánh diều (ngắn nhất)
- Giải sgk Toán 9 - Cánh diều
- Giải sgk Khoa học tự nhiên 9 - Cánh diều
- Giải sgk Lịch Sử 9 - Cánh diều
- Giải sgk Địa Lí 9 - Cánh diều
- Giải sgk Giáo dục công dân 9 - Cánh diều
- Giải sgk Tin học 9 - Cánh diều
- Giải sgk Công nghệ 9 - Cánh diều
- Giải sgk Hoạt động trải nghiệm 9 - Cánh diều
- Giải sgk Âm nhạc 9 - Cánh diều
- Giải sgk Mĩ thuật 9 - Cánh diều


Giải bài tập SGK & SBT
Tài liệu giáo viên
Sách
Khóa học
Thi online
Hỏi đáp

