Sách bài tập Toán 9 Bài 3: Giải hệ phương trình bằng phương pháp thế
Sách bài tập Toán 9 Bài 3: Giải hệ phương trình bằng phương pháp thế
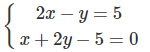
Bài 16 trang 9 Sách bài tập Toán 9 Tập 2: Giải các hệ phương trình sau bằng phương pháp thế:
Lời giải:
Vậy hệ phương trình có nghiệm duy nhất (x; y) = (2; -1).
Vậy hệ phương trình có nghiệm duy nhất (x; y) = (1; 3)
Vậy hệ phương trình có nghiệm duy nhất (x; y) = (6; 1).
d.
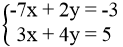
Bài 17 trang 9 Sách bài tập Toán 9 Tập 2: Giải các hệ phương trình:
Lời giải:
a.
Vậy hệ phương trình có nghiệm duy nhất (x; y) = (0; 3 -√5 ).
Bài 18 trang 9 Sách bài tập Toán 9 Tập 2: Tìm giá trị của a và b:
a. Để hệ phương trình
có nghiệm là (x; y) = (1; -5)
b. Để hệ phương trình
có nghiệm là (x; y) = (3; -1)
Lời giải:
a. Thay x = 1, y = -5 vào hệ phương trình ta được:
Vậy khi a = 1,b = 17 thì hệ phương trình
có nghiệm là (x; y) = (1; -5).
b) Để hệ phương trình có nghiệm là (x; y) = (3; -1) thì (x;y) = (3; -1) thỏa mãn hệ phương trình
Thay x = 3, y = -1 vào hệ phương trình ta được:
Vậy với a = 2, b = -5 thì hệ phương trình có nghiệm là (x;y) = (3; -1)
Bài 19 trang 9 Sách bài tập Toán 9 Tập 2: Tìm giá trị của a và b để hai đường thẳng:
(d1): (3a – 1)x + 2by = 56 và (d2):
cắt nhau tại điểm M(2; -5).
Lời giải:
Hai đường thẳng:
(d1): (3a – 1)x + 2by = 56 và (d2):
cắt nhau tại điểm M(2; -5) nên tọa độ của M là nghiệm của hệ phương trình:
Thay x = 2, y = -5 vào hệ phương trình, ta có:
Vậy khi a = 8, b = -1 thì hai đường thẳng (d1): (3a – 1)x + 2by = 56 và (d2):
cắt nhau tại điểm M(2; -5).
Bài 20 trang 9 Sách bài tập Toán 9 Tập 2: Tìm a và b để:
a. Đường thẳng y = ax + b đi qua hai điểm A(-5; 3), B(3/2 ; -1);
b. Đường thẳng ax – 8y = b đi qua điểm M(9; -6) và đi qua giao điểm của hai đường thẳng (d1): 2x + 5y = 17, (d2): 4x – 10y = 14.
Lời giải:
a. Đường thẳng y = ax + b đi qua hai điểm A(-5; 3), B(3/2 ; -1) nên tọa độ của A và B nghiệm đúng phương trình đường thẳng.
*Điểm A: 3 = -5a + b
*Điểm B:
Khi đó a và b là nghiệm của hệ phương trình:
Vậy khi a = - 8/13 ; b = - 1/13 thì đường thẳng y = ax + b đi qua hai điểm A(-5; 3), B(3/2 ; -1).
Đường thẳng cần tìm là
b. Tọa độ giao điểm của hai đường thẳng (d1): 2x + 5y = 17, (d2): 4x – 10y = 14 là nghiệm của hệ phương trình:
Khi đó (d1) và (d2) cắt nhau tại N(6; 1).
Đường thẳng ax – 8y = b đi qua điểm M(9; -6) và N(6;1) nên tọa độ của M và N nghiệm đúng phương trình đường thẳng.
*Điểm M: 9a + 48 = b
*Điểm N: 6a – 8 = b
Khi đó a và b là nghiệm của hệ phương trình:
Vậy khi a = - 56/3 , b = -120 thì đường thẳng ax – 8y = b đi qua điểm M(9; -6) và đi qua giao điểm của hai đường thẳng (d1): 2x + 5y = 17, (d2): 4x – 10y = 14.
Bài 21 trang 9 Sách bài tập Toán 9 Tập 2: Tìm giá trị của m để:
a. Hai đường thẳng (d1): 5x – 2y = 3; (d2): x + y = m cắt nhau tại một điểm trên trục Oy. Vẽ hai đường thẳng này trên cùng một mặt phẳng tọa độ.
b. Hai đường thẳng (d1): mx + 3y = 10; (d2): x – 2y = 4 cắt nhau tại một điểm trên trục Ox. Vẽ hai đường thẳng này trên cùng một mặt phẳng tọa độ.
Lời giải:
a. Giả sử hai đường thẳng (d1): 5x – 2y = 3; (d2): x + y = m cắt nhau tại điểm A(x, y).
Vì giao điểm A nằm trên trục Oy nên x = 0. Suy ra: A(0; y).
Khi đó điểm A(0; y) là nghiệm của hệ phương trình:
Vậy khi m = - 3/2 thì (d1): 5x – 2y = 3; (d2): x + y = m cắt nhau tại một điểm trên trục Oy.
Phương trình đường thẳng (d2): x + y = - 3/2
Đồ thị: hình a.
b. Giả sử hai đường thẳng (d1): mx + 3y = 10; (d2): x – 2y = 4 cắt nhau tại điểm B(x, y).
Vì điểm B nằm trên trục Ox nên y = 0 ⇒ B( x, 0).
Khi đó điểm B(x; 0) là nghiệm của hệ phương trình:
Vậy khi m = 5/2 thì (d1): mx + 3y = 10; (d2): x – 2y = 4 cắt nhau tại một điểm trên trục Ox.
Phương trình đường thẳng (d1):
5x + 6y = 20
*Vẽ (d1): Cho x = 0 thì y = 10/3 ⇒ (0; 10/3 )
Cho y = 0 thì x = 4 ⇒ (4; 0)
*Vẽ (d2): x - 2y = 4. Cho x = 0 thì y = -2 ⇒ (0; -2)
Cho y = 0 thì x = 4 ⇒ (4; 0)
Đồ thị: hình b.
Bài 22 trang 10 Sách bài tập Toán 9 Tập 2: Tìm giao điểm của hai đường thẳng:
a. (d1): 5x – 2y = c và (d2): x + by = 2, biết rằng (d1) đi qua điểm A(5; -1) và (d2) đi qua điểm B(-7; 3).
b. (d1): ax + 2y = -3 và (d2): 3x – by = 5, biết rằng (d1) đi qua điểm M(3; 9) và (d2) đi qua điểm N(-1; 2).
Lời giải:
a. *Đường thẳng (d1): 5x – 2y = c đi qua điểm A(5; -1) nên tọa độ điểm A nghiệm đúng phương trình đường thẳng.
Ta có: 5.5 – 2.(-1) = c ⇔ 25 + 2 = c ⇔ c = 27
Phương trình đường thẳng (d1): 5x – 2y = 27
*Đường thẳng (d2): x + by = 2 đi qua điểm B(-7; 3) nên tọa độ điểm B nghiệm đúng phương trình đường thẳng.
Ta có: -7 + 3b = 2 ⇔ 3b = 9 ⇔ b = 3
Phương trình đường thẳng (d2): x + 3y = 2
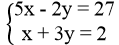
*Tọa độ giao điểm của (d1) và (d2) là nghiệm của hệ phương trình:
Vậy tọa độ giao điểm của (d1) và (d2) là (5; -1).
b. *Đường thẳng (d1): ax + 2y = -3 đi qua điểm M(3; 9) nên tọa độ điểm M nghiệm đúng phương trình đường thẳng.
Ta có: a.3 + 2.9 = -3 ⇔ 3a + 18 = -3 ⇔ 3a = -21 ⇔ a = -7
Phương trình đường thẳng (d1): -7x + 2y = -3
*Đường thẳng (d2): 3x – by = 5 đi qua điểm N(-1; 2) nên tọa độ điểm N nghiệm đúng phương trình đường thẳng.
Ta có: 3.(-1) – b.2 = 5 ⇔ -3 – 2b = 5 ⇔ 2b = -8 ⇔ b = -4
Phương trình đường thẳng (d2): 3x + 4y = 5
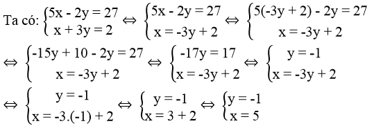
*Tọa độ giao điểm của (d1) và (d2) là nghiệm của hệ phương trình:
Bài 23 trang 10 Sách bài tập Toán 9 Tập 2: Giải các hệ phương trình:
Lời giải:
Vậy nghiệm của hệ phương trình là (x; y) = (0; 0)
Bài 24 trang 10 Sách bài tập Toán 9 Tập 2: Giải các hệ phương trình sau bằng cách đặt ẩn số phụ:
Lời giải:
Vậy nghiệm của hệ phương trình là (x; y) = (1; 2).
Bài 1 trang 10 Sách bài tập Toán 9 Tập 2: Tìm a và b để hệ
có nghiệm là (x; y) = (1; -4)
Lời giải:
Cặp (x; y) = (1; -4) là nghiệm của hệ phương trình. Thay x = 1; y = -4 vào hệ phương trình ta có:
Vậy hằng số a = 5; b = -3
Bài 2 trang 10 Sách bài tập Toán 9 Tập 2: Giải hệ phương trình:
Lời giải:
Ta đưa về giải hai hệ phương trình:
hoặc
Giải hệ:
Giải hệ:
Vậy hệ phương trình đã cho có hai nghiệm
(x1; y1) = (1; -3) và (x2; y2) = (3; 1)
Xem thêm Video Giải sách bài tập Toán lớp 9 (SBT Toán 9) hay và chi tiết khác:
- Bài 4: Giải hệ phương trình bằng phương pháp cộng đại số
- Bài 5: Giải bài toán bằng cách lập hệ phương trình
- Ôn tập chương 3
- Bài 1: Hàm số y = ax2 (a ≠ 0)
Xem thêm các loạt bài Để học tốt Toán lớp 9 hay khác:
- Giải bài tập Toán 9
- Chuyên đề Toán 9 (có đáp án - cực hay)
- Lý thuyết & 500 Bài tập Toán 9 (có đáp án)
- Các dạng bài tập Toán 9 cực hay
- Đề thi Toán 9
- Đề thi vào 10 môn Toán
Tủ sách VIETJACK luyện thi vào 10 cho 2k11 (2026):
Đã có app VietJack trên điện thoại, giải bài tập SGK, SBT Soạn văn, Văn mẫu, Thi online, Bài giảng....miễn phí. Tải ngay ứng dụng trên Android và iOS.
Theo dõi chúng tôi miễn phí trên mạng xã hội facebook và youtube:Loạt bài Giải sách bài tập Toán 9 hay, chi tiết của chúng tôi được biên soạn bám sát nội dung Sách bài tập Toán 9 Tập 1 & Tập 2.
Nếu thấy hay, hãy động viên và chia sẻ nhé! Các bình luận không phù hợp với nội quy bình luận trang web sẽ bị cấm bình luận vĩnh viễn.
- Giải Tiếng Anh 9 Global Success
- Giải sgk Tiếng Anh 9 Smart World
- Giải sgk Tiếng Anh 9 Friends plus
- Lớp 9 Kết nối tri thức
- Soạn văn 9 (hay nhất) - KNTT
- Soạn văn 9 (ngắn nhất) - KNTT
- Giải sgk Toán 9 - KNTT
- Giải sgk Khoa học tự nhiên 9 - KNTT
- Giải sgk Lịch Sử 9 - KNTT
- Giải sgk Địa Lí 9 - KNTT
- Giải sgk Giáo dục công dân 9 - KNTT
- Giải sgk Tin học 9 - KNTT
- Giải sgk Công nghệ 9 - KNTT
- Giải sgk Hoạt động trải nghiệm 9 - KNTT
- Giải sgk Âm nhạc 9 - KNTT
- Giải sgk Mĩ thuật 9 - KNTT
- Lớp 9 Chân trời sáng tạo
- Soạn văn 9 (hay nhất) - CTST
- Soạn văn 9 (ngắn nhất) - CTST
- Giải sgk Toán 9 - CTST
- Giải sgk Khoa học tự nhiên 9 - CTST
- Giải sgk Lịch Sử 9 - CTST
- Giải sgk Địa Lí 9 - CTST
- Giải sgk Giáo dục công dân 9 - CTST
- Giải sgk Tin học 9 - CTST
- Giải sgk Công nghệ 9 - CTST
- Giải sgk Hoạt động trải nghiệm 9 - CTST
- Giải sgk Âm nhạc 9 - CTST
- Giải sgk Mĩ thuật 9 - CTST
- Lớp 9 Cánh diều
- Soạn văn 9 Cánh diều (hay nhất)
- Soạn văn 9 Cánh diều (ngắn nhất)
- Giải sgk Toán 9 - Cánh diều
- Giải sgk Khoa học tự nhiên 9 - Cánh diều
- Giải sgk Lịch Sử 9 - Cánh diều
- Giải sgk Địa Lí 9 - Cánh diều
- Giải sgk Giáo dục công dân 9 - Cánh diều
- Giải sgk Tin học 9 - Cánh diều
- Giải sgk Công nghệ 9 - Cánh diều
- Giải sgk Hoạt động trải nghiệm 9 - Cánh diều
- Giải sgk Âm nhạc 9 - Cánh diều
- Giải sgk Mĩ thuật 9 - Cánh diều


Giải bài tập SGK & SBT
Tài liệu giáo viên
Sách
Khóa học
Thi online
Hỏi đáp

