Tóm tắt công thức Chất khí Vật Lí 10 chi tiết
Tóm tắt công thức Chất khí Vật Lí 10 chi tiết
Tóm tắt công thức quan trọng Vật Lí lớp 10 Chương 5: Chất khí chi tiết sẽ giúp học sinh dễ dàng tổng kết lại kiến thức đã học từ đó có kế hoạch ôn tập hiệu quả để đạt kết quả cao trong các bài thi môn Vật Lí 10.
1. Khí lí tưởng
- Số mol:

- Số phân tử / nguyên tử:

- Khối lượng:

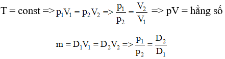
- Khối lượng riêng:

2. Công thức các quá trình biến đổi trạng thái của khí lí tưởng
- Phương trình trạng thái khí lý tưởng

- Phương trình Claperon-Mendeleep:

Trong đó: R = 8,31 J/mol.K
T = toC + 273
- Quá trình đẳng nhiệt:

+ Định luật Bôi-lơ – Ma-ri-ot:
p ~  (p tỉ lệ nghịch với V)
 (p tỉ lệ nghịch với V)
Chú ý: Đồ thị (P,V) đường đẳng nhiệt là 1 đường hypebol

- Quá trình đẳng tích:

+ Định luật Sác – lơ:
p ~ T (p tỉ lệ thuận với T)
Chú ý: Đồ thị (p,T) đường đẳng tích là 1 đường thẳng đi qua gốc tọa độ

- Quá trình đẳng áp:

+ Định luật Gay-luyxac:
V ~ T (V tỉ lệ thuận với nhiệt độ tuyệt đối T)
Chú ý: Đồ thị (V,T) đường đẳng áp là 1 đường thẳng đi qua gốc tọa độ

Xem thêm các bài Tóm tắt Công thức Vật Lí lớp 10 quan trọng đầy đủ chi tiết hay khác:
Đã có app VietJack trên điện thoại, giải bài tập SGK, SBT Soạn văn, Văn mẫu, Thi online, Bài giảng....miễn phí. Tải ngay ứng dụng trên Android và iOS.
Theo dõi chúng tôi miễn phí trên mạng xã hội facebook và youtube:Nếu thấy hay, hãy động viên và chia sẻ nhé! Các bình luận không phù hợp với nội quy bình luận trang web sẽ bị cấm bình luận vĩnh viễn.
- Đề thi lớp 1 (các môn học)
- Đề thi lớp 2 (các môn học)
- Đề thi lớp 3 (các môn học)
- Đề thi lớp 4 (các môn học)
- Đề thi lớp 5 (các môn học)
- Đề thi lớp 6 (các môn học)
- Đề thi lớp 7 (các môn học)
- Đề thi lớp 8 (các môn học)
- Đề thi lớp 9 (các môn học)
- Đề thi lớp 10 (các môn học)
- Đề thi lớp 11 (các môn học)
- Đề thi lớp 12 (các môn học)
- Giáo án lớp 1 (các môn học)
- Giáo án lớp 2 (các môn học)
- Giáo án lớp 3 (các môn học)
- Giáo án lớp 4 (các môn học)
- Giáo án lớp 5 (các môn học)
- Giáo án lớp 6 (các môn học)
- Giáo án lớp 7 (các môn học)
- Giáo án lớp 8 (các môn học)
- Giáo án lớp 9 (các môn học)
- Giáo án lớp 10 (các môn học)
- Giáo án lớp 11 (các môn học)
- Giáo án lớp 12 (các môn học)
 
    
	                 
	                 
	                 
	                 
	                 
	                

 
 Giải bài tập SGK & SBT
		                    Giải bài tập SGK & SBT
		                 Tài liệu giáo viên
		                    Tài liệu giáo viên
		                 Sách
		                    Sách
		                 Khóa học
		                    Khóa học
		                 Thi online
		                    Thi online
		                 Hỏi đáp
		                    Hỏi đáp
		                
