Tóm tắt công thức Mắt - Các dụng cụ quang Vật Lí 11 chi tiết
Tóm tắt công thức Mắt - Các dụng cụ quang Vật Lí 11 chi tiết
Tóm tắt công thức quan trọng Vật Lí lớp 11 Chương 7: Mắt - Các dụng cụ quang chi tiết sẽ giúp học sinh dễ dàng tổng kết lại kiến thức đã học từ đó có kế hoạch ôn tập hiệu quả để đạt kết quả cao trong các bài thi môn Vật Lí 11.
1. Các công thức lăng kính


Với i, i’ là góc tới và góc ló, A là góc chiết quang, D là góc lệch tạo bởi tia tới và tia ló.
- Trường hợp góc nhỏ:
D = ( n - 1 ). A
i = nr', i' = nr'
A = r + r'
- Góc lệch cực tiểu:
+ Khi góc lệch cực tiểu, đường đi của tia sáng đối xứng qua mặt phân giác của góc chiết quang.
+ Kí hiệu góc lệch cực tiểu là Dm , góc tới ứng với góc lệch cực tiểu là im , ta có:

Dmin = 2 imin - A

                                                             
- Góc lệch giữa 2 tia sáng đơn sắc qua lăng kính (chiết suất đối với lăng kính lần lượt là n1 và n2 (n1 > n2):
ΔD = (n1 - n2 ).A
- Chiếu ánh sáng trắng qua lăng kính với góc tới và góc chiết quang nhỏ hơn 100:

+ Góc lệch: D = (n – 1).A
+ Độ rộng quang phổ thu được trên màn:
ĐT = AK.(tanDt – tanDđ)
(nt và nđ là chiết suất của ánh sáng tím và ánh sáng đỏ đối với lăng kính và A tính bằng radian)
2. Công thức thấu kính
- Độ tụ thấu kính:
 
 
Quy ước: Thấu kính hội tụ: f > 0, D > 0
Thấu kính phân kỳ: f < 0, D < 0
- Độ tụ của hệ thấu kính ghép sát (a = 0)
 
 
- Công thức thấu kính:

Quy ước: Vật thật: d > 0, Ảnh thật: d’ > 0
Thấu kính hội tụ: f > 0; Thấu kính phân kỳ: f < 0
- Độ phóng đại của ảnh: là tỉ số chiều cao của ảnh và chiều cao của vật:
 
 
* k > 0: Ảnh cùng chiều với vật.
* k < 0: Ảnh ngược chiều với vật.
- Bài toán “Giữa vật và màn có 2 vị trí thấu kính hội tụ cho ảnh rõ nét trên màn”:
 
 
- Khoảng cách vật - ảnh:
+ TH1: TKHT: Vật thật cho ảnh thật: L = d + d’
+ TH2: TKHT: Vật thật cho ảnh ảo: L = -(d + d’)
+ TH3: TKPK: Vật thật luôn ảnh ảo: L = d + d’
- Điều kiện để vật thật qua TKHT cho ảnh thật là:
L ≥ 4f , L = d + d’: khoảng cách giữa vật và ảnh
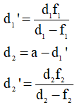
- Công thức ghép thấu kính (cách nhau khoảng a):
 
 
3. Công thức về mắt
- Giới hạn thấy rõ của mắt:
Mắt thường: fmax = OV, OCc = Đ = 25 cm; OCv = ∞
- Góc trông vật:
 
 
Trong đó: AB: kích thước vật;
l = AO = khoảng cách từ vật tới quang tâm O của mắt.
- Năng suất phân ly của mắt:
  + Mắt bình thường:  
 
- Mắt cận thị:
+ fmax < OV; OCc < Đ ; OCv < ∞ => Dcận > Dthường
+ Chữa tật: Đeo THPK có tiêu cự fk = - OCV hoặc đeo cách mắt:
fk = - ( OM CV - OM OK)
+ Khi đeo kính trên sát mắt, mắt có thể nhìn rõ vật gần nhất cách mắt là:
 
 
- Mắt viễn thị:
+ fmax > OV; OCc > Đ; OCv: ảo ở sau mắt => Dviễn < Dthường
+ Sửa tật: đeo kính TKHT sao cho:
* Mắt có thể nhìn thấy được vật (đọc sách) ở gần như mắt thường:
 
 
dc: khoảng cách gần nhất từ sách đến mắt người ( d ≈ 25 cm)
OCC: khoảng nhìn rõ ngắn nhất của mắt người bị viễn thị
* Mắt nhìn rõ vật ở vô cùng mà không phải điều tiết (kính đeo sát mắt):
 
 
- Mắt lão thị:
+ Người già phải đeo kính TKHT (kính đeo sát mắt) có tiêu cự:
 
 
4. Công thức các dụng cụ quang
- Kính lúp:
   + Độ bội giác:  (vì góc α và α0 rất nhỏ)
 (vì góc α và α0 rất nhỏ)
   + Độ bội giác của kính lúp khi ngắm chừng ở vô cực:  
 
- Kính hiển vi:
+ Độ bội giác của kính khi ngắm chừng ở vô cực:  
 
Trong đó: δ = O1 O2 - f1 - f2 : độ dài quang học.
Đ = OCC
                                           : số phóng đại ảnh bởi vật kính
: số phóng đại ảnh bởi vật kính
G2: số bội giác của thị kính
- Kính thiên văn:
    + Độ bội giác của kính khi ngắm chừng ở vô cực:  
 
Trong đó: O1 O2 = f1 + f2
Xem thêm các bài Tóm tắt Công thức Vật Lí lớp 11 quan trọng đầy đủ chi tiết hay khác:
Đã có app VietJack trên điện thoại, giải bài tập SGK, SBT Soạn văn, Văn mẫu, Thi online, Bài giảng....miễn phí. Tải ngay ứng dụng trên Android và iOS.
Theo dõi chúng tôi miễn phí trên mạng xã hội facebook và youtube:Nếu thấy hay, hãy động viên và chia sẻ nhé! Các bình luận không phù hợp với nội quy bình luận trang web sẽ bị cấm bình luận vĩnh viễn.
- Đề thi lớp 1 (các môn học)
- Đề thi lớp 2 (các môn học)
- Đề thi lớp 3 (các môn học)
- Đề thi lớp 4 (các môn học)
- Đề thi lớp 5 (các môn học)
- Đề thi lớp 6 (các môn học)
- Đề thi lớp 7 (các môn học)
- Đề thi lớp 8 (các môn học)
- Đề thi lớp 9 (các môn học)
- Đề thi lớp 10 (các môn học)
- Đề thi lớp 11 (các môn học)
- Đề thi lớp 12 (các môn học)
- Giáo án lớp 1 (các môn học)
- Giáo án lớp 2 (các môn học)
- Giáo án lớp 3 (các môn học)
- Giáo án lớp 4 (các môn học)
- Giáo án lớp 5 (các môn học)
- Giáo án lớp 6 (các môn học)
- Giáo án lớp 7 (các môn học)
- Giáo án lớp 8 (các môn học)
- Giáo án lớp 9 (các môn học)
- Giáo án lớp 10 (các môn học)
- Giáo án lớp 11 (các môn học)
- Giáo án lớp 12 (các môn học)
 
    
	                 
	                 
	                 
	                 
	                 
	                

 
 Giải bài tập SGK & SBT
		                    Giải bài tập SGK & SBT
		                 Tài liệu giáo viên
		                    Tài liệu giáo viên
		                 Sách
		                    Sách
		                 Khóa học
		                    Khóa học
		                 Thi online
		                    Thi online
		                 Hỏi đáp
		                    Hỏi đáp
		                
