Tóm tắt công thức Vật Lí 11 chương trình mới
Bộ tài liệu Tóm tắt công thức quan trọng Vật Lí 11 cả năm chi tiết chương trình sách mới Chân trời sáng tạo, Kết nối tri thức, Cánh diều sẽ giúp học sinh dễ dàng tổng kết lại kiến thức đã học từ đó có kế hoạch ôn tập hiệu quả để đạt kết quả cao trong các bài thi môn Vật Lí 11.
Tóm tắt công thức Vật Lí 11 chương trình mới
- Công thức năng lượng của con lắc lò xo trong dao động điều hoà 
- Công thức năng lượng của con lắc đơn trong dao động điều hoà 
- Công thức điều kiện để có sóng dừng trường hợp sợi dây có hai đầu cố định 
- Công thức điều kiện để có sóng dừng trường hợp sợi dây có một đầu cố định, một đầu tự do 
- Công thức mối liên hệ giữa cường độ điện trường và hiệu điện thế trong điện trường đều 
Lưu trữ: Công thức Vật Lí 11 (sách cũ)
Tài liệu tóm tắt công thức Vật Lí lớp 11 gồm 7 chương, liệt kê các công thức quan trọng nhất:
Hi vọng với bài tóm tắt công thức Vật Lí 11 này, học sinh sẽ dễ dàng nhớ được công thức và biết cách làm các dạng bài tập Vật Lí lớp 11. Mời các bạn đón xem:

Tóm tắt công thức Vật Lí 11 Chương 1: Điện tích Điện trường
1. Công thức về lực điện
- Định luật Cu-lông:  
 
e là hằng số điện môi, phụ thuộc bản chất của điện môi.
k = 9.109: hệ số tỉ lệ (Nm2/C2)
q1, q2: điện tích của 2 điện tích (C)
r: khoảng cách giữa 2 điện tích (m)
Qui ước: Chân không và không khí có e = 1.
Mọi môi trường khác có e > 1.


- Nguyên lý chồng chất lực điện:  
 
- Điện tích của một vật: q = N.e => Số e:  
 
Trong đó: e = 1,6.10-19 C
- Khi cho hai điện tích q1, q2 tiếp xúc nhau, sau đó tách ra thì điện tích sau tiếp xúc là:
 
 
- Khi đặt điện tích q trong điện trường  
 
   + Độ lớn:  
 
       Chú ý:  
 
- Bài toán thay đổi khoảng cách hai điện tích:
 
 
Trong đó: r1: khoảng cách lúc đầu
r2: khoảng cách lúc sau
- Lực điện tại trung điểm M của AB:
 
 
- Bài toán dây treo vật m tích điện nằm cân bằng:

q1 nằm cân bằng khi:

Dựa vào hình vẽ ta có:

Nếu r < l => α rất nhỏ => tan α ≈ sin α

2. Công thức về điện trường
- Công thức cường độ điện trường:
- tại điểm M do một điện tích điểm gây ra có gốc tại M, có phương nằm trên đường thẳng QM, có chiều hướng ra xa Q nếu Q > 0, hướng lại gần Q nếu Q < 0, có độ lớn
 
 
 
 
- Nguyên lý chồng chất điện trường: 
    + Nếu  bất kì và góc giữa chúng là α thì:
 bất kì và góc giữa chúng là α thì:
E2 = E12 + E12 + 2E1E2cos α
+ Các trường hợp đặc biệt:
  
- Điện trường đều:  hay U = E.d
 hay U = E.d
- Cường độ điện trường tại trung điểm M của AB:
 
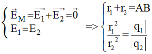
- Bài toán cường độ điện trường tổng hợp bằng 0:
    * Nếu:  
 
                
+ Hai điện tích đặt tại A và B cùng dấu, q1 > 0 đặt tại A, q2 < 0 đặ tại B
Gọi M là là điểm có cường độ điện trường bị triệt tiêu:
  
+ Hai điện tích đặt tại A và B trái dấu. q1 < 0 đặt tại A và q2 > 0 đặt tại B.
Với |q1| > |q2| ⇒ M thuộc đường thẳng AB và ngoài đoạn AB, gần B hơn (r1 > r2):
 
Với |q1| < |q2| ⇒ M thuộc đường thẳng AB và ngoài đoạn AB, gần A hơn (r2 > r1):
  
     * Nếu  
 
- Bài toán điện tích nằm cân bằng trong điện trường:

Nếu r < l => α rất nhỏ => tan α ≈ sin α

- Bài toán hạt bụi nằm cân bằng tròn điện trường giữa hai bản tụ điện:


3. Công thức công của lực điện trường và năng lượng điện trường bên trong tụ điện
- Công của điện trường:
AMN = qEd = qE.s.cos α = qUMN = q(VM - VN) = WM - WN
Trong đó: d = s.cos α là hình chiếu của đoạn MN lên một phương đường sức.
- Hiệu điện thế: UMN = Ed = VM - VN.
- Điện thế:
- Điện dung của tụ điện:  
 
Trong đó: 1mF = 10-3F, 1μF = 10-6F, 1nF = 10-9F, 1pF = 10-12F
- Điện dung của tụ điện phẳng:  
 
- Điện tích của tụ điện:
Q = CU = CEd
- Năng lượng tụ điện:
 
 
+ Nếu nối tụ vào nguồn thì hiệu điện thế U không đổi:
Usau = Utrước = const
+ Nếu nối tụ ra khỏi nguồn thì điện tích Q không đổi:
Qsau = Qtrước = const
- Liên hệ giữa cường độ điện trường và hiệu điện thế:
 
 
- Định lí biến thiên động năng:

- Định lí thế năng điện trường:
WM - WN = AMN = qUMN = qEdMN
Tóm tắt công thức Vật Lí 11 Chương 2: Dòng điện không đổi
1. Công thức dòng điện không đổi
- Cường độ dòng điện:  
 
- Mật độ dòng điện:  
 
- Đèn (hoặc các dụng cụ tỏa nhiệt):
   + Điện trở: 
   + Dòng điện định mức: 
- Ghép điện trở:
+ Ghép nối tiếp:
RAB = R1 + R2 + .... + Rn
UAB = U1 + U2 + .... + Un
IAB = I1 = I2 = .... = In
+ Ghép song song:
 
 
UAB = U1 = U2 = .... = Un
IAB = I1 + I2 + .... + In
- Bài toán đun nước bằng điện trở mắc nối tiếp hoặc mắc song song:
+ Nếu dùng R1 nối tiếp R2 thì thời gian đun sôi là: tnt = t1 + t2
   + Nếu dùng R1 song song R2 thì thời gian đun sôi là:  
 
Trong đó: t1: thời gian đun sôi khi dùng điện trở R1 để đun nước
t2: thời gian đun sôi khi dùng điện trở R2 để đun nước
2. Công thức điện năng và công suất điện
- Bài toán công suất mạch điện nối tiếp và song song:
+ Nếu 2 điện trở R1 nối tiếp R2 mắc vào mạch điện có hiệu điện thế U thì công suất tiêu thụ là Pnt
+ Nếu 2 điện trở R1 song song R2 mắc vào mạch điện có hiệu điện thế U thì công suất tiêu thụ là Pss
Ta có: 
 
- Nếu mắc R1 vào hiệu điện thế U thì công suất P1 , còn nếu mắc R2 vào hiệu điện thế U thì công suất P2
+ Công suất khi mắc cả R1 và R2 nối tiếp vào U là:
 
 
+ Công suất khi mắc cả R1 và R2 song song vào U là:
Pss = P1 + P2
- Bài toán nhiệt lượng và công suất tỏa nhiệt:
   + Nhiệt lượng:  
 
   + Công suất tỏa nhiệt:  
 
- Công và công suất của dòng điện qua đoạn mạch:
+ Công của dòng điện: A = U.q = Uit
   + Công suất điện:  
 
- Nguồn điện:
   + Suất điện động của nguồn điện:  
 
   + Công suất của nguồn điện:  
 
+ Công của nguồn điện: Anguon = EIt = E.q
- Hiệu suất đun sôi nước:
 
 
- Bài toán cực trị:
    + Công suất tiêu thụ mạch ngoài cực đại:
 
 
+ Công suất tiêu thụ trên R cực dại:
* Nếu mạch ngoài gồm R1 mắc nối tiếp với R thì:
 
 
* Nếu mạch ngoài gồm R1 mắc nối tiếp với R thì:
 
 
* Nếu mạch ngoài gồm nhiều điện trở R1, R2… thì công suất trên R cực đại khi R = điện trở tương đương của tất cả các điện trở còn lại (kể cả r)
* Nếu tồn tại hai giá trị điện trở R1, R2 sao cho P1 = P2 thì:
 
 
3. Công thức định luật Ôm
- Định luật Ôm toàn mạch:  
 
- Hiệu điện thế giữa hai cực của nguồn điện( giữa cực dương và cực âm)
 
- Nếu mạch ngoài chỉ có điện trở thì:
 
- Định luật Ôm cho đoạn mạch có nguồn điện đang phát:


 - Khi xảy ra đoạn mạch (RN = 0):  
  
- Hiệu suất của nguồn điện:
 
4. Công thức ghép nguồn điện thành bộ
- Ghép nối tiếp:
 
+ Nếu có n nguồn giống nhau mắc nối tiếp

- Ghép song song các nguồn giống nhau:
  
- Ghép thành n dãy, mỗi dãy có m nguồn (hỗn hợp đối xứng)

và tổng số nguồn điện là N = m.n
- Ghép hỗn hợp đối xứng (các nguồn giống nhau):
 (số cột)
 (số cột)

Tóm tắt công thức Vật Lí 11 Chương 3: Dòng điện trong các môi trường
1. Công thức dòng điện trong kim loại
- Điện trở vật dẫn kim loại:
  + Công thức định nghĩa: 
 
   + Điện trở theo cấu tạo: 
 
Trong đó: ρ là điện trở suất, đơn vị: Ωm
- Sự phụ thuộc của điện trở suất và điện trở theo nhiệt độ:
ρ = ρ0 (1 + α ( t - t0 ))
R = R0 [ 1 + α ( t - t0 )]
Trong đó α : hệ số nhiệt điện trở, đơn vị K-1
- Điện trở khi đèn sáng bình thường:  
 
- Suất điện động nhiệt điện: E = aT.(T1 - T2) = aT.DT = aT.(t1 - t2)
Trong đó: aT hệ số nhiệt điện động, đơn vị K-1,
ΔT = Δt : hiệu nhiệt độ ở đầu nóng và đầu lạnh
- Cường độ dòng điện trong dây dẫn kim loại:
 
 
Trong đó: n: mật độ electron trong kim loại
qe: điện tích của electron
S: tiết diện dây dẫn
v: vận tốc trôi của electron
N: số electron trong kim loại
V: thể tích kim loại
m: khối lượng kim loại
A: phân tử khối kim loại
D: khối lượng riêng của kim loại
2. Công thức dòng điện trong chất điện phân
- Định luật I Faraday:
m = k.q = k. It
Trong đó: k là đương lượng hóa học của chất được giải phóng ra ở điện cực
- Điện lượng qua bình điện phân:
q = I.t
- Định luật II Faraday:
 
 
                Trong đó:  là đương lượng điện hóa;
 là đương lượng điện hóa;
F = 96500 (C/mol) là hằng số Faraday;
A: khối lượng mol nguyên tử;
n: là hoá trị của chất giải phóng ở điện cực.
- Liên hệ giữa khối lượng và khối lượng riêng:
 
 
- Nếu xảy ra dương cực tan, coi cường độ dòng điện là không đổi, khi đó khối lượng m và bề dày h được xác định:
 
 
Tóm tắt công thức Vật Lí 11 Chương 4: Từ trường
1. Công thức lực từ
- Độ lớn lực từ (Định luật Am-pe):
 
 
- Lực từ tác dụng lên hai dòng điện song song:
+ Tính cho một đơn vị chiều dài của hai dòng điện thẳng song song:
 
 
+ Tính cho dây có chiều dài l:
 
 
Trong đó: r là khoảng cách giữa 2 dòng điện
- Treo một đoạn dây dẫn có lực từ  vuông góc với trọng lực
 vuông góc với trọng lực  thì dây treo hợp với phương thẳng đứng góc α :
 thì dây treo hợp với phương thẳng đứng góc α :
 
 
2. Công thức cảm ứng từ
- Độ lớn cảm ứng từ tại một điểm trong từ trường:
 
 
- Độ lớn cảm ứng từ tại điểm cách dây dẫn thẳng dài một khoảng r là:
 
 
- Độ lớn cảm ứng từ tại tâm O của vòng dây là:
 
 
+ Bài toán quấn ngược:
 
 
Trong đó: nng là số vòng dây quấn ngược của khung dây
N là tổng số vòng dây
- Độ lớn cảm ứng từ trong lòng ống dây hình trụ:
 
 
          Trong đó:  : Số vòng dây trên 1m
 : Số vòng dây trên 1m 
N là tổng số vòng dây
l là chiều dài ống dây
- Từ trường của nhiều dòng điện:
 
 
3. Công thức lực Lo-ren-xơ
- Độ lớn của lực Lorenxơ:
 
- Quỹ đạo của một hạt điện tích là một đường tròn nằm trong mặt phẳng vuông góc với từ trường, có:
   + Bán kính:  
 
   + Chu kì:  
 
Tóm tắt công thức Vật Lí 11 Chương 5: Cảm ứng điện từ
1. Công thức từ thông
- Từ thông qua một diện tích S đặt trong từ trường đều:
 
- Từ thông qua N vòng dây, mỗi vòng có diện tích S là:
Φ = NBScosα
- Từ thông riêng qua ống dây:
Φ = L.i
Với L là độ tự cảm của cuộn dây:
                                                                   
2. Công thức suất điện động
- Suất điện động cảm ứng:
 
 
+ Nếu chỉ xét về độ lớn của ec thì:
 
 
- Độ lớn suất điện động cảm ứng trong một đoạn dây chuyển động:
                     ec = B.ℓ.v.sinα (V) với  
 
- Suất điện động tự cảm:

3. Công thức năng lượng điện trường
- Năng lượng từ trường trong ống dây:
 
 
- Mật độ năng lượng từ trường:

Tóm tắt công thức Vật Lí 11 Chương 6: Khúc xạ ánh sáng
1. Công thức khúc xạ ánh sáng
- Định luật khúc xạ ánh sáng:
 
 
hay sin i = n21 sin r
n1 sin i = n2 sin r
+ Nếu tia sáng đi từ không khí vào môi trường có chiết suất n thì:
sin i = n sin r
- Góc lệch giữa tia khúc xạ và tia tới:
 
 
- Chiết suất tỉ đổi:
 
 
- Chiết suất tuyệt đối:
 
 
- Nếu tia khúc xạ vuông góc với tia phản xạ:
 
 
- Bài toán người nhìn cá – cá nhìn người:
 
 
Trong đó: dảnh: khoảng cách từ ảnh tới mặt nước
dvật: khoảng cách từ vật tới mặt nước
   + Người nhìn cá:  
 
   + Cá nhìn người:  
 
- Bài toán bản mặt song song:
   + Độ dời ảnh: , e: bề dày của bản mặt song song
, e: bề dày của bản mặt song song
   + Độ dời ngang của tia sáng:  
 
2. Công thức phản xạ toàn phần
- Góc giới hạn phản xạ toàn phần:
 
 
- Điều kiện để có phản xạ toàn phần:
+ n2 < n1
   +  
 
- Bài toàn đặt nguồn sáng nhỏ dưới chậu nước cao h, để không có tia sáng ló ra khỏi mặt nước:
i ≥ igh => sin i ≥ sin igh

Tóm tắt công thức Vật Lí 11 Chương 7: Mắt. Các dụng cụ quang
1. Các công thức lăng kính


Với i, i’ là góc tới và góc ló, A là góc chiết quang, D là góc lệch tạo bởi tia tới và tia ló.
- Trường hợp góc nhỏ:
D = ( n - 1 ). A
i = nr', i' = nr'
A = r + r'
- Góc lệch cực tiểu:
+ Khi góc lệch cực tiểu, đường đi của tia sáng đối xứng qua mặt phân giác của góc chiết quang.
+ Kí hiệu góc lệch cực tiểu là Dm , góc tới ứng với góc lệch cực tiểu là im , ta có:

Dmin = 2 imin - A

                                                             
- Góc lệch giữa 2 tia sáng đơn sắc qua lăng kính (chiết suất đối với lăng kính lần lượt là n1 và n2 (n1 > n2):
ΔD = (n1 - n2 ).A
- Chiếu ánh sáng trắng qua lăng kính với góc tới và góc chiết quang nhỏ hơn 100:

+ Góc lệch: D = (n – 1).A
+ Độ rộng quang phổ thu được trên màn:
ĐT = AK.(tanDt – tanDđ)
(nt và nđ là chiết suất của ánh sáng tím và ánh sáng đỏ đối với lăng kính và A tính bằng radian)
2. Công thức thấu kính
- Độ tụ thấu kính:
 
 
Quy ước: Thấu kính hội tụ: f > 0, D > 0
Thấu kính phân kỳ: f < 0, D < 0
- Độ tụ của hệ thấu kính ghép sát (a = 0)
 
 
- Công thức thấu kính:

Quy ước: Vật thật: d > 0, Ảnh thật: d’ > 0
Thấu kính hội tụ: f > 0; Thấu kính phân kỳ: f < 0
- Độ phóng đại của ảnh: là tỉ số chiều cao của ảnh và chiều cao của vật:
 
 
* k > 0: Ảnh cùng chiều với vật.
* k < 0: Ảnh ngược chiều với vật.
- Bài toán “Giữa vật và màn có 2 vị trí thấu kính hội tụ cho ảnh rõ nét trên màn”:
 
 
- Khoảng cách vật - ảnh:
+ TH1: TKHT: Vật thật cho ảnh thật: L = d + d’
+ TH2: TKHT: Vật thật cho ảnh ảo: L = -(d + d’)
+ TH3: TKPK: Vật thật luôn ảnh ảo: L = d + d’
- Điều kiện để vật thật qua TKHT cho ảnh thật là:
L ≥ 4f , L = d + d’: khoảng cách giữa vật và ảnh
- Công thức ghép thấu kính (cách nhau khoảng a):
 
 
3. Công thức về mắt
- Giới hạn thấy rõ của mắt:
Mắt thường: fmax = OV, OCc = Đ = 25 cm; OCv = ∞
- Góc trông vật:
 
 
Trong đó: AB: kích thước vật;
l = AO = khoảng cách từ vật tới quang tâm O của mắt.
- Năng suất phân ly của mắt:
  + Mắt bình thường:  
 
- Mắt cận thị:
+ fmax < OV; OCc < Đ ; OCv < ∞ => Dcận > Dthường
+ Chữa tật: Đeo THPK có tiêu cự fk = - OCV hoặc đeo cách mắt:
fk = - ( OM CV - OM OK)
+ Khi đeo kính trên sát mắt, mắt có thể nhìn rõ vật gần nhất cách mắt là:
 
 
- Mắt viễn thị:
+ fmax > OV; OCc > Đ; OCv: ảo ở sau mắt => Dviễn < Dthường
+ Sửa tật: đeo kính TKHT sao cho:
* Mắt có thể nhìn thấy được vật (đọc sách) ở gần như mắt thường:
 
 
dc: khoảng cách gần nhất từ sách đến mắt người ( d ≈ 25 cm)
OCC: khoảng nhìn rõ ngắn nhất của mắt người bị viễn thị
* Mắt nhìn rõ vật ở vô cùng mà không phải điều tiết (kính đeo sát mắt):
 
 
- Mắt lão thị:
+ Người già phải đeo kính TKHT (kính đeo sát mắt) có tiêu cự:
 
 
4. Công thức các dụng cụ quang
- Kính lúp:
   + Độ bội giác:  (vì góc α và α0 rất nhỏ)
 (vì góc α và α0 rất nhỏ)
   + Độ bội giác của kính lúp khi ngắm chừng ở vô cực:  
 
- Kính hiển vi:
+ Độ bội giác của kính khi ngắm chừng ở vô cực:  
 
Trong đó: δ = O1 O2 - f1 - f2 : độ dài quang học.
Đ = OCC
                                           : số phóng đại ảnh bởi vật kính
: số phóng đại ảnh bởi vật kính
G2: số bội giác của thị kính
- Kính thiên văn:
    + Độ bội giác của kính khi ngắm chừng ở vô cực:  
 
Trong đó: O1 O2 = f1 + f2
Đã có app VietJack trên điện thoại, giải bài tập SGK, SBT Soạn văn, Văn mẫu, Thi online, Bài giảng....miễn phí. Tải ngay ứng dụng trên Android và iOS.
Theo dõi chúng tôi miễn phí trên mạng xã hội facebook và youtube:Nếu thấy hay, hãy động viên và chia sẻ nhé! Các bình luận không phù hợp với nội quy bình luận trang web sẽ bị cấm bình luận vĩnh viễn.
- Đề thi lớp 1 (các môn học)
- Đề thi lớp 2 (các môn học)
- Đề thi lớp 3 (các môn học)
- Đề thi lớp 4 (các môn học)
- Đề thi lớp 5 (các môn học)
- Đề thi lớp 6 (các môn học)
- Đề thi lớp 7 (các môn học)
- Đề thi lớp 8 (các môn học)
- Đề thi lớp 9 (các môn học)
- Đề thi lớp 10 (các môn học)
- Đề thi lớp 11 (các môn học)
- Đề thi lớp 12 (các môn học)
- Giáo án lớp 1 (các môn học)
- Giáo án lớp 2 (các môn học)
- Giáo án lớp 3 (các môn học)
- Giáo án lớp 4 (các môn học)
- Giáo án lớp 5 (các môn học)
- Giáo án lớp 6 (các môn học)
- Giáo án lớp 7 (các môn học)
- Giáo án lớp 8 (các môn học)
- Giáo án lớp 9 (các môn học)
- Giáo án lớp 10 (các môn học)
- Giáo án lớp 11 (các môn học)
- Giáo án lớp 12 (các môn học)
 
    
	                 
	                 
	                 
	                 
	                 
	                

 
 Giải bài tập SGK & SBT
		                    Giải bài tập SGK & SBT
		                 Tài liệu giáo viên
		                    Tài liệu giáo viên
		                 Sách
		                    Sách
		                 Khóa học
		                    Khóa học
		                 Thi online
		                    Thi online
		                 Hỏi đáp
		                    Hỏi đáp
		                
