Công thức tính tiêu cự của thấu kính mỏng (hay, chi tiết)
Bài viết Công thức tính tiêu cự của thấu kính mỏng Vật Lí lớp 11 hay nhất gồm 4 phần: Định nghĩa, Công thức, Kiến thức mở rộng và Bài tập minh họa áp dụng công thức trong bài có lời giải chi tiết giúp học sinh dễ học, dễ nhớ Công thức tính tiêu cự của thấu kính mỏng.
Công thức tính tiêu cự của thấu kính mỏng (hay, chi tiết)
1. Định nghĩa thấu kính
Thấu kính là một khối chất trong suốt giới hạn bởi hai mặt cong hoặc bởi một mặt cong và một mặt phẵng.
Phân loại theo hình dạng:
+ Thấu kính lồi (rìa mỏng).

+ Thấu kính lõm (rìa dày).

Phân loại theo đường truyền của chùm tia sáng song song qua thấu kính khi đặt thấu kính trong không khí:
+ Thấu kính lồi là thấu kính hội tụ.

+ Thấu kính lõm là thấu kính phân kỳ.

+ Quang tâm O là điểm chính giữa của thấu kính mỏng mà mọi tia sáng tới truyền qua O đều truyền thẳng qua thấu kính.
+ Đường thẳng đi qua quang tâm O và vuông góc với mặt thấu kính là trục chính của thấu kính.
+ Các đường thẳng qua quang tâm O là trục phụ của thấu kính.
+ Chùm tia sáng song song với trục chính sau khi qua thấu kính sẽ hội tụ tại tiêu điểm chính của thấu kính (đối với thấu kính hội tụ) hoặc có đường kéo dài hội tụ tại tiêu điểm chính của thấu kính (đối với thấu kính phân kì).
Mỗi thấu kính có hai tiêu điểm chính F (tiêu điểm vật) và F’ (tiêu điểm ảnh) đối xứng với nhau qua quang tâm.
+ Chùm tia sáng song song với một trục phụ sau khi qua thấu kính sẽ hội tụ tại tiêu điểm phụ của thấu kính (đối với thấu kính hội tụ) hoặc có đường kéo dài hội tụ tại tiêu điểm phụ của thấu kính (đối với thấu kính phân kì).
Mỗi thấu kính có vô số các tiêu điểm vật phụ Fn và các tiêu điểm ảnh phụ Fn’.
+ Tập hợp tất cả các tiêu điểm tạo thành tiêu diện. Mỗi thấu kính có hai tiêu diện: tiêu diện vật và tiêu diện ảnh.
Có thể coi tiêu diện là mặt phẳng vuông góc với trục chính qua tiêu điểm chính.

Tiêu cự là độ dài đại số, kí hiệu là f, có trị số tuyệt đối bằng khoảng cách từ quang tâm O đến tiêu điểm chính của thấu kính, có đơn vị là cm hoặc m.
|f| = OF = OF’
Quy ước: f > 0 với thấu kính hội tụ; f < 0 với thấu kính phân kì.
Đơn vị đo của f là mét hoặc dm, cm.
2. Công thức – đơn vị đo thấu kính
Công thức xác định tiêu cự của thấu kính:
Trong đó:
+ f là tiêu cự, f > 0 với thấu kính hội tụ; f < 0 với thấu kính phân kì. Đơn vị đo của f là mét hoặc dm, cm.
+ n là chiết suất tỉ đối của vật liệu làm thấu kính với môi trường xung quanh thấu kính.
+ R1 và R2 là các bán kính của các mặt thấu kính, với quy ước
R1, R2 > 0 đối với các mặt lồi,
R1, R2 < 0 đối với các mặt lõm,
R1, R2 = 0 đối với các mặt phẳng.
3. Mở rộng công thức tính tiêu cự của thấu kính mỏng
3.1 Thấu kính có khả năng hội tụ càng mạnh khi độ lớn của tiêu cự càng nhỏ. Do đó, người ta định nghĩa độ tụ của thấu kính là D =
Trong đó:
+ D là độ tụ, có đơn vị đi ốp (kí hiệu là dp); D > 0 với thấu kính hội tụ; D < 0 với thấu kính phân kì.
+ f là tiêu cự, có đơn vị là mét (m).
Do đó, khi biết độ tụ của một thấu kính, ta có thể xác định tiêu cự bằng công thức:

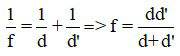
3.2 Khi đặt vật sáng trước thấu kính, ta thu được ảnh của vật. Khi biết vị trí ảnh và vật, ta có thể xác định tiêu cự của thấu kính bởi công thức:
Trong đó:
+ f là tiêu cự của thấu kính, có đơn vị cm hoặc m. Đối với thấu kính hội tụ f >0; đối với thấu kính phân kì f < 0.
+ d là khoảng cách từ vật đến thấu kính, có đơn vị cm hoặc m. Nếu vật thật d > 0; nếu vật ảo d < 0.
+ d’ là khoảng cách từ ảnh đến thấu kính, có đơn vị cm hoặc m. Nếu ảnh thật d’ > 0; nếu ảnh ảo d’ < 0.
3.3 Với hệ hai thấu kính mỏng đồng trục ghép sát, ta có thể xác định tiêu cự của thấu kính tương đương bởi công thức:
Trong đó:
+ f là tiêu cự thấu kính tương đương, có đơn vị m;
+ f1 và f2 lần lượt là tiêu cực của các thấu kính trong hệ ghép sát đồng trục, có đơn vị m.
4. Bài tập ví dụ tính tiêu cự của thấu kính mỏng
Bài 1: Một thấu kính phẳng lồi, có bán kính mặt lồi là 25 cm, được làm bằng thủy tinh có chiết suất 1,5. Tính tiêu cự của thấu kính này.
Bài giải:
Áp dụng công thức:
Đáp án: f = 0,5 m
Bài 2: Một vật sáng AB đặt trước thấu kính và cách thấu kính 20 cm, cho ảnh ảo cách thấu kính 10 cm. Tính tiêu cự của kính. Đây là thấu kính loại gì?
Bài giải:
Vì vật thật nên d = 20 cm; ảnh ảo nên d’ = - 10 cm
Áp dụng công thức
Đây là thấu kính phân kì.
Đáp án: f = - 20 cm
Bài 3: Cho hai thấu kính hội tụ ghép sát đồng trục có tiêu cự lần lượt là 20 cm và 25 cm. Tính tiêu cự của hệ này.
Bài giải:
Áp dụng công thức
Đáp án: f = 11,1 cm.
Xem thêm các Công thức Vật Lí lớp 11 quan trọng hay khác:
Đã có app VietJack trên điện thoại, giải bài tập SGK, SBT Soạn văn, Văn mẫu, Thi online, Bài giảng....miễn phí. Tải ngay ứng dụng trên Android và iOS.
Theo dõi chúng tôi miễn phí trên mạng xã hội facebook và youtube:Nếu thấy hay, hãy động viên và chia sẻ nhé! Các bình luận không phù hợp với nội quy bình luận trang web sẽ bị cấm bình luận vĩnh viễn.
- Đề thi lớp 1 (các môn học)
- Đề thi lớp 2 (các môn học)
- Đề thi lớp 3 (các môn học)
- Đề thi lớp 4 (các môn học)
- Đề thi lớp 5 (các môn học)
- Đề thi lớp 6 (các môn học)
- Đề thi lớp 7 (các môn học)
- Đề thi lớp 8 (các môn học)
- Đề thi lớp 9 (các môn học)
- Đề thi lớp 10 (các môn học)
- Đề thi lớp 11 (các môn học)
- Đề thi lớp 12 (các môn học)
- Giáo án lớp 1 (các môn học)
- Giáo án lớp 2 (các môn học)
- Giáo án lớp 3 (các môn học)
- Giáo án lớp 4 (các môn học)
- Giáo án lớp 5 (các môn học)
- Giáo án lớp 6 (các môn học)
- Giáo án lớp 7 (các môn học)
- Giáo án lớp 8 (các môn học)
- Giáo án lớp 9 (các môn học)
- Giáo án lớp 10 (các môn học)
- Giáo án lớp 11 (các môn học)
- Giáo án lớp 12 (các môn học)


Giải bài tập SGK & SBT
Tài liệu giáo viên
Sách
Khóa học
Thi online
Hỏi đáp

