Công thức tính công bội của cấp số nhân đầy đủ (siêu hay)
Bài viết Công thức tính công bội của cấp số nhân Toán lớp 11 hay nhất gồm 4 phần: Định nghĩa, Công thức, Kiến thức mở rộng và Bài tập minh họa áp dụng công thức trong bài có lời giải chi tiết giúp học sinh dễ học, dễ nhớ Công thức tính công bội của cấp số nhân.
Công thức tính công bội của cấp số nhân (siêu hay)
1. Lý thuyết công bội của cấp số nhân
Dãy số (un) là một cấp số nhân khi
không phụ thuộc vào n và q là công bội.
2. Công thức tính công bội của cấp số nhân
- Tính công bội dựa vào định nghĩa: 
- Đề bài cho các dữ kiện khác: Lập hệ phương trình hai ẩn u1 và q. Tìm u1 và q.
3. Ví dụ minh họa tính công bội của cấp số nhân
Ví dụ 1:
a) Cho cấp số nhân (un) với un = 2.3n+1. Tìm q?
b) Cho cấp số nhân (un) với
. Tìm q?
Lời giải
a) Cách 1: Ta có: un+1 = 2.3n+1+1 = 2.3n+2.
Công bội của cấp số nhân:
Cách 2: Công bội của cấp số nhân: 
b) Ta có: 
Vậy công bội của cấp số nhân là q = 2 hoặc q = – 2.
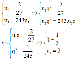
Ví dụ 2: Cho cấp số nhân (un) thỏa mãn: 
Tìm u1 và q?
Lời giải
Gọi q là công bội của cấp số. Theo giả thiết ta có:

Vậy 
Xem thêm các Công thức Toán lớp 11 quan trọng hay khác:
Đã có app VietJack trên điện thoại, giải bài tập SGK, SBT Soạn văn, Văn mẫu, Thi online, Bài giảng....miễn phí. Tải ngay ứng dụng trên Android và iOS.
Theo dõi chúng tôi miễn phí trên mạng xã hội facebook và youtube:Nếu thấy hay, hãy động viên và chia sẻ nhé! Các bình luận không phù hợp với nội quy bình luận trang web sẽ bị cấm bình luận vĩnh viễn.
- Đề thi lớp 1 (các môn học)
- Đề thi lớp 2 (các môn học)
- Đề thi lớp 3 (các môn học)
- Đề thi lớp 4 (các môn học)
- Đề thi lớp 5 (các môn học)
- Đề thi lớp 6 (các môn học)
- Đề thi lớp 7 (các môn học)
- Đề thi lớp 8 (các môn học)
- Đề thi lớp 9 (các môn học)
- Đề thi lớp 10 (các môn học)
- Đề thi lớp 11 (các môn học)
- Đề thi lớp 12 (các môn học)
- Giáo án lớp 1 (các môn học)
- Giáo án lớp 2 (các môn học)
- Giáo án lớp 3 (các môn học)
- Giáo án lớp 4 (các môn học)
- Giáo án lớp 5 (các môn học)
- Giáo án lớp 6 (các môn học)
- Giáo án lớp 7 (các môn học)
- Giáo án lớp 8 (các môn học)
- Giáo án lớp 9 (các môn học)
- Giáo án lớp 10 (các môn học)
- Giáo án lớp 11 (các môn học)
- Giáo án lớp 12 (các môn học)


Giải bài tập SGK & SBT
Tài liệu giáo viên
Sách
Khóa học
Thi online
Hỏi đáp

