Rutin là gì
Rutin là một hợp chất hữu cơ có nhiều trong hoa hòe, cam quýt, táo, kiều mạch,... Bài viết dưới đây giúp các bạn hiểu rõ hơn về rutin. Mời các bạn đón đọc:
Rutin là gì
1. Rutin là gì?
- Rutin (còn được gọi là rutoside, quercetin-3-O-rutinoside) là một hợp chất hữu cơ có công thức phân tử là C27H30O16. Rutin là một flavonoid glycoside tự nhiên có nhiều trong hoa hòe, cam quýt, táo, kiều mạch,...
- Rutin có phân tử khối M = 610.
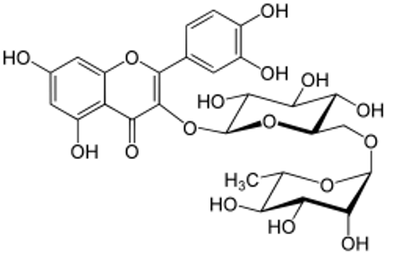
- Công thức cấu tạo của rutin:
- Rutin có tính chất hóa học sau:
+ Phản ứng với kiềm nhẹ: tạo dung dịch màu vàng → do nhóm phenol bị ion hóa.
+ Phản ứng tạo phức với ion kim loại (Fe³⁺, Al³⁺…) → cho màu đặc trưng, dùng để nhận biết flavonoid.
+ Bị thủy phân trong môi trường acid hoặc enzyme → giải phóng quercetin (aglycon) và rutinose (đường).
+ Tính khử nhẹ → có khả năng chống oxy hóa mạnh.
2. Điều chế rutin
Rutin thường được chiết xuất từ nụ hoa hòe (Sophora japonica) hoặc kiều mạch.
3. Ứng dụng của rutin
Rutin có nhiều ứng dụng trong dược phẩm và thực phẩm chức năng:
- Trong y học:
+ Tăng độ bền thành mạch, giảm tính thấm mao mạch → hỗ trợ điều trị xuất huyết, trĩ, suy giãn tĩnh mạch.
+ Có tác dụng chống oxy hóa, chống viêm, bảo vệ gan, tim mạch.
- Trong công nghiệp thực phẩm: sử dụng như chất chống oxy hóa tự nhiên.
- Trong mỹ phẩm: làm dịu da, bảo vệ mao mạch dưới da.
4. Bài tập minh họa rutin
Câu 1.Công thức phân tử của rutin là
A. C6H6O2.
B. C6H4O.
C. C6H6O.
D. C6H4O2.
Hướng dẫn giải
Đáp án đúng là: A
Câu 2.Rutin có chứa loại liên kết nào sau đây?
A.Liên kết glycoside.
B.Liên kết peptide.
C.Liên kết hydrogen.
D.Liên kết phosphodiester.
Hướng dẫn giải
Đáp án đúng là: A
Câu 3: Rutin có nhiều trong loại thực vật nào sau đây?
A. Rau cải xanh.
B. Hoa hòe.
C. Gừng.
D. Lá bạc hà.
Hướng dẫn giải
Đáp án đúng là: B
Xem thêm kiến thức hóa học của các đơn chất, hợp chất hay khác:
Đã có app VietJack trên điện thoại, giải bài tập SGK, SBT Soạn văn, Văn mẫu, Thi online, Bài giảng....miễn phí. Tải ngay ứng dụng trên Android và iOS.
Theo dõi chúng tôi miễn phí trên mạng xã hội facebook và youtube:Loạt bài Wiki tính chất hóa học trình bày toàn bộ tính chất hóa học, vật lí, nhận biết, điều chế và ứng dụng của tất cả các đơn chất, hợp chất hóa học đã học trong chương trình Hóa học cấp 2, 3.
Nếu thấy hay, hãy động viên và chia sẻ nhé! Các bình luận không phù hợp với nội quy bình luận trang web sẽ bị cấm bình luận vĩnh viễn.
- Đề thi lớp 1 (các môn học)
- Đề thi lớp 2 (các môn học)
- Đề thi lớp 3 (các môn học)
- Đề thi lớp 4 (các môn học)
- Đề thi lớp 5 (các môn học)
- Đề thi lớp 6 (các môn học)
- Đề thi lớp 7 (các môn học)
- Đề thi lớp 8 (các môn học)
- Đề thi lớp 9 (các môn học)
- Đề thi lớp 10 (các môn học)
- Đề thi lớp 11 (các môn học)
- Đề thi lớp 12 (các môn học)
- Giáo án lớp 1 (các môn học)
- Giáo án lớp 2 (các môn học)
- Giáo án lớp 3 (các môn học)
- Giáo án lớp 4 (các môn học)
- Giáo án lớp 5 (các môn học)
- Giáo án lớp 6 (các môn học)
- Giáo án lớp 7 (các môn học)
- Giáo án lớp 8 (các môn học)
- Giáo án lớp 9 (các môn học)
- Giáo án lớp 10 (các môn học)
- Giáo án lớp 11 (các môn học)
- Giáo án lớp 12 (các môn học)


Giải bài tập SGK & SBT
Tài liệu giáo viên
Sách
Khóa học
Thi online
Hỏi đáp

