Salicylic acid là gì
Salicylic acid là một hợp chất hữu cơ có ứng dụng trong sản xuất thuốc và mỹ phẩm. Bài viết dưới đây giúp các bạn hiểu rõ hơn về salicylic acid. Mời các bạn đón đọc:
Salicylic acid là gì
1. Salicylic acid là gì?
- Salicylic acid là một hợp chất hữu cơ có công thức phân tử là C7H6O3. Salicylic acid là một chất rắn không màu (hoặc trắng), có vị đắng, nó là tiền chất và là chất chuyển hóa của acetylsalicylic acid (aspirin).
- Salicylic acid có phân tử khối M = 138.
- Công thức cấu tạo của salicylic acid:
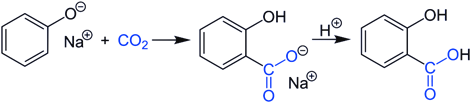
2. Điều chế salicylic acid
Salicylic acid được điều chế công nghiệp bằng cách xử lý sodium phenolate với carbon dioxide ở áp suất và nhiệt độ cao (phương pháp Kolbe-Schmitt):
3. Ứng dụng của salicylic acid
- Nguyên liệu sản xuất thuốc: aspirin, các thuốc giảm đau – hạ sốt – kháng viêm.
- Mỹ phẩm: thành phần trong kem trị mụn, dung dịch tẩy tế bào chết (BHA), trị gàu.
- Trong hương liệu: ester methyl salicylate tạo mùi bạc hà, dầu xoa bóp.
- Thuốc bảo vệ thực vật: dạng muối salicylate dùng như chất bảo quản, diệt nấm.
4. Bài tập minh họa salicylic acid
Câu 1. Công thức phân tử của salicylic acid là
A. C6H6O.
B. C7H6O3.
C. C8H6O4.
D. C7H6O2.
Hướng dẫn giải
Đáp án đúng là: B
Câu 2. Salicylic acid có phân tử khối là
A. 120.
B. 138.
C. 140.
D. 154.
Hướng dẫn giải
Đáp án đúng là: B
Câu 3. Salicylic acid không có ứng dụng nào sau đây?
A. Làm nguyên liệu sản xuất thuốc giảm đau, hạ sốt, kháng viêm
B. Là thành phần trong mỹ phẩm trị mụn và tẩy tế bào chết
C. Tạo hương vị ngọt trong thực phẩm
D. Dùng làm chất bảo quản và diệt nấm trong nông nghiệp
Hướng dẫn giải
Đáp án đúng là: C
Xem thêm kiến thức hóa học của các đơn chất, hợp chất hay khác:
- Isoamyl alcohol là gì?
- Benzyl alcohol là gì?
- Propyl alcohol là gì?
- Isopropyl alcohol là gì?
- Phenolphtalein là gì?
- Citronellol là gì?
Đã có app VietJack trên điện thoại, giải bài tập SGK, SBT Soạn văn, Văn mẫu, Thi online, Bài giảng....miễn phí. Tải ngay ứng dụng trên Android và iOS.
Theo dõi chúng tôi miễn phí trên mạng xã hội facebook và youtube:Loạt bài Wiki tính chất hóa học trình bày toàn bộ tính chất hóa học, vật lí, nhận biết, điều chế và ứng dụng của tất cả các đơn chất, hợp chất hóa học đã học trong chương trình Hóa học cấp 2, 3.
Nếu thấy hay, hãy động viên và chia sẻ nhé! Các bình luận không phù hợp với nội quy bình luận trang web sẽ bị cấm bình luận vĩnh viễn.
- Đề thi lớp 1 (các môn học)
- Đề thi lớp 2 (các môn học)
- Đề thi lớp 3 (các môn học)
- Đề thi lớp 4 (các môn học)
- Đề thi lớp 5 (các môn học)
- Đề thi lớp 6 (các môn học)
- Đề thi lớp 7 (các môn học)
- Đề thi lớp 8 (các môn học)
- Đề thi lớp 9 (các môn học)
- Đề thi lớp 10 (các môn học)
- Đề thi lớp 11 (các môn học)
- Đề thi lớp 12 (các môn học)
- Giáo án lớp 1 (các môn học)
- Giáo án lớp 2 (các môn học)
- Giáo án lớp 3 (các môn học)
- Giáo án lớp 4 (các môn học)
- Giáo án lớp 5 (các môn học)
- Giáo án lớp 6 (các môn học)
- Giáo án lớp 7 (các môn học)
- Giáo án lớp 8 (các môn học)
- Giáo án lớp 9 (các môn học)
- Giáo án lớp 10 (các môn học)
- Giáo án lớp 11 (các môn học)
- Giáo án lớp 12 (các môn học)


Giải bài tập SGK & SBT
Tài liệu giáo viên
Sách
Khóa học
Thi online
Hỏi đáp

