Tơ cellulose acetate là gì
Tơ cellulose acetate là một polymer bán tổng hợp có nhiều ứng dụng trong công nghiệp. Bài viết dưới đây giúp các bạn hiểu rõ hơn về tơ cellulose acetate. Mời các bạn đón đọc:
Tơ cellulose acetate là gì
1. Tơ cellulose acetate là gì?
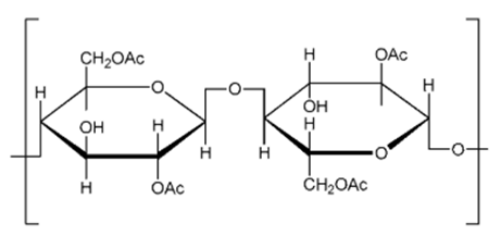
- Tơ cellulose acetate là một loại tơ bán tổng hợp, mỗi mắt xích trong tơ cellulose acetate có thể chứa 2 nhóm acetate (cellulose diacetate) [C6H7O2(OH)(OCOCH3)2]n hoặc 3 nhóm acetate (cellulose triacetate) [C6H7O2(OCOCH3)3]n. Tơ cellulose acetate thường dùng trung bình có 2 nhóm acetate ở mỗi mắt xích có công thức là [C6H7O2(OH)(OCOCH3)2]n và có phân tử khối là 246n.
- Công thức cấu tạo của Tơ cellulose acetate:
- Tơ cellulose acetate có thể ác dụng với acid hoặc base do có các liên kết ester dễ dàng bị thủy phân trong môi trường acid hoặc base:
Cellulose acetate + H2O Cellulose + CH3COOH
Cellulose acetate + NaOH → Cellulose + CH3COONa
2. Điều chế tơ cellulose acetate
Tơ cellulose acetate được điều chế từ cellulose tự nhiên và acetic anhydride theo phương trình:
[C6H7O2(OH)3]n + nk(CH3CO)2O → [C6H7O2(OH)3 – k(OOC – CH3)k]n + nkCH3COOH(với k = 2,3)
3. Ứng dụng của tơ cellulose acetate
Tính chất: Mềm, mượt, bóng giống tơ tằm; nhẹ, ít nhăn, thoáng khí, chống ẩm ở mức vừa phải; chống cháy tốt hơn tơ visco, nhưng ít bền cơ học hơn tơ tổng hợp như nylon.
- Ứng dụng phổ biến:
- Dệt may: vải áo dài, váy, khăn choàng, đồ lót cao cấp.
- Sản xuất phim ảnh, kính mắt (gọng kính), màng phủ.
- Làm băng từ, giấy bóng kính, màng bao bì cao cấp.
4. Bài tập minh họa
Câu 1. Tơ cellulose acetate được điều chế từ
A. cellulose tự nhiên và acetic acid.
B. cellulose tự nhiên và acetic anhydride.
C. tinh bột và acetic acid.
D. tinh bột và acetic anhydride.
Hướng dẫn giải
Đáp án đúng là: B
Câu 2. Tơ cellulose diacetate có công thức tổng quát là
A. (C6H10O5)n(OCOCH3)2.
B. [C6H7O2(OCOCH3)3]n.
C. [C6H7O2(ONO2)n]3.
D. [C6H7O2(OH)(OCOCH3)2]n.
Hướng dẫn giải
Đáp án đúng là: D
Câu 3. Tơ cellulose acetate có ứng dụng nào sau đây?
A. Sản xuất lốp xe, găng tay y tế.
B. Làm vải dệt cao cấp, màng phủ và gọng kính.
C. Làm ống dẫn nước, hộp nhựa.
D. Sản xuất keo dán gỗ.
Hướng dẫn giải
Đáp án đúng là: B
Xem thêm kiến thức hóa học của các đơn chất, hợp chất hay khác:
Đã có app VietJack trên điện thoại, giải bài tập SGK, SBT Soạn văn, Văn mẫu, Thi online, Bài giảng....miễn phí. Tải ngay ứng dụng trên Android và iOS.
Theo dõi chúng tôi miễn phí trên mạng xã hội facebook và youtube:Loạt bài Wiki tính chất hóa học trình bày toàn bộ tính chất hóa học, vật lí, nhận biết, điều chế và ứng dụng của tất cả các đơn chất, hợp chất hóa học đã học trong chương trình Hóa học cấp 2, 3.
Nếu thấy hay, hãy động viên và chia sẻ nhé! Các bình luận không phù hợp với nội quy bình luận trang web sẽ bị cấm bình luận vĩnh viễn.
- Đề thi lớp 1 (các môn học)
- Đề thi lớp 2 (các môn học)
- Đề thi lớp 3 (các môn học)
- Đề thi lớp 4 (các môn học)
- Đề thi lớp 5 (các môn học)
- Đề thi lớp 6 (các môn học)
- Đề thi lớp 7 (các môn học)
- Đề thi lớp 8 (các môn học)
- Đề thi lớp 9 (các môn học)
- Đề thi lớp 10 (các môn học)
- Đề thi lớp 11 (các môn học)
- Đề thi lớp 12 (các môn học)
- Giáo án lớp 1 (các môn học)
- Giáo án lớp 2 (các môn học)
- Giáo án lớp 3 (các môn học)
- Giáo án lớp 4 (các môn học)
- Giáo án lớp 5 (các môn học)
- Giáo án lớp 6 (các môn học)
- Giáo án lớp 7 (các môn học)
- Giáo án lớp 8 (các môn học)
- Giáo án lớp 9 (các môn học)
- Giáo án lớp 10 (các môn học)
- Giáo án lớp 11 (các môn học)
- Giáo án lớp 12 (các môn học)


Giải bài tập SGK & SBT
Tài liệu giáo viên
Sách
Khóa học
Thi online
Hỏi đáp

