Tơ visco là gì
Tơ visco là một polymer bán tổng hợp có nhiều ứng dụng trong công nghiệp. Bài viết dưới đây giúp các bạn hiểu rõ hơn về tơ visco. Mời các bạn đón đọc:
Tơ visco là gì
1. Tơ visco là gì?
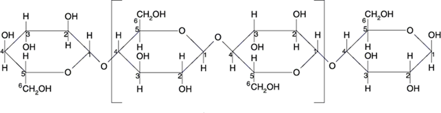
- Tơ visco là tơ bán tổng hợp, về bản chất thì tơ visco vẫn là cellulose nên có công thức phân tử là (C6H10O5)n và có phân tử khối là 162n (với n là số mắt xích –C6H10O5–).
- Công thức cấu tạo của Tơ visco:
- Tơ visco bản chất vẫn là cellulose nên có các tính chất hóa học của cellulose:
+ Phản ứng thủy phân trong môi trường acid:
(C6H10O5)n + nH2O nC6H12O6
+ Phản ứng với HNO3/H2SO4 đặc (phản ứng ester hóa):
[C6H7O2(OH)3]n + 3nHNO3 [C6H7O2(ONO2)3]n + 3nH2O
2. Điều chế tơ visco
Tơ visco được điều chế bằng cách xử lý cellulose tự nhiên (từ gỗ, tre, bông...) bằng NaOH và CS2, sau đó kéo sợi.
3. Ứng dụng của tơ visco
Tính chất nổi bật: Mềm mại, nhẹ, giữ nhiệt tốt như len, nhưng không bị mối mọt hay co rút, bền với ánh sáng, acid nhẹ, không bị giòn như một số tơ tổng hợp khác.
Ứng dụng phổ biến:
- Dệt áo len, khăn quàng, mũ len, chăn mền, vớ, vải bọc nội thất.
- Dệt thảm, rèm cửa, vải kỹ thuật, pha với cotton hoặc len thật để cải thiện tính chất.
4. Bài tập minh họa
Câu 1. Tơ visco là tơ bán tổng hợp được điều chế bằng cách xử lý chất nào sau đây?
A. Cellulose.
B. Saccharide.
C. Tinh bột.
D. Cao su thiên nhiên.
Hướng dẫn giải
Đáp án đúng là: A
Câu 2. Tơ visco có cấu trúc giống
A. cellulose
B. cao su thiên nhiên.
C. saccharose.
D. tơ olon.
Hướng dẫn giải
Đáp án đúng là: A
Câu 3. Một trong những ứng dụng phổ biến của tơ visco là
A. Sản xuất bao bì thực phẩm, hộp đựng.
B. Làm quần áo thấm hút tốt, mềm mại như tơ tự nhiên.
C. Dệt áo len, khăn quàng, mũ len giữ nhiệt tốt.
D. Làm dây thừng chịu lực cao.
Hướng dẫn giải
Đáp án đúng là: B
Xem thêm kiến thức hóa học của các đơn chất, hợp chất hay khác:
- Tơ capron là gì
- Tơ cellulose acetate là gì
- Tơ enang là gì
- Tơ lapsan là gì
- Tơ nitron là gì
- Tơ olon là gì
Đã có app VietJack trên điện thoại, giải bài tập SGK, SBT Soạn văn, Văn mẫu, Thi online, Bài giảng....miễn phí. Tải ngay ứng dụng trên Android và iOS.
Theo dõi chúng tôi miễn phí trên mạng xã hội facebook và youtube:Loạt bài Wiki tính chất hóa học trình bày toàn bộ tính chất hóa học, vật lí, nhận biết, điều chế và ứng dụng của tất cả các đơn chất, hợp chất hóa học đã học trong chương trình Hóa học cấp 2, 3.
Nếu thấy hay, hãy động viên và chia sẻ nhé! Các bình luận không phù hợp với nội quy bình luận trang web sẽ bị cấm bình luận vĩnh viễn.
- Đề thi lớp 1 (các môn học)
- Đề thi lớp 2 (các môn học)
- Đề thi lớp 3 (các môn học)
- Đề thi lớp 4 (các môn học)
- Đề thi lớp 5 (các môn học)
- Đề thi lớp 6 (các môn học)
- Đề thi lớp 7 (các môn học)
- Đề thi lớp 8 (các môn học)
- Đề thi lớp 9 (các môn học)
- Đề thi lớp 10 (các môn học)
- Đề thi lớp 11 (các môn học)
- Đề thi lớp 12 (các môn học)
- Giáo án lớp 1 (các môn học)
- Giáo án lớp 2 (các môn học)
- Giáo án lớp 3 (các môn học)
- Giáo án lớp 4 (các môn học)
- Giáo án lớp 5 (các môn học)
- Giáo án lớp 6 (các môn học)
- Giáo án lớp 7 (các môn học)
- Giáo án lớp 8 (các môn học)
- Giáo án lớp 9 (các môn học)
- Giáo án lớp 10 (các môn học)
- Giáo án lớp 11 (các môn học)
- Giáo án lớp 12 (các môn học)


Giải bài tập SGK & SBT
Tài liệu giáo viên
Sách
Khóa học
Thi online
Hỏi đáp

