Các quy tắc tính đạo hàm lớp 11 (Lý thuyết Toán 11 Chân trời sáng tạo)
Với tóm tắt lý thuyết Toán 11 Bài 2: Các quy tắc tính đạo hàm sách Chân trời sáng tạo hay nhất, chi tiết sẽ giúp học sinh lớp 11 nắm vững kiến thức trọng tâm, ôn luyện để học tốt môn Toán 11.
Các quy tắc tính đạo hàm lớp 11 (Lý thuyết Toán 11 Chân trời sáng tạo)
(199k) Xem Khóa học Toán 11 CTST
Bài giảng: Bài 2: Các quy tắc tính đạo hàm - Cô Nguyễn Yến (Giáo viên VietJack)
Lý thuyết Các quy tắc tính đạo hàm
1. Đạo hàm của hàm số y = xn, n ∈ ℕ*
Hàm số với có đạo hàm trên và .
Ví dụ 1. Tính đạo hàm của hàm số y = x7 tại điểm x = 3 và .
Hướng dẫn giải
Ta có .
Từ đó, và .
2. Đạo hàm của hàm số y =
Hàm số có đạo hàm trên khoảng và .
Ví dụ 2. Tính đạo hàm của hàm số tại điểm và .
Hướng dẫn giải
Ta có .
Từ đó, và .
Nhận xét:
a) Cho số thực α.
Hàm số được gọi là hàm số lũy thừa (với tập xác định ).
Công thức còn đúng khi n là số thực, tức là với số thực α bất kì
().
Với , ta nhận được công thức đã biết:
b) Ở bài học trước, dùng định nghĩa ta tìm được các công thức đạo hàm:
• (C là hằng số);
• ().
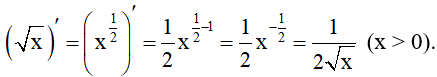
Ví dụ 3. Tìm đạo hàm của hàm số tại điểm x = 32.
Hướng dẫn giải
Với x > 0, ta có .
Từ đó, .
3. Đạo hàm của hàm số lượng giác
Ta có công thức đạo hàm của các hàm số lượng giác sau:
Ví dụ 4.
a) Tính đạo hàm của hàm số y = sin x tại .
b) Tính đạo hàm của hàm số y = tan x tại .
Hướng dẫn giải
a) Ta có . Vậy .
b) Ta có với .
Vậy .
4. Đạo hàm của hàm số mũ và hàm số lôgarit
Ta có công thức đạo hàm của các hàm số mũ và hàm số lôgarit sau:
Ví dụ 5. Tìm đạo hàm của các hàm số:
a) y = ex tại x = 3ln5;
b) y = 2x tại x = 4;
c) y = ln x tại ;
d) tại x = 7.
Hướng dẫn giải
a) Ta có . Từ đó, .
b) Ta có . Từ đó, .
c) Ta có với x > 0. Từ đó, .
d) Ta có với x > 0. Vậy .
5. Đạo hàm của tổng, hiệu, tích, thương của hai hàm số
Cho hai hàm số u(x), v(x) có đạo hàm tại điểm x thuộc tập xác định. Ta có:
•
•
• (1)
• (với ) (2)
Chú ý:
Với u = C (C là hằng số), công thức (1) trở thành .
Với u = 1, công thức (2) trở thành (với ).
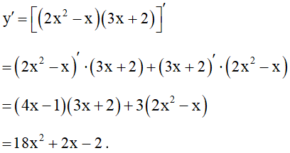
Ví dụ 6. Tìm đạo hàm các hàm số
a) ;
b) ;
c)
Hướng dẫn giải
a)
b)
c) Ta có . Khi đó
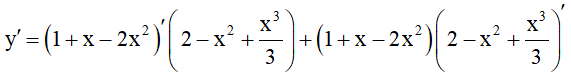
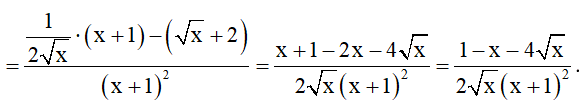
Ví dụ 7. Tính đạo hàm của các hàm số sau:
a) ;
b) (x > 0).
Hướng dẫn giải
a)
b) Với x > 0, ta có:
6. Đạo hàm của hàm hợp
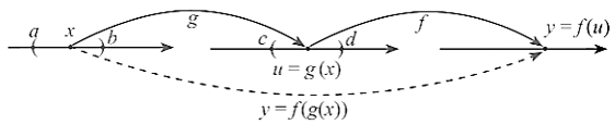
Cho u = g(x) là hàm số của x xác định trên khoảng (a; b) và lấy giá trị trên khoảng (c; d); y = f(u) là hàm số của u xác định trên khoảng (c; d) và lấy giá trị trên ℝ. Ta lập hàm số xác định trên (a; b) và lấy giá trị trên ℝ theo quy tắc sau:
Hàm số được gọi là hàm hợp của hàm số y = f(u) với u = g(x).
Cho hàm số u = g(x) có đạo hàm tại x là , và hàm số y = f(u) có đạo hàm tại u là thì hàm hợp có đạo hàm tại x là .
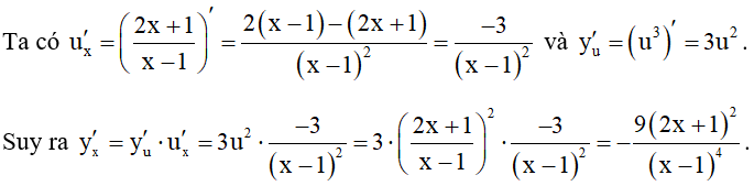
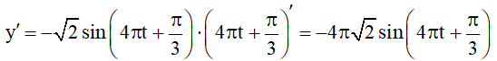
Ví dụ 8. Tính đạo hàm của các hàm số sau:
a) ;
b) ;
c) ;
d) ;
e) ;
g) .
Hướng dẫn giải
a) Đặt thì .
Vậy .
Ta có thể trình bày ngắn gọn như sau:
Tương tự như vây, ta thực hiện các ý còn lại:
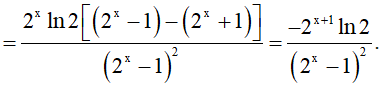
b) .
c)
d)
e)
g) .
BẢNG ĐẠO HÀM | |
|
|
|
|
|
|
|
(a > 0 và ) |
(a > 0 và ) |
|
(a > 0 và ) |
(a > 0 và ) |
7. Đạo hàm cấp hai
Cho hàm số y = f(x) có đạo hàm tại mọi .
Nếu hàm số lại có đạo hàm tại x thì ta gọi đạo hàm của y' là đạo hàm cấp hai của hàm số y = f(x) tại x, kí hiệu y" hoặc .
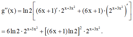
Ví dụ 9. Tính đạo hàm cấp hai của các hàm số sau:
a) ;
b) .
Hướng dẫn giải
a) ;
.
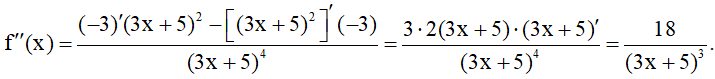
b)
.
Ý nghĩa cơ học của đạo hàm cấp hai
Đạo hàm cấp hai là gia tốc tức thời tại thời điểm t của vật chuyển động có phương trình s = f(t).
Ví dụ 10. Một chuyển động thẳng xác định bởi phương trình , trong đó s tính bằng mét và t là thời gian tính bằng giây. Tính gia tốc của chuyển động tại thời điểm t = 2.
Hướng dẫn giải
Ta có , suy ra .
Gia tốc của chuyển động tại thời điểm t = 2 là: .
Bài tập Các quy tắc tính đạo hàm
Bài 1. Tính đạo hàm của các hàm số sau:
a) với ;
b) .
Hướng dẫn giải
a)
b)
Bài 2. Tính đạo hàm của các hàm số sau:
a) ;
b) .
Hướng dẫn giải
a)
b)
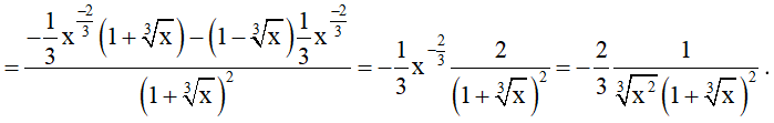
Bài 3. Tính đạo hàm của các hàm số sau:
a) ;
b) .
Hướng dẫn giải
a)
b)
.
Bài 4. Tính đạo hàm của mỗi hàm số sau tại điểm .
a) ;
b) .
Hướng dẫn giải
a) .
Đạo hàm của hàm số f(x) tại điểm là:
b) Ta có: .
Đạo hàm của hàm số g(x) tại điểm là: .
Bài 5. Cho hàm số .
a) Tìm đạo hàm cấp hai của hàm số.
b) Tính đạo hàm cấp hai của hàm số tại điểm .
Hướng dẫn giải
a) Ta có và .
b) Vì nên .
Bài 6. Tìm đạo hàm cấp hai của mỗi hàm số sau:
a) ;
b) .
Hướng dẫn giải
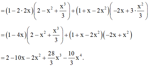
a) ;
b)
Bài 7. Một chất điểm chuyển động theo phương trình , trong đó tính bằng giây, s(t) tính bằng centimét. Tính vận tốc tức thời của chất điểm tại thời điểm .
Hướng dẫn giải
Vận tốc tức thời của chất điểm tại thời điểm t (s) là: .
Vậy vận tốc tức thời của chất điểm tại thời điểm là:
Bài 8. Một chất điểm chuyển động thẳng có phương trình trong đó thời gian t được tính bằng giây và s được tính bằng mét.
a) Tại thời điểm nào chất điểm có vận tốc bằng 0?
b) Tìm vận tốc và gia tốc của chất điểm tại thời điểm t = 3 s.
Hướng dẫn giải
a) .Ta có .
Vận tốc của chất điểm bằng 0 khi t = 1 s.
b) Khi t = 3 s, ta có .
Ta có nên .
Vậy khi t = 3 s thì vận tốc của vật là –4 m/s. Gia tốc của vật là –2 m/s2.
Học tốt Các quy tắc tính đạo hàm
Các bài học để học tốt Các quy tắc tính đạo hàm Toán lớp 11 hay khác:
(199k) Xem Khóa học Toán 11 CTST
Xem thêm tóm tắt lý thuyết Toán lớp 11 Chân trời sáng tạo hay khác:
Xem thêm các tài liệu học tốt lớp 11 hay khác:
- Giải sgk Toán 11 Chân trời sáng tạo
- Giải Chuyên đề học tập Toán 11 Chân trời sáng tạo
- Giải SBT Toán 11 Chân trời sáng tạo
- Giải lớp 11 Chân trời sáng tạo (các môn học)
- Giải lớp 11 Kết nối tri thức (các môn học)
- Giải lớp 11 Cánh diều (các môn học)
Tủ sách VIETJACK shopee lớp 10-11 (cả 3 bộ sách):
Đã có app VietJack trên điện thoại, giải bài tập SGK, SBT Soạn văn, Văn mẫu, Thi online, Bài giảng....miễn phí. Tải ngay ứng dụng trên Android và iOS.
Theo dõi chúng tôi miễn phí trên mạng xã hội facebook và youtube:Nếu thấy hay, hãy động viên và chia sẻ nhé! Các bình luận không phù hợp với nội quy bình luận trang web sẽ bị cấm bình luận vĩnh viễn.
- Soạn văn 11 (hay nhất) - CTST
- Soạn văn 11 (ngắn nhất) - CTST
- Giải sgk Toán 11 - CTST
- Giải Tiếng Anh 11 Global Success
- Giải sgk Tiếng Anh 11 Smart World
- Giải sgk Tiếng Anh 11 Friends Global
- Giải sgk Vật Lí 11 - CTST
- Giải sgk Hóa học 11 - CTST
- Giải sgk Sinh học 11 - CTST
- Giải sgk Lịch Sử 11 - CTST
- Giải sgk Địa Lí 11 - CTST
- Giải sgk Giáo dục KTPL 11 - CTST
- Giải sgk Hoạt động trải nghiệm 11 - CTST
- Giải sgk Âm nhạc 11 - CTST


Giải bài tập SGK & SBT
Tài liệu giáo viên
Sách
Khóa học
Thi online
Hỏi đáp

