Tổng hợp lý thuyết Toán 11 Chương 7 Chân trời sáng tạo
Tổng hợp lý thuyết Toán 11 Chương 7: Đạo hàm sách Chân trời sáng tạo hay nhất, chi tiết với bài tập có lời giải sẽ giúp học sinh lớp 11 nắm vững kiến thức trọng tâm Toán 11 Chương 7.
Tổng hợp lý thuyết Toán 11 Chương 7 Chân trời sáng tạo
(199k) Xem Khóa học Toán 11 CTST
Lý thuyết tổng hợp Toán 11 Chương 7
1. Đạo hàm
Định nghĩa
Cho hàm số y = f(x) xác định trên khoảng (a; b) và .
Nếu tồn tại giới hạn hữu hạn
thì giới hạn này được goi là đạo hàm của hàm số f(x) tại , kí hiệu là hoặc .
Vậy:
Chú ý: Cho hàm số y = f(x) xác định trên khoảng (a; b). Nếu hàm số này có đạo hàm tại mọi điểm thì ta nói nó có đạo hàm trên khoảng (a; b), kí hiệu y' hoặc .
Chú ý: Cho hàm số y = f(x) xác định trên khoảng (a; b), có đạo hàm tại .
a) Đại lượng gọi là số gia của biến tại . Đại lượng gọi là số gia tương ứng của hàm số. Khi đó, và
b) Tỉ số biểu thị tốc độ thay đổi trung bình của đại lượng y theo đại lượng x trong khoảng từ đến ; còn biểu thị tốc độ thay đổi (tức thời) của đại lượng y theo đại lượng x tai điểm .
Ý nghĩa vật lí của đạo hàm
• Nếu hàm số s = f(t) biểu thị quãng đường di chuyển của vật theo thời gian t thì biểu thị tốc độ tức thời của chuyển động tại thời điểm .
• Nếu hàm số T = f(t) biểu thị nhiệt độ T theo thời gian t thì biểu thị tốc độ thay đổi nhiệt độ theo thời gian tại thời điểm .
2. Ý nghĩa hình học của đạo hàm
Cho hàm số y = f(x) xác định trên khoảng (a; b) và có đạo hàm tại . Gọi (C) là đồ thị của hàm số đó.
Đạo hàm của hàm số y = f(x) tại điểm là hệ số góc của tiếp tuyến của (C) tại điểm .
Tiếp tuyến có phương trình là .
3. Số e
Người ta chứng minh được rằng có giới hạn hữu hạn
Hơn nữa, người ta còn biết rằng e là số vô tỉ và (số thập phân vô hạn không tuần hoàn).
Số e xuất hiện trong nhiều bài toán ở những lĩnh vực khác nhau như Toán học, Vật lí, Sinh học, Kinh tế, ...
4. Đạo hàm của một số hàm số cơ bản
4.1. Đạo hàm của hàm số y = xn, n ∈ ℕ*
Hàm số với có đạo hàm trên và .
4.2. Đạo hàm của hàm số y =
Hàm số có đạo hàm trên khoảng và .
Nhận xét:
a) Cho số thực α.
Hàm số được gọi là hàm số lũy thừa (với tập xác định ).
Công thức còn đúng khi n là số thực, tức là với số thực α bất kì
().
Với , ta nhận được công thức đã biết:
(x > 0).
b) Ở bài học trước, dùng định nghĩa ta tìm được các công thức đạo hàm:
• (C là hằng số);
• ().
4.3. Đạo hàm của hàm số lượng giác
Ta có công thức đạo hàm của các hàm số lượng giác sau:
4.4. Đạo hàm của hàm số mũ và hàm số lôgarit
Ta có công thức đạo hàm của các hàm số mũ và hàm số lôgarit sau:
5. Đạo hàm của tổng, hiệu, tích, thương của hai hàm số
Cho hai hàm số u(x), v(x) có đạo hàm tại điểm x thuộc tập xác định. Ta có:
•
•
• (1)
• (với ) (2)
Chú ý:
• Với u = C (C là hằng số), công thức (1) trở thành .
• Với u = 1, công thức (2) trở thành (với ).
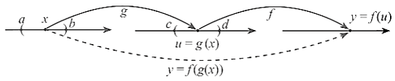
6. Đạo hàm của hàm hợp
Cho u = g(x) là hàm số của x xác định trên khoảng (a; b) và lấy giá trị trên khoảng (c; d); y = f(u) là hàm số của u xác định trên khoảng (c; d) và lấy giá trị trên . Ta lập hàm số xác định trên (a; b) và lấy giá trị trên theo quy tắc sau:
Hàm số được gọi là hàm hợp của hàm số y = f(u) với u = g(x).
Cho hàm số u = g(x) có đạo hàm tại x là , và hàm số y = f(u) có đạo hàm tại u là thì hàm hợp có đạo hàm tại x là .
BẢNG ĐẠO HÀM | |
|
|
|
|
|
|
|
(a > 0 và ) |
(a > 0 và ) |
|
(a > 0 và ) |
(a > 0 và ) |
7. Đạo hàm cấp hai
Cho hàm số y = f(x) có đạo hàm tại mọi .
Nếu hàm số lại có đạo hàm tại x thì ta gọi đạo hàm của y' là đạo hàm cấp hai của hàm số y = f(x) tại x, kí hiệu y" hoặc .
Ý nghĩa cơ học của đạo hàm cấp hai
Đạo hàm cấp hai là gia tốc tức thời tại thời điểm t của vật chuyển động có phương trình s = f(t).
Bài tập tổng hợp Toán 11 Chương 7
Bài 1. Dùng định nghĩa để tính đạo hàm của các hàm số sau:
a) với ;
b) với .
Hướng dẫn giải
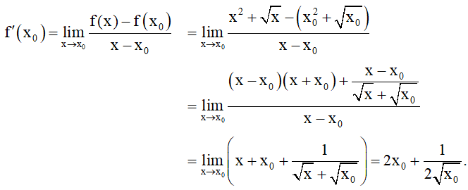
a) Với bất kì , ta có:
Vậy trên khoảng .
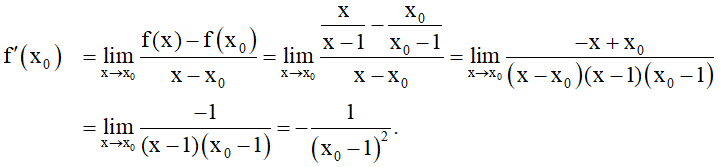
b) Với , ta có:
Vậy trên các khoảng và .
Bài 2. Chứng minh rằng hàm số f(x) = |x – 2| không có đạo hàm tại điểm x0 = 2, nhưng có đạo hàm tại mọi điểm x ≠ 2.
Hướng dẫn giải
+ Với x > 2, ta có: f(x) = |x – 2| = x – 2.
Đạo hàm của hàm số f(x) = |x – 2| tại điểm x > 2 là 1.
+ Với x < 2, ta có: f(x) = |x – 2| = 2 – x.
Đạo hàm của hàm số f(x) = |x – 2| tại điểm x < 2 là –1.
+ Ta có f(x) – f(2) = |x – 2| – |2 – 2| = |x – 2|.
Với x ≠ 2, ta có .
Do đó, không tồn tại .
Vậy hàm số f(x) = |x – 2| không có đạo hàm tại điểm x0 = 2, nhưng có đạo hàm tại mọi điểm x ≠ 2.
Bài 3. Một viên đạn được bắn lên cao theo phương trình trong đó t tính bằng giây kể từ thời điểm viên đạn được bắn lên cao và s(t) là khoảng cách của viên đạn so với mặt đất được tính bằng mét. Tại thời điểm vận tốc của viên đạn bằng 0 thì viên đạn cách mặt đất bao nhiêu mét?
Hướng dẫn giải
Ta tính được
Vận tốc của viên đạn
Khi đó viên đạn cách mặt đất một khoảng
Bài 4. Cho hàm số .
a) Tính đạo hàm của hàm số tại điểm bất kì, .
b) Viết phương trình tiếp tuyến của đồ thị hàm số tại điểm có hoành độ .
Hướng dẫn giải
a) Với bất kì, ta có:
b) Với ta có và . Phương trình tiếp tuyến của đồ thị hàm số tại điểm có hoành độ là:
.
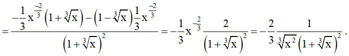
Bài 5. Tính đạo hàm của các hàm số sau:
a) với ;
b) .
Hướng dẫn giải
a)
b)
Bài 6. Tính đạo hàm của các hàm số sau:
a) ;
b) .
Hướng dẫn giải
a)
b)
.
Bài 7. Tính đạo hàm của các hàm số sau:
a) ;
b) .
Hướng dẫn giải
a)
b)
.
Bài 8. Tính đạo hàm của mỗi hàm số sau tại điểm .
a) ;
b) .
Hướng dẫn giải
a) .
Đạo hàm của hàm số f(x) tại điểm là: .
b) Ta có: .
Đạo hàm của hàm số g(x) tại điểm là: .
Bài 9. Cho hàm số .
a) Tìm đạo hàm cấp hai của hàm số.
b) Tính đạo hàm cấp hai của hàm số tại điểm .
Hướng dẫn giải
a) Ta có và .
b) Vì nên .
Bài 10. Tìm đạo hàm cấp hai của mỗi hàm số sau:
a) ;
b) .
Hướng dẫn giải
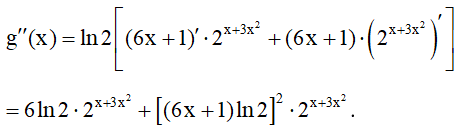
a) ;
b) ;
Bài 11. Một chất điểm chuyển động theo phương trình , trong đó tính bằng giây, s(t) tính bằng centimét. Tính vận tốc tức thời của chất điểm tại thời điểm .
Hướng dẫn giải
Vận tốc tức thời của chất điểm tại thời điểm t (s) là: .
Vậy vận tốc tức thời của chất điểm tại thời điểm là:
Bài 12. Một chất điểm chuyển động thẳng có phương trình trong đó thời gian t được tính bằng giây và s được tính bằng mét.
a) Tại thời điểm nào chất điểm có vận tốc bằng 0?
b) Tìm vận tốc và gia tốc của chất điểm tại thời điểm t = 3 s.
Hướng dẫn giải
a) . Ta có .
Vận tốc của chất điểm bằng 0 khi t = 1 s.
b) Khi t = 3 s, ta có .
Ta có nên .
Vậy khi t = 3 s thì vận tốc của vật là –4 m/s. Gia tốc của vật là –2 m/s2.
Học tốt Toán 11 Chương 7
Các bài học để học tốt Tổng hợp lý thuyết Toán 11 Chương 7 Toán lớp 11 hay khác:
(199k) Xem Khóa học Toán 11 CTST
Xem thêm tóm tắt lý thuyết Toán lớp 11 Chân trời sáng tạo hay khác:
Lý thuyết Toán 11 Bài 2: Đường thẳng vuông góc với mặt phẳng
Lý thuyết Toán 11 Bài 5: Góc giữa đường thẳng và mặt phẳng. Góc nhị diện
Xem thêm các tài liệu học tốt lớp 11 hay khác:
- Giải sgk Toán 11 Chân trời sáng tạo
- Giải Chuyên đề học tập Toán 11 Chân trời sáng tạo
- Giải SBT Toán 11 Chân trời sáng tạo
- Giải lớp 11 Chân trời sáng tạo (các môn học)
- Giải lớp 11 Kết nối tri thức (các môn học)
- Giải lớp 11 Cánh diều (các môn học)
Tủ sách VIETJACK shopee lớp 10-11 (cả 3 bộ sách):
Đã có app VietJack trên điện thoại, giải bài tập SGK, SBT Soạn văn, Văn mẫu, Thi online, Bài giảng....miễn phí. Tải ngay ứng dụng trên Android và iOS.
Theo dõi chúng tôi miễn phí trên mạng xã hội facebook và youtube:Nếu thấy hay, hãy động viên và chia sẻ nhé! Các bình luận không phù hợp với nội quy bình luận trang web sẽ bị cấm bình luận vĩnh viễn.
- Soạn văn 11 (hay nhất) - CTST
- Soạn văn 11 (ngắn nhất) - CTST
- Giải sgk Toán 11 - CTST
- Giải Tiếng Anh 11 Global Success
- Giải sgk Tiếng Anh 11 Smart World
- Giải sgk Tiếng Anh 11 Friends Global
- Giải sgk Vật Lí 11 - CTST
- Giải sgk Hóa học 11 - CTST
- Giải sgk Sinh học 11 - CTST
- Giải sgk Lịch Sử 11 - CTST
- Giải sgk Địa Lí 11 - CTST
- Giải sgk Giáo dục KTPL 11 - CTST
- Giải sgk Hoạt động trải nghiệm 11 - CTST
- Giải sgk Âm nhạc 11 - CTST


Giải bài tập SGK & SBT
Tài liệu giáo viên
Sách
Khóa học
Thi online
Hỏi đáp

