Giới hạn của dãy số lớp 11 (Lý thuyết Toán 11 Kết nối tri thức)
Với tóm tắt lý thuyết Toán 11 Bài 15: Giới hạn của dãy số sách Kết nối tri thức hay nhất, chi tiết sẽ giúp học sinh lớp 11 nắm vững kiến thức trọng tâm, ôn luyện để học tốt môn Toán 11.
Giới hạn của dãy số lớp 11 (Lý thuyết Toán 11 Kết nối tri thức)
(199k) Xem Khóa học Toán 11 KNTT
Bài giảng: Bài 15: Giới hạn dãy số - Cô Hoàng Xuân (Giáo viên VietJack)
Lý thuyết Giới hạn của dãy số
1. Giới hạn hữu hạn của dãy số
1.1. Dãy số có giới hạn là 0
- Ta nói dãy số (un) có giới hạn là 0 khi n dần tới dương vô cực, nếu |un| có thể nhỏ hơn một số dương bé tùy ý, kể từ một số hạng nào đó trở đi, kí hiệu hay un → 0 khi n → +∞.
Chú ý: Từ định nghĩa dãy số có giới hạn 0, ta có các kết quả sau:
+) với k là một số nguyên dương;
+) = 0 nếu |q| < 1;
+) Nếu |un| ≤ vn với mọi n ≥ 1 và = 0 thì = 0.
Ví dụ: Xét dãy số un = . Tìm giới hạn của dãy số?
Hướng dẫn giải
Dãy số này có giới hạn là 0, bởi vì |un|= có thể nhỏ hơn một số dương bé tùy ý khi n đủ lớn.
Chẳng hạn, để |un| < 0,0001 tức là < 10-4, ta cần n3 > 10000 hay n > 21,54. Như vậy, các số hạng của dãy kể từ số hạng thứ 22 đều có giá trị tuyệt đối nhỏ hơn 0,0001.
1.2. Dãy số có giới hạn hữu hạn
- Ta nói dãy số (un) có giới hạn là số thực a khi n dần tới dương vô cực nếu (un-a) = 0, kí hiệu = a hay un → a khi n → +∞.
Chú ý: Nếu un = c (c là hằng số) thì = c.
Ví dụ: Xét dãy số (un) với un = . Tìm giới hạn của dãy số?
Hướng dẫn giải
Ta có: un – 3 = – 3 = → 0 khi n → +∞.
Do vậy = 3.
2. Định lí về giới hạn hữu hạn của dãy số
Các quy tắc tính giới hạn:
a) Nếu = a và = b thì
(un+vn) = a+b;
(un-vn) = a-b;
(un.vn) = a.b;
(nếu b ≠ 0).
b) Nếu un ≥ 0 với mọi n và = a thì
a ≥ 0 và .
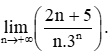
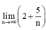
Ví dụ: Tìm các giới hạn sau:
a) ;
b) .
Hướng dẫn giải
Áp dụng các quy tắc tính giới hạn, ta có:
a)
= = 2
b) =
=
3. Tổng của cấp số nhân lùi vô hạn
Cấp số nhân vô hạn (un) có công bội q với |q| < 1 được gọi là cấp số nhân lùi vô hạn.
Cho cấp số nhân lùi vô hạn (un) với công bội q. Khi đó
Sn = u1 + u2 + … + un =
Vì |q| < 1 nên qn → 0 khi n → +∞. Do đó, ta có:
=
Giới hạn này được gọi là tổng của cấp số nhân lùi vô hạn (un) và kí hiệu là
S = u1 + u2 + … + un + ….
Như vậy
S = (|q|<1).
Ví dụ: Tính tổng
Hướng dẫn giải
Tổng S là tổng của cấp số nhân lùi vô hạn với u1 = và q = .
Do đó,
4. Giới hạn vô cực của dãy số
- Dãy số (un) được gọi là có giới hạn +∞ khi n→ +∞ nếu un có thể lớn hơn một số dương bất kì, kể từ một số hạng nào đó trở đi, kí hiệu = +∞ hay un → +∞ khi n→ +∞.
- Dãy số (un) được gọi là có giới hạn –∞ khi n→ +∞ nếu (-un)= +∞, kí hiệu (un) = –∞, hay un → – ∞ khi n→ +∞.
Theo định nghĩa trên, ta có:
(nk) = +∞, với k là số nguyên dương;
(qn) = +∞, với q > 1.
Một số quy tắc tính giới hạn vô cực của dãy số:
+ Nếu = a và (hoặc ) thì = 0.
+ Nếu = a > 0 và = 0 và vn > 0 với mọi n thì .
+ Nếu và = a > 0 thì .
Ví dụ: Tính
Hướng dẫn giải
= 0 vì
= 2 và .
Bài tập Giới hạn của dãy số
Bài 1: Tìm các giới hạn sau:
a) (2n3-3n+2);
b) ;
c)
Hướng dẫn giải
a)(2n3-3n+2) = = +
Vì và = 2.
b) = 2.
c)
Bài 2: Cho hai dãy số không âm (un) và (vn) với và . Tìm giới hạn của: .
Hướng dẫn giải
Ta có: , do đó (vn . un) = 5.5 = 25.
(vn - un) = 5-3 = 2.
Vậy = .
Bài 3: Tính tổng của cấp số nhân lùi vô hạn: 3; – 1;
Hướng dẫn giải
un là cấp số nhân lùi vô hạn có số hạng đầu u1 = 3 và công bội q = .
Tổng của cấp số nhân này là: S = = .
Bài 4: Một cấp số nhân lùi vô hạn có tổng các số hạng bằng 56, tổng bình phương các số hạng bằng 448. Số hạng đầu tiên của cấp số nhân đó là bao nhiêu?
Hướng dẫn giải
⇒
Suy ra: q = .
Ta tìm được: u1 = 14.
Học tốt Giới hạn của dãy số
Các bài học để học tốt Giới hạn của dãy số Toán lớp 11 hay khác:
(199k) Xem Khóa học Toán 11 KNTT
Xem thêm tóm tắt lý thuyết Toán lớp 11 Kết nối tri thức hay, chi tiết khác:
Xem thêm các tài liệu học tốt lớp 11 hay khác:
- Giải sgk Toán 11 Kết nối tri thức
- Giải Chuyên đề học tập Toán 11 Kết nối tri thức
- Giải SBT Toán 11 Kết nối tri thức
- Giải lớp 11 Kết nối tri thức (các môn học)
- Giải lớp 11 Chân trời sáng tạo (các môn học)
- Giải lớp 11 Cánh diều (các môn học)
Tủ sách VIETJACK shopee lớp 10-11 (cả 3 bộ sách):
Đã có app VietJack trên điện thoại, giải bài tập SGK, SBT Soạn văn, Văn mẫu, Thi online, Bài giảng....miễn phí. Tải ngay ứng dụng trên Android và iOS.
Theo dõi chúng tôi miễn phí trên mạng xã hội facebook và youtube:Nếu thấy hay, hãy động viên và chia sẻ nhé! Các bình luận không phù hợp với nội quy bình luận trang web sẽ bị cấm bình luận vĩnh viễn.
- Soạn văn 11 (hay nhất) - KNTT
- Soạn văn 11 (ngắn nhất) - KNTT
- Giải sgk Toán 11 - KNTT
- Giải Tiếng Anh 11 Global Success
- Giải sgk Tiếng Anh 11 Smart World
- Giải sgk Tiếng Anh 11 Friends Global
- Giải sgk Vật Lí 11 - KNTT
- Giải sgk Hóa học 11 - KNTT
- Giải sgk Sinh học 11 - KNTT
- Giải sgk Lịch Sử 11 - KNTT
- Giải sgk Địa Lí 11 - KNTT
- Giải sgk Giáo dục KTPL 11 - KNTT
- Giải sgk Tin học 11 - KNTT
- Giải sgk Công nghệ 11 - KNTT
- Giải sgk Hoạt động trải nghiệm 11 - KNTT
- Giải sgk Giáo dục quốc phòng 11 - KNTT
- Giải sgk Âm nhạc 11 - KNTT


Giải bài tập SGK & SBT
Tài liệu giáo viên
Sách
Khóa học
Thi online
Hỏi đáp

