Giới hạn của hàm số lớp 11 (Lý thuyết Toán 11 Kết nối tri thức)
Với tóm tắt lý thuyết Toán 11 Bài 16: Giới hạn của hàm số sách Kết nối tri thức hay nhất, chi tiết sẽ giúp học sinh lớp 11 nắm vững kiến thức trọng tâm, ôn luyện để học tốt môn Toán 11.
Giới hạn của hàm số lớp 11 (Lý thuyết Toán 11 Kết nối tri thức)
(199k) Xem Khóa học Toán 11 KNTT
Bài giảng: Bài 16: Giới hạn hàm số - Cô Hoàng Xuân (Giáo viên VietJack)
Lý thuyết Giới hạn của hàm số
1. Giới hạn hữu hạn của hàm số tại một điểm
1.1. Khái niệm giới hạn tại một điểm
- Giả sử (a; b) là một khoảng chứa điểm x0 và hàm số y = f(x) xác định trên khoảng (a; b), có thể trừ điểm x0. Ta nói hàm số f(x) có giới hạn là số L khi x dần tới x0 nếu với dãy số (xn) bất kì, xn ∈ (a; b), xn ≠ x0 và xn → x0, ta có f (xn) → L, kí hiệu f(x) = L hay f(x) → L khi x → x0.
- Các quy tắc tính giới hạn của hàm số tại một điểm:
a) Nếu f(x) = L và g(x) = M thì
[f(x) + g(x)] =L+M;
[f(x) - g(x)] =L-M;
[f(x) . g(x)] =L.M;
= , nếu M ≠ 0.
b) Nếu f(x) ≥ 0 với mọi x ∈ (a; b) \ {x0} và f(x) = L thì L ≥ 0 và
Chú ý:
c = c với c là hằng số.
với n ∈ ℕ.
Ví dụ: Tìm giới hạn của: .
Hướng dẫn giải
1.2. Khái niệm giới hạn một bên
• Cho hàm số y = f(x) xác định trên khoảng (x0; b). Ta nói số L là giới hạn bên phải của f(x) khi x → x0 nếu với dãy số (xn) bất kì thỏa mãn x0 < xn < b và xn → x0, ta có f(xn) → L, kí hiệu f(x) = L.
• Cho hàm số y = f(x) xác định trên khoảng (a; x0). Ta nói số L là giới hạn bên trái của f(x) khi x → x0 nếu với dãy số (xn) bất kì thỏa mãn a < xn < x0 và xn → x0, ta có f(xn) → L, kí hiệu f(x) = L.
Chú ý: f(x) = L khi và chỉ khi f(x) = f(x) = L.
Ví dụ: Tính .
Hướng dẫn giải
Xét dãy số (xn) bất kì, xn < 2 và xn → 2, ta có:
(2-xn) = 2-2 = 0. Suy ra = 0.
Vậy = 0.
2. Giới hạn hữu hạn của hàm số tại vô cực
• Khái niệm giới hạn tại vô cực:
- Cho hàm số y = f(x) xác định trên khoảng (a; +∞). Ta nói hàm số f(x) có giới hạn là số L khi x → +∞ nếu với dãy số (xn) bất kì thỏa mãn xn > a và xn → +∞, ta có f(xn) → L, kí hiệu f(x) = L hay f(x) → L khi x → +∞.
- Cho hàm số y = f(x) xác định trên khoảng (–∞; b). Ta nói hàm số f(x) có giới hạn là số L khi x → –∞ nếu với dãy số (xn) bất kì thỏa mãn xn < b và xn → –∞, ta có f(xn) → L, kí hiệu f(x) = L hay f(x) → L khi x → –∞.
• Chú ý:
- Các quy tắc tính giới hạn hữu hạn tại một điểm cũng đúng cho giới hạn hữu hạn tại vô cực.
- Với c là hằng số, ta có: c = c, c = c.
- Với k là một số nguyên dương, ta có: = 0, = 0.
- Lưu ý: = .
Ví dụ: Tính .
Hướng dẫn giải
Ta có
3. Giới hạn vô cực của hàm số tại một điểm
3.1. Giới hạn vô cực
• Khái niệm giới hạn vô cực
Giả sử khoảng (a; b) chứa x0 và hàm số y = f(x) xác định trên (a; b) \ {x0}. Ta nói hàm số f(x) có giới hạn +∞ khi x → x0 nếu với dãy số (xn) bất kì, xn ∈ (a; b) \ {x0}; xn → x0, ta có f(xn) → +∞, kí hiệu f(x) = +∞.
Ta nói hàm số f(x) có giới hạn –∞ khi x → x0, kí hiệu f(x) = -∞, nếu [-f(x)] = +.
• Giới hạn một bên:
- Cho hàm số = f(x) xác định trên khoảng (x0; b). Ta nói hàm số f(x) có giới hạn +∞ khi x → x0 về bên phải nếu với dãy số (xn) bất kì thỏa mãn x0 < xn < b, xn → x0, ta có f(xn) → +∞, kí hiệu f(x)= +.
- Cho hàm số = f(x) xác định trên khoảng (a; x0). Ta nói hàm số f(x) có giới hạn +∞ khi x → x0 về bên trái nếu với dãy số (xn) bất kì thỏa mãn a < xn < x0, xn → x0, ta có f(xn) → +∞, kí hiệu f(x) = + .
- Các giới hạn một bên f(x)=, f(x) = được định nghĩa tương tự.
Chú ý: Các giới hạn f(x) = +, f(x) = +, f(x)=- và f(x)=- được định nghĩa tương tự như giới hạn của hàm số f(x) tại vô cực. Chẳng hạn: Ta nói hàm số y = f(x), xác định trên khoảng (a; +∞), có giới hạn là – ∞ khi x → +∞ nếu với dãy số (xn) bất kì, xn > a và xn → +∞, ta có f(xn) → –∞, kí hiệu f(x) = - hay f(x) → –∞ khi x → +∞.
Một số giới hạn đặc biệt:
+) với k nguyên dương;
+) f(x) = + với k là số chẵn;
+) f(x) = - với k là số lẻ.
Ví dụ: Tìm giới hạn của: .
Hướng dẫn giải
3.2. Một số quy tắc tính giới hạn vô cực
Chú ý các quy tắc tính giới hạn hữu hạn không còn đúng cho giới hạn vô cực.
Ta có một số quy tắc tính giới hạn của tích và thương hai hàm số khi một trong hai hàm số đó có giới hạn vô cực.
• Quy tắc tìm giới hạn của tích f(x). g(x).
Giả sử f(x) = L≠ 0 và g(x) = +∞ (hoặc –∞). Khi đó f(x)g(x) được tính theo quy tắc trong bảng sau:
f(x) |
g(x) |
f(x)g(x) |
L > 0 |
+∞ |
+∞ |
–∞ |
–∞ |
|
L < 0 |
+∞ |
–∞ |
–∞ |
+∞ |
• Quy tắc tìm giới hạn của thương .
f(x) |
g(x) |
Dấu của g(x) |
|
L |
±∞ |
Tùy ý |
0 |
L > 0 |
0 |
+ |
+∞ |
– |
–∞ |
||
L < 0 |
0 |
+ |
–∞ |
– |
+∞ |
Các quy tắc trên vẫn đúng cho các trường hợp x → , x → .
Ví dụ: Tìm .
Hướng dẫn giải
Ta sử dụng quy tắc tìm giới hạn của thương.
Giới hạn của tử số (2x+2) = 2.
Ngoài ra, mẫu số nhận giá trị dương với mọi x ≠ 0 và = 0.
Do vậy = +∞.
Bài tập Giới hạn của hàm số
Bài 1: Tính các giới hạn sau:
a) ;
b) .
Hướng dẫn giải
a)
b) Vì (x – 1) → 0 hay khi x → 1, nên ta chưa thể áp dụng ngay quy tắc tính giới hạn của hàm số tại một điểm.
Nhưng với x ≠ 1, ta có:
==(x+2) = 3.
Bài 2: Tìm các giới hạn một bên:
a) ;
b) .
Hướng dẫn giải
a) Ta có: (x-1) = 0 và x – 1 > 0 với mọi x > 1
(x-3) = 1-3 = -2 <0
Do đó: = – ∞.
b) Ta có: (4-x) = 0 và 4 – x > 0 với mọi x < 4
(x2-2x+3) = 42-8+3 = 11 > 0
Do đó: = +∞.
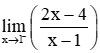
Bài 3: Tính các giới hạn sau:
a) (x3-2x);
b) (x3-3x);
c) .
Hướng dẫn giải
a)
b)
c) Ta có: (x-1) = 0 và x – 1 < 0 với mọi x < 1.
(2x - 4) = 2.1 - 4 = -2<0.
Do đó,
Bài 4: Cho hàm số f(x) = và g(x) = x + 3. Khẳng định nào sau đây là sai?
a) f(x) = g(x).
b) .
Hướng dẫn giải
a) Biểu thức f(x) có nghĩa khi x ≠ 1.
Ta có: f(x) = = 2(x+1) = 2x+2 với mọi x ≠ 1.
Biểu thức g(x) có nghĩa với mọi x.
Do đó f(x) ≠ g(x). Suy ra khẳng định a) là khẳng định sai.
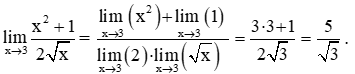
b) f(x) = (2x+2) = 4
g(x) = (x+3) = 4
Vậy f(x) = g(x), do đó khẳng định b) là khẳng định đúng.
Học tốt Giới hạn của hàm số
Các bài học để học tốt Giới hạn của hàm số Toán lớp 11 hay khác:
(199k) Xem Khóa học Toán 11 KNTT
Xem thêm tóm tắt lý thuyết Toán lớp 11 Kết nối tri thức hay, chi tiết khác:
Xem thêm các tài liệu học tốt lớp 11 hay khác:
- Giải sgk Toán 11 Kết nối tri thức
- Giải Chuyên đề học tập Toán 11 Kết nối tri thức
- Giải SBT Toán 11 Kết nối tri thức
- Giải lớp 11 Kết nối tri thức (các môn học)
- Giải lớp 11 Chân trời sáng tạo (các môn học)
- Giải lớp 11 Cánh diều (các môn học)
Tủ sách VIETJACK shopee lớp 10-11 (cả 3 bộ sách):
Đã có app VietJack trên điện thoại, giải bài tập SGK, SBT Soạn văn, Văn mẫu, Thi online, Bài giảng....miễn phí. Tải ngay ứng dụng trên Android và iOS.
Theo dõi chúng tôi miễn phí trên mạng xã hội facebook và youtube:Nếu thấy hay, hãy động viên và chia sẻ nhé! Các bình luận không phù hợp với nội quy bình luận trang web sẽ bị cấm bình luận vĩnh viễn.
- Soạn văn 11 (hay nhất) - KNTT
- Soạn văn 11 (ngắn nhất) - KNTT
- Giải sgk Toán 11 - KNTT
- Giải Tiếng Anh 11 Global Success
- Giải sgk Tiếng Anh 11 Smart World
- Giải sgk Tiếng Anh 11 Friends Global
- Giải sgk Vật Lí 11 - KNTT
- Giải sgk Hóa học 11 - KNTT
- Giải sgk Sinh học 11 - KNTT
- Giải sgk Lịch Sử 11 - KNTT
- Giải sgk Địa Lí 11 - KNTT
- Giải sgk Giáo dục KTPL 11 - KNTT
- Giải sgk Tin học 11 - KNTT
- Giải sgk Công nghệ 11 - KNTT
- Giải sgk Hoạt động trải nghiệm 11 - KNTT
- Giải sgk Giáo dục quốc phòng 11 - KNTT
- Giải sgk Âm nhạc 11 - KNTT


Giải bài tập SGK & SBT
Tài liệu giáo viên
Sách
Khóa học
Thi online
Hỏi đáp

