Tổng hợp lý thuyết Toán 11 Chương 5 Kết nối tri thức
Tổng hợp lý thuyết Toán 11 Chương 5: Giới hạn. Hàm số liên tục sách Kết nối tri thức hay nhất, chi tiết với bài tập có lời giải sẽ giúp học sinh lớp 11 nắm vững kiến thức trọng tâm Toán 11 Chương 5.
Tổng hợp lý thuyết Toán 11 Chương 5 Kết nối tri thức
(199k) Xem Khóa học Toán 11 KNTT
Bài giảng: Bài tập cuối chương 5 - Cô Hoàng Xuân (Giáo viên VietJack)
Lý thuyết tổng hợp Toán 11 Chương 5
1. Giới hạn hữu hạn của dãy số
1.1. Dãy số có giới hạn là 0
- Ta nói dãy số (un) có giới hạn là 0 khi n dần tới dương vô cực, nếu |un| có thể nhỏ hơn một số dương bé tùy ý, kể từ một số hạng nào đó trở đi, kí hiệu hay un → 0 khi n → +∞.
Chú ý: Từ định nghĩa dãy số có giới hạn 0, ta có các kết quả sau:
+) với k là một số nguyên dương;
+) = 0 nếu |q| < 1;
+) Nếu |un| ≤ vn với mọi n ≥ 1 và = 0 thì = 0.
1.2. Dãy số có giới hạn hữu hạn
- Ta nói dãy số (un) có giới hạn là số thực a khi n dần tới dương vô cực nếu (un-a) = 0, kí hiệu = a hay un → a khi n → +∞.
Chú ý: Nếu un = c (c là hằng số) thì = c.
2. Định lí về giới hạn hữu hạn của dãy số
Các quy tắc tính giới hạn:
a) Nếu = a và = b thì
(un+vn) = a+b;
(un-vn) = a-b;
(un.vn) = a.b;
(nếu b ≠ 0).
b) Nếu un ≥ 0 với mọi n và = a thì
a ≥ 0 và .
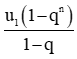
3. Tổng của cấp số nhân lùi vô hạn
Cấp số nhân vô hạn (un) có công bội q với |q| < 1 được gọi là cấp số nhân lùi vô hạn.
Cho cấp số nhân lùi vô hạn (un) với công bội q. Khi đó
Sn = u1 + u2 + … + un = .
Vì |q| < 1 nên qn → 0 khi n → +∞. Do đó, ta có:
=
Giới hạn này được gọi là tổng của cấp số nhân lùi vô hạn (un) và kí hiệu là
S = u1 + u2 + … + un + ….
Như vậy
S = (|q|<1).
4. Giới hạn vô cực của dãy số
- Dãy số (un) được gọi là có giới hạn +∞ khi n→ +∞ nếu un có thể lớn hơn một số dương bất kì, kể từ một số hạng nào đó trở đi, kí hiệu = +∞ hay un → +∞ khi n→ +∞.
- Dãy số (un) được gọi là có giới hạn –∞ khi n→ +∞ nếu (-un)= +∞, kí hiệu (un) = –∞, hay un → – ∞ khi n→ +∞.
Theo định nghĩa trên, ta có:
(nk) = +∞, với k là số nguyên dương;
(qn) = +∞, với q > 1.
Một số quy tắc tính giới hạn vô cực của dãy số:
+ Nếu = a và (hoặc ) thì = 0.
+ Nếu = a > 0 và = 0 và vn > 0 với mọi n thì .
+ Nếu và = a > 0 thì .
5. Giới hạn hữu hạn của hàm số tại một điểm
5.1. Khái niệm giới hạn tại một điểm
- Giả sử (a; b) là một khoảng chứa điểm x0 và hàm số y = f(x) xác định trên khoảng (a; b), có thể trừ điểm x0. Ta nói hàm số f(x) có giới hạn là số L khi x dần tới x0 nếu với dãy số (xn) bất kì, xn ∈ (a; b), xn ≠ x0 và xn → x0, ta có f (xn) → L, kí hiệu f(x) = L hay f(x) → L khi x → x0.
- Các quy tắc tính giới hạn của hàm số tại một điểm:
a) Nếu f(x) = L và g(x) = M thì
[f(x) + g(x)] =L+M;
[f(x) - g(x)] =L-M;
[f(x) . g(x)] =L.M;
= , nếu M ≠ 0.
b) Nếu f(x) ≥ 0 với mọi x ∈ (a; b) \ {x0} và f(x) = L thì L ≥ 0 và .
Chú ý:
c = c với c là hằng số.
với n ∈ ℕ.
5.2. Khái niệm giới hạn một bên
• Cho hàm số y = f(x) xác định trên khoảng (x0; b). Ta nói số L là giới hạn bên phải của f(x) khi x → x0 nếu với dãy số (xn) bất kì thỏa mãn x0 < xn < b và xn → x0, ta có f(xn) → L, kí hiệu f(x) = L.
• Cho hàm số y = f(x) xác định trên khoảng (a; x0). Ta nói số L là giới hạn bên trái của f(x) khi x → x0 nếu với dãy số (xn) bất kì thỏa mãn a < xn < x0 và xn → x0, ta có f(xn) → L, kí hiệu f(x) = L.
Chú ý: f(x) = L khi và chỉ khi f(x) = f(x) = L.
6. Giới hạn hữu hạn của hàm số tại vô cực
• Khái niệm giới hạn tại vô cực:
- Cho hàm số y = f(x) xác định trên khoảng (a; +∞). Ta nói hàm số f(x) có giới hạn là số L khi x → +∞ nếu với dãy số (xn) bất kì thỏa mãn xn > a và xn → +∞, ta có f(xn) → L, kí hiệu f(x) = L hay f(x) → L khi x → +∞.
- Cho hàm số y = f(x) xác định trên khoảng (–∞; b). Ta nói hàm số f(x) có giới hạn là số L khi x → –∞ nếu với dãy số (xn) bất kì thỏa mãn xn < b và xn → –∞, ta có f(xn) → L, kí hiệu f(x) = L hay f(x) → L khi x → –∞.
• Chú ý:
- Các quy tắc tính giới hạn hữu hạn tại một điểm cũng đúng cho giới hạn hữu hạn tại vô cực.
- Với c là hằng số, ta có: c = c, c = c.
- Với k là một số nguyên dương, ta có: = 0, = 0.
- Lưu ý: = .
7. Giới hạn vô cực của hàm số tại một điểm
7.1. Giới hạn vô cực
• Khái niệm giới hạn vô cực
Giả sử khoảng (a; b) chứa x0 và hàm số y = f(x) xác định trên (a; b) \ {x0}. Ta nói hàm số f(x) có giới hạn +∞ khi x → x0 nếu với dãy số (xn) bất kì, xn ∈ (a; b) \ {x0}; xn → x0, ta có f(xn) → +∞, kí hiệu f(x) = +∞.
Ta nói hàm số f(x) có giới hạn –∞ khi x → x0, kí hiệu f(x) = -∞, nếu [-f(x)] = +.
• Giới hạn một bên:
- Cho hàm số = f(x) xác định trên khoảng (x0; b). Ta nói hàm số f(x) có giới hạn +∞ khi x → x0 về bên phải nếu với dãy số (xn) bất kì thỏa mãn x0 < xn < b, xn → x0, ta có f(xn) → +∞, kí hiệu f(x) = +.
- Cho hàm số = f(x) xác định trên khoảng (a; x0). Ta nói hàm số f(x) có giới hạn +∞ khi x → x0 về bên trái nếu với dãy số (xn) bất kì thỏa mãn a < xn < x0, xn → x0, ta có f(xn) → +∞, kí hiệu f(x) = +.
- Các giới hạn một bên f(x)=, f(x) = được định nghĩa tương tự.
Chú ý: Các giới hạn f(x) = +, f(x) = +, f(x)=- và f(x)=- được định nghĩa tương tự như giới hạn của hàm số f(x) tại vô cực. Chẳng hạn: Ta nói hàm số y = f(x), xác định trên khoảng (a; +∞), có giới hạn là – ∞ khi x → +∞ nếu với dãy số (xn) bất kì, xn > a và xn → +∞, ta có f(xn) → –∞, kí hiệu f(x) = - hay f(x) → –∞ khi x → +∞.
Một số giới hạn đặc biệt:
+) với k nguyên dương;
+) f(x) = + với k là số chẵn;
+) f(x) = - với k là số lẻ.
7.2. Một số quy tắc tính giới hạn vô cực
Chú ý các quy tắc tính giới hạn hữu hạn không còn đúng cho giới hạn vô cực.
Ta có một số quy tắc tính giới hạn của tích và thương hai hàm số khi một trong hai hàm số đó có giới hạn vô cực.
• Quy tắc tìm giới hạn của tích f(x). g(x).
Giả sử f(x) = L≠ 0 và g(x) = +∞ (hoặc –∞). Khi đó f(x)g(x) được tính theo quy tắc trong bảng sau:
f(x) |
g(x) |
f(x)g(x) |
L > 0 |
+∞ |
+∞ |
–∞ |
–∞ |
|
L < 0 |
+∞ |
–∞ |
–∞ |
+∞ |
• Quy tắc tìm giới hạn của thương .
f(x) |
g(x) |
Dấu của g(x) |
|
L |
±∞ |
Tùy ý |
0 |
L > 0 |
0 |
+ |
+∞ |
– |
–∞ |
||
L < 0 |
0 |
+ |
–∞ |
– |
+∞ |
Các quy tắc trên vẫn đúng cho các trường hợp x → , x → .
8. Hàm số liên tục tại một điểm
Cho hàm số y = f(x) xác định trên khoảng (a; b) chứa điểm x0. Hàm số f(x) được gọi là liên tục tại điểm x0 nếu f(x) = f(x0).
Hàm số f(x) không liên tục tại x0 được gọi là gián đoạn tại điểm đó.
9. Hàm số liên tục trên một khoảng
- Hàm số y = f(x) được gọi là liên tục trên khoảng (a; b) nếu nó liên tục tại mọi điểm thuộc khoảng này.
- Hàm số y = f(x) được gọi là liên tục trên đoạn [a; b] nếu nó liên tục trên khoảng (a; b) và f(x) = f(a), f(x) = f(b).
- Các khái niệm hàm số liên tục trên nửa khoảng như (a; b], [a; +∞),… được định nghĩa theo cách tương tự. Có thể thấy đồ thị của hàm số liên tục trên một khoảng là một đường liền trên khoảng đó.
- Về tính liên tục của các hàm số sơ cấp cơ bản đã biết, ta có:
+ Hàm số đa thức và các hàm số y = sin x, y = cos x liên tục trên ℝ.
+ Các hàm số y = tan x, y = cot x, y = và hàm phân thức hữu tỉ (thương của hai đa thức) liên tục trên tập xác định của chúng.
10. Một số tính chất cơ bản của hàm số liên tục
Giả sử hai hàm số y = f(x) và y = g(x) liên tục tại điểm x0. Khi đó:
a) Các hàm số y = f(x) + g(x), y = f(x) – g(x) và y = f(x) . g(x) liên tục tại x0;
b) Hàm số y = liên tục tại x0 nếu g(x0) ≠ 0.
Ví dụ: Xét tính liên tục của hàm số f(x) = .
Hướng dẫn giải:
Hàm số đã cho xác định trên các khoảng (–∞; 3) và (3; +∞). Trên các khoảng này, tử thức (hàm lượng giác) và mẫu thức (hàm đa thức) là các hàm số liên tục. Do đó, hàm số f(x) liên tục trên ℝ \{3}.
Nhận xét: Nếu hàm số y = f(x) liên tục trên đoạn [a; b] và f(a) . f(b) < 0 thì tồn tại ít nhất một điểm c ∈ (a; b) sao cho f(c) = 0.
Bài tập tổng hợp Toán 11 Chương 5
Bài 1: Tìm các giới hạn sau:
a) (2n3-3n+2);
b) ;
c)
Hướng dẫn giải
a)(2n3-3n+2) = = +
Vì và = 2.
b) = 2.
c)
Bài 2: Cho hai dãy số không âm (un) và (vn) với và . Tìm giới hạn của: .
Hướng dẫn giải
Ta có: , do đó (vn.vn)= 5.5 = 25.
(vn.vn) = 5-3 = 2.
Vậy = .
Bài 3: Tính tổng của cấp số nhân lùi vô hạn: 3; – 1; .
Hướng dẫn giải
un là cấp số nhân lùi vô hạn có số hạng đầu u1 = 3 và công bội q = .
Tổng của cấp số nhân này là: S = = .
Bài 4: Một cấp số nhân lùi vô hạn có tổng các số hạng bằng 56, tổng bình phương các số hạng bằng 448. Số hạng đầu tiên của cấp số nhân đó là bao nhiêu?
Hướng dẫn giải
Suy ra: q = .
Ta tìm được: u1 = 14.
Bài 5: Tính các giới hạn sau:
a) ;
b) .
Hướng dẫn giải
a)
b) Vì (x – 1) → 0 hay khi x → 1, nên ta chưa thể áp dụng ngay quy tắc tính giới hạn của hàm số tại một điểm.
Nhưng với x ≠ 1, ta có:
Bài 6: Tìm các giới hạn một bên:
a) ;
b) .
Hướng dẫn giải
a) Ta có: (x-1) = 0 và x – 1 > 0 với mọi x > 1
(x-3) = 1-3 = -2 <0
Do đó: = – ∞.
b) Ta có: (4-x) = 0 và 4 – x > 0 với mọi x < 4
(x2-2x+3) = 42-8+3 = 11 > 0
Do đó: = +∞.
Bài 7: Tính các giới hạn sau:
a) (x3-2x);
b) (x3-3x);
c) .
Hướng dẫn giải
c) Ta có: (x-1) = 0 và x – 1 < 0 với mọi x < 1.
(2x - 4) = 2.1 - 4 = -2<0.
Do đó, = +.
Bài 8: Cho hàm số f(x) = và g(x) = x + 3. Khẳng định nào sau đây là sai?
a) f(x) = g(x).
b) f(x) = g(x).
Hướng dẫn giải
a) Biểu thức f(x) có nghĩa khi x ≠ 1.
Ta có: f(x) = = 2(x+1) = 2x+2 với mọi x ≠ 1.
Biểu thức g(x) có nghĩa với mọi x.
Do đó f(x) ≠ g(x). Suy ra khẳng định a) là khẳng định sai.
b) f(x) = (2x+2) = 4
g(x) = (x+3) = 4
Vậy f(x) = g(x), do đó khẳng định b) là khẳng định đúng.
Bài 9: Cho hàm số f(x) = . Tìm giá trị của m để f(x) liên tục trên [0; +∞).
Hướng dẫn giải
+) Với x ∈ (0; 9): f(x) = liên tục trên (0; 9).
+) Với x ∈ [9; +∞) thì f(x) = liên tục trên [9; +∞).
+) Tại x = 0 ta có f(0) = m
Vậy để hàm số liên tục trên [0; +∞) khi nó phải liên tục tại x = 0.
Suy ra: f(x) = mm = .
Vậy m = thì f(x) liên tục trên [0; +∞).
Bài 10: Cho hàm số f(x) = . Xét tính liên tục của hàm số tại x = 0.
Hướng dẫn giải
Ta có: f(0) = 0
f(x) = (x2+1) = 1
f(x) = x = 0
Vậy f(x) gián đoạn tại x = 0.
Bài 11: Cho f(x) và g(x) là các hàm số liên tục tại x = 1. Biết f(1) = 3 và [2f(x)-g(x)] = 4. Tính g(1).
Hướng dẫn giải
Vì hàm số f(x) liên tục tại x = 1 nên hàm số 2f(x) cũng liên tục tại x = 1.
Mà hàm số g(x) liên tục tại x = 1. Do đó, hàm số y = 2f(x) – g(x) liên tục tại x = 1.
Suy ra: [2f(x)-g(x)] = 2f(1) – g(1) = 4
Mà f(1) = 3 nên ta có: 2 . 3 – g(1) = 4, suy ra g(1) = 2.
Vậy g(1) = 2.
Học tốt Toán 11 Chương 5
Các bài học để học tốt Tổng hợp lý thuyết Toán 11 Chương 5 Toán lớp 11 hay khác:
(199k) Xem Khóa học Toán 11 KNTT
Xem thêm tóm tắt lý thuyết Toán lớp 11 Kết nối tri thức hay, chi tiết khác:
Xem thêm các tài liệu học tốt lớp 11 hay khác:
- Giải sgk Toán 11 Kết nối tri thức
- Giải Chuyên đề học tập Toán 11 Kết nối tri thức
- Giải SBT Toán 11 Kết nối tri thức
- Giải lớp 11 Kết nối tri thức (các môn học)
- Giải lớp 11 Chân trời sáng tạo (các môn học)
- Giải lớp 11 Cánh diều (các môn học)
Tủ sách VIETJACK shopee lớp 10-11 (cả 3 bộ sách):
Đã có app VietJack trên điện thoại, giải bài tập SGK, SBT Soạn văn, Văn mẫu, Thi online, Bài giảng....miễn phí. Tải ngay ứng dụng trên Android và iOS.
Theo dõi chúng tôi miễn phí trên mạng xã hội facebook và youtube:Nếu thấy hay, hãy động viên và chia sẻ nhé! Các bình luận không phù hợp với nội quy bình luận trang web sẽ bị cấm bình luận vĩnh viễn.
- Soạn văn 11 (hay nhất) - KNTT
- Soạn văn 11 (ngắn nhất) - KNTT
- Giải sgk Toán 11 - KNTT
- Giải Tiếng Anh 11 Global Success
- Giải sgk Tiếng Anh 11 Smart World
- Giải sgk Tiếng Anh 11 Friends Global
- Giải sgk Vật Lí 11 - KNTT
- Giải sgk Hóa học 11 - KNTT
- Giải sgk Sinh học 11 - KNTT
- Giải sgk Lịch Sử 11 - KNTT
- Giải sgk Địa Lí 11 - KNTT
- Giải sgk Giáo dục KTPL 11 - KNTT
- Giải sgk Tin học 11 - KNTT
- Giải sgk Công nghệ 11 - KNTT
- Giải sgk Hoạt động trải nghiệm 11 - KNTT
- Giải sgk Giáo dục quốc phòng 11 - KNTT
- Giải sgk Âm nhạc 11 - KNTT


Giải bài tập SGK & SBT
Tài liệu giáo viên
Sách
Khóa học
Thi online
Hỏi đáp

