Bài tập phương trình chứa dấu giá trị tuyệt đối (chọn lọc, có lời giải)
Bài viết Bài tập phương trình chứa dấu giá trị tuyệt đối với phương pháp giải chi tiết giúp học sinh ôn tập, biết cách làm bài tập phương trình chứa dấu giá trị tuyệt đối.
Bài tập phương trình chứa dấu giá trị tuyệt đối (chọn lọc, có lời giải)
(199k) Xem Khóa học Toán 10 KNTTXem Khóa học Toán 10 CDXem Khóa học Toán 10 CTST
Câu 1. Tập nghiệm S của phương trình |3x-2| = 3-2x là:
A. S = {-1; 1} B. S = {-1} C. S = {1} D. S = {0}
Câu 2. Tập nghiệm S của phương trình |2x-1| = x-3 là:
A. S = {4/3} B. S = ∅ C. S = {-2; 4/3} D. S = {-2}
Câu 3. Tổng các nghiệm của phương trình |x2 + 5x + 4| = x + 4 bằng:
A. -12 B. -6 C. 6 D. 12
Câu 4. Tổng các nghiệm của phương trình 4x(x-1) = |2x-1| + 1 bằng:
A. 0 B. 1 C. 2 D. -2
Câu 5. Phương trình: |2x-4| + |x-1| = 0 có bao nhiêu nghiệm?
A. 0 B. 1 C. 2 D. Vô số
Câu 6. Gọi x1, x2 (x1 < x2) là hai nghiệm của phương trình |x2 - 4x - 5| = 4x - 17. Tính giá trị biểu thức P = x12 + x2
A. P = 16 B. P = 58 C. P = 28 D. P = 22
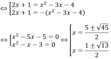
Câu 7. Phương trình |2x + 1| = |x2 - 3x - 4| có bao nhiêu nghiệm?
A. 0 B. 1 C. 2 D. 4
Câu 8. Phương trình: |x+2| + |3x-5| - |2x-7| = 0, có nghiệm là:
A. ∀x ∈ [-2; 5/3] B. x = -3 C. x = 3 D. x = 4
Câu 9. Cho phương trình:. Có nghiệm là:
A. x = 1 B. x = 3 C. x = 4 D. x = 5
Câu 10. Phương trình. Có các nghiệm là:
A. x = -1/8, x = -7
B. x = -21/9, x = 2/23
C. x = -22/9, x = 1/23
D. x = -23/9, x = 3/23
Câu 11. Tập nghiệm của phương trình:|x-2| = |3x-5| (1) là tập hợp nào sau đây ?
A. {3/2; 7/4} B. {-3/2; 7/4} C. {-7/4; -3/2} D. {-7/4; 3/2}
Câu 12. Tập nghiệm của phương trình:|x-2| = 2x-1 là
A. S = {-1; 1} B. S = {-1} C. S = {1} D. S = {0}
Câu 13. Phương trình: |3-x| + |2x+4| = 3, có nghiệm là
A. x = (-4)/3 B. x = -4 C. x = 2/3 D. Vô nghiệm
Câu 14. Số nghiệm của các phương trình (2x-1)2 - 3|2x-1| - 4 = 0 là:
A. 1 nghiệm B. 2 nghiệm C. 3 nghiệm D. 4 nghiệm
Câu 15. Số nghiệm của các phương trình là:
A. 1 nghiệm B. 2 nghiệm C. 3 nghiệm D. 4 nghiệm
Đáp án và hướng dẫn giải
| Câu | 1 | 2 | 3 | 4 | 5 | 6 | 7 | 8 | 9 | 10 | 11 | 12 | 13 | 14 | 15 |
| Đáp án | A | B | B | B | A | C | D | A | A | A | A | C | D | B | D |
Câu 1. Chọn A
Câu 2. Chọn B
Vậy S = ∅
Câu 3. Chọn B
Có 0 + (-2) + (-4) = -6
Câu 4. Chọn B
Phương trình tương đương với 4x2 - 4x - |2x-1| - 1 = 0
Đặt t = |2x-1|, t ≥ 0. Suy ra t2 = 4x2 - 4x + 1 ⇒ 4x2 - 4x = t2 - 1
Phương trình trở thành t2 - 1 - t - 1 = 0 ⇔ t2 - t - 2 = 0 ⇔
Với t = 2, ta có |2x-1| = 2
⇔
Câu 5. Chọn A
|2x - 4| + |x - 1| = 0 ⇔
Câu 6. Chọn C
Câu 7. Chọn D
Phương trình
Câu 8. Chọn A
Trường hợp 1: x ≤ -2
Phương trình thành: -x - 2 - 3x + 5 + 2x - 7 = 0
⇔-2x = 4 ⇔ x = -2 (nhận)
Trường hợp 2: -2 ≤ x ≤ 5/3
Phương trình thành: x + 2 - 3x + 5 + 2x - 7 = 0 ⇔ 0x = 0 (luôn đúng)
Suy ra -2 ≤ x ≤ 5/3
Trường hợp 3: 5/3 ≤ x ≤ 7/2
Phương trình thành: x + 2 + 3x - 5 + 2x - 7 = 0 ⇔ 6x = 10 ⇔ x = 5/3 (nhận)
Trường hợp 4: x > 7/2
Phương trình thành: x + 2 + 3x -5 - 2x + 7 = 0 ⇔ 6x = -4
⇔ x = (-2)/3 (loại)
Vậy S = [-2; 5/3]
Câu 9. Chọn A
Điều kiện:
Phương trình thành x2 - 1 + |x + 1| = 2|x|(x - 2)
TH1: x < -1
Phương trình thành x2 - 1 - x - 1 = 2(-x)(x-2) ⇔ 3x2 - 5x - 2 = 0
TH2: -1 ≤ x ≤ 0
Phương trình thành x2 - 1 + x + 1 = -2x(x-2) ⇔ 3x2 - 3x = 0
TH3: x > 0
Phương trình thành x2 - 1 + x + 1 = 2x(x-2) ⇔ x2 - 5x = 0
Câu 10. Chọn A
Điều kiện: |3 + 2x| + x - 2 ≠ 0
Phương trình thành |3 - 2x| - |x| = 5|3 + 2x| + 5x - 10
TH1: x < (-3)/2
Phương trình thành 3 - 2x + x = -15 - 10x + 5x - 10 ⇔ 4x = -28 ⇔ x = -7 (nhận)
TH2: (-3)/2 ≤ x ≤ 0
Phương trình thành 3 - 2x + x = 15 + 10x + 5x - 10 ⇔ 16x = -2 ⇔ x = -1/8 (nhận)
TH3: 0 < x < 3/2
Phương trình thành 3 - 2x - x = 15 + 10x + 5x - 10 ⇔ 18x = -2 ⇔ x = -1/9 (loại)
TH4: x ≥ 3/2
Phương trình thành -3 + 2x - x = 15 + 10x + 5x - 10 ⇔ 14x = -8
⇔ x = -4/7 (loại)
Câu 11. Chọn A
Ta có
Câu 12. Chọn C
Ta có |x - 2| = 2x - 1 ⇔ 2x - 1 ≥ 0 và
Vậy S = {1}
Câu 13. Chọn D
Trường hợp 1: x < -2
Phương trình thành 3 - x - 2x - 4 = 3 ⇔ 3x = -4 ⇔ x = (-4)/3 (loại)
Trường hợp 2: -2 ≤ x ≤ 3
Phương trình thành 3 - x + 2x + 4 = 3 ⇔ x = -4 (loại)
Trường hợp 3: x > 3
Phương trình thành x - 3 + 2x + 4 = 3 ⇔ 3x = 2 ⇔ x = 2/3 (loại)
Vậy S = ∅
Câu 14. Chọn B
Đặt t = |2x - 1|, t ≥ 0
Phương trình trở thành t2 - 3t - 4 = 0 ⇔
Với t = 4 ta có |2x - 1| = 4 ⇔ 2x - 1 = ±4 ⇔ x = 5/2 hoặc x = -3/2
Vậy phương trình có nghiệm là x = -3/2 và x = 5/2
Câu 15. Chọn D
ĐKXĐ: x ≠ 0. Đặt t = |(x2 - 2)/x|, t ≥ 0
Phương trình trở thành t2 - t - 2 = 0 ⇔
Với t = 2 ta có
Vậy phương trình có nghiệm là x = -1 ± √3 và x = 1 ± √3
(199k) Xem Khóa học Toán 10 KNTTXem Khóa học Toán 10 CDXem Khóa học Toán 10 CTST
Xem thêm các dạng bài tập Toán 10 có đáp án hay khác:
- Phương trình chứa ẩn ở mẫu
- Bài tập phương trình chứa ẩn ở mẫu
- Phương trình chứa ẩn dưới dấu căn
- Bài tập phương trình chứa ẩn dưới dấu căn
Để học tốt lớp 10 các môn học sách mới:
- Giải bài tập Lớp 10 Kết nối tri thức
- Giải bài tập Lớp 10 Chân trời sáng tạo
- Giải bài tập Lớp 10 Cánh diều
Tủ sách VIETJACK shopee lớp 10-11 (cả 3 bộ sách):
Đã có app VietJack trên điện thoại, giải bài tập SGK, SBT Soạn văn, Văn mẫu, Thi online, Bài giảng....miễn phí. Tải ngay ứng dụng trên Android và iOS.
Theo dõi chúng tôi miễn phí trên mạng xã hội facebook và youtube:Nếu thấy hay, hãy động viên và chia sẻ nhé! Các bình luận không phù hợp với nội quy bình luận trang web sẽ bị cấm bình luận vĩnh viễn.
- Giải Tiếng Anh 10 Global Success
- Giải Tiếng Anh 10 Friends Global
- Giải sgk Tiếng Anh 10 iLearn Smart World
- Giải sgk Tiếng Anh 10 Explore New Worlds
- Lớp 10 - Kết nối tri thức
- Soạn văn 10 (hay nhất) - KNTT
- Soạn văn 10 (ngắn nhất) - KNTT
- Soạn văn 10 (siêu ngắn) - KNTT
- Giải sgk Toán 10 - KNTT
- Giải sgk Vật lí 10 - KNTT
- Giải sgk Hóa học 10 - KNTT
- Giải sgk Sinh học 10 - KNTT
- Giải sgk Địa lí 10 - KNTT
- Giải sgk Lịch sử 10 - KNTT
- Giải sgk Kinh tế và Pháp luật 10 - KNTT
- Giải sgk Tin học 10 - KNTT
- Giải sgk Công nghệ 10 - KNTT
- Giải sgk Hoạt động trải nghiệm 10 - KNTT
- Giải sgk Giáo dục quốc phòng 10 - KNTT
- Lớp 10 - Chân trời sáng tạo
- Soạn văn 10 (hay nhất) - CTST
- Soạn văn 10 (ngắn nhất) - CTST
- Soạn văn 10 (siêu ngắn) - CTST
- Giải Toán 10 - CTST
- Giải sgk Vật lí 10 - CTST
- Giải sgk Hóa học 10 - CTST
- Giải sgk Sinh học 10 - CTST
- Giải sgk Địa lí 10 - CTST
- Giải sgk Lịch sử 10 - CTST
- Giải sgk Kinh tế và Pháp luật 10 - CTST
- Giải sgk Hoạt động trải nghiệm 10 - CTST
- Lớp 10 - Cánh diều
- Soạn văn 10 (hay nhất) - Cánh diều
- Soạn văn 10 (ngắn nhất) - Cánh diều
- Soạn văn 10 (siêu ngắn) - Cánh diều
- Giải sgk Toán 10 - Cánh diều
- Giải sgk Vật lí 10 - Cánh diều
- Giải sgk Hóa học 10 - Cánh diều
- Giải sgk Sinh học 10 - Cánh diều
- Giải sgk Địa lí 10 - Cánh diều
- Giải sgk Lịch sử 10 - Cánh diều
- Giải sgk Kinh tế và Pháp luật 10 - Cánh diều
- Giải sgk Tin học 10 - Cánh diều
- Giải sgk Công nghệ 10 - Cánh diều
- Giải sgk Hoạt động trải nghiệm 10 - Cánh diều
- Giải sgk Giáo dục quốc phòng 10 - Cánh diều


Giải bài tập SGK & SBT
Tài liệu giáo viên
Sách
Khóa học
Thi online
Hỏi đáp

