Bài tập về nghiệm của phương trình bậc hai
Bài viết Bài tập về nghiệm của phương trình bậc hai với phương pháp giải chi tiết giúp học sinh ôn tập, biết cách làm bài tập về nghiệm của phương trình bậc hai.
Bài tập về nghiệm của phương trình bậc hai
(199k) Xem Khóa học Toán 10 KNTTXem Khóa học Toán 10 CDXem Khóa học Toán 10 CTST
Câu 1. Số -1 là nghiệm của phương trình nào trong các phương trình sau?
A. x2 + 4x + 2 = 0
B. 2x2 - 5x - 7 = 0
C. -3x2 + 5x - 2 = 0
D. x3 - 1 = 0
Câu 2. Nghiệm của phương trình x2 - 7x + 12 = 0 có thể xem là hoành độ giao điểm của hai đồ thị hàm số nào sau đây?
A. y = x2 và y = -7x + 12
B. y = x2 và y = -7x - 12
C. y = x2 và y = 7x + 12
D. y = x2 và y = 7x - 12
Câu 3. Nếu m ≠ 0 và n ≠ 0 là các nghiệm của phương trình x2 + mx + n = 0 thì tổng m + n bằng:
A. -1/2 B. - 1 C. 1/2 D. 1
Câu 4. Cho phương trình (√3 + 1)x2 + (2 - √5)x + √2 - √3 = 0. Hãy chọn khẳng định đúng trong các khẳng định sau:
A. Phương trình vô nghiệm
B. Phương trình có 2 nghiệm dương
C. Phương trình có 2 nghiệm trái dấu
D. Phương trình có 2 nghiệm âm
Câu 5. Hai số 1 - √2 và 1 + √2 là các nghiệm của phương trình
A. x2 – 2x – 1 = 0 B. x2 + 2x – 1 = 0 C. x2 + 2x + 1 = 0 D. x2 – 2x + 1 = 0
Câu 6. √2 và √3 là hai nghiệm của phương trình
A. x2 - (√2 - √3)x - √6 = 0
B. x2 - (√2 + √3)x + √6 = 0
C. x2 + (√2 + √3)x + √6 = 0
D. x2 - (√2 - √3)x - √6 = 0
Câu 7. Giả sử phương trình x2 - 3x - m = 0 (m là tham số) có hai nghiệm là x1, x2. Tính giá trị biểu thức P = x12(1 - x2) + x22(1 - x1) theo m
A. P = -m + 9 B. P = 5m + 9 C. P = m + 9 D. P = -5m + 9
Câu 8. Cho hai phương trình x2 - 2mx + 1 = 0 và x2- 2x + m = 0. Có hai giá trị của m để phương trình này có một nghiệm là nghịch đảo của một nghiệm của phương trình kia. Tính tổng S của hai giá trị m đó
A. S = -5/4 B. S = 1 C. S = -1/4 D. S = 1/4
Câu 9. Cho phương trình x2 + px + q = 0, trong đó p > 0, q > 0. Nếu hiệu các nghiệm của phương trình là 1. Thế thì p bằng:
A. √(4q + 1) B. √(4q - 1) C. -√(4q + 1) D. Đáp số khác
Câu 10. Nếu a, b, c, d là các số khác 0, biết c và d là nghiệm của phương trình x2 + ax + b = 0 và a, b là nghiệm của phương trình x2 + cx + d = 0. Thế thì a + b + c + d bằng:
A. -2 B. 0 C. (-1 + √5)/2 D. 2
Câu 11. Biết rằng phương trình x2 - 4x + m + 1 = 0 có một nghiệm bằng 3. Nghiệm còn lại của phương trình bằng:
A. -1 B. 1 C. 2 D. 4
Câu 12. Có bao nhiêu giá trị của a để hai phương trình: x2 + ax + 1 = 0 và x2 – x – a = 0 có một nghiệm chung ?
A. 0 B. vô số C. 3 D. 1
Câu 13. Cho phương trình: x2 – 2a(x – 1) – 1 = 0. Khi tổng các nghiệm và tổng bình phương các nghiệm của phương trình bằng nhau thì giá trị của tham số a bằng
A. a = 1/2 hay a = 1
B. a = –1/2 hay a = –1
C. a = 3/2 hay a = 2
D. a = –3/2 hay a = –2
Câu 14. Giả sử x1 và x2 là hai nghiệm của phương trình: x2 + 3x – 10 = 0. Giá trị của tổng 1/x1 + 1/x2 là
A. 10/3 B. – 3/10 C. 3/10 D. – 10/3
Câu 15. Nếu biết các nghiệm của phương trình: x2 + px + q = 0 là lập phương các nghiệm của phương trình x2+mx+n=0. Khi đó
A. p + q = m3 B. p = m3 + 3mn C. p = m3 - 3mn D. Đáp số khác
Câu 16. Gọi x1, x2 là 2 nghiệm của phương trình 2x2 – 4x – 1 = 0. Khi đó, giá trị của T = |x1 - x2| là:
A. √2 B. 2 C. √6 D. 4
Câu 17. Gọi x1, x2 là các nghiệm của phương trình x2 – 3x – 1 = 0. Ta có tổng x12 + x22 bằng:
A. 8 B. 9 C. 10 D. 11.
Câu 18. Gọi x1, x2 là hai nghiệm của phương trình x2 - mx + m - 1 = 0 (m là tham số). Tìm giá trị nhỏ nhất Pmin của biểu thức
A. Pmin = -2 B. Pmin = -1/2 C. Pmin = 0 D. Pmin = 1
Câu 19. Gọi x1, x2 là hai nghiệm của phương trình x2 - 2(m-1)x + 2m2 - 3m + 1 = 0 (m là tham số). Tìm giá trị lớn nhất Pmax của biểu thức P = |x1 + x2 + x1x2|
A. Pmax = 1/4 B. Pmax = 1 C. Pmax = 9/8 D. Pmax = 9/16
Câu 20. Gọi x1, x2 là hai nghiệm của phương trình 2x2 + 2mx + m2 - 2 = 0 (m là tham số). Tìm giá trị lớn nhất Pmax của biểu thức P = |2x1x2 + x1 + x2 - 4|
A. Pmax = 4 B. Pmax = 2 C. Pmax = 25/4 D. Pmax = 9/4
Đáp án và hướng dẫn giải
| Câu | 1 | 2 | 3 | 4 | 5 | 6 | 7 | 8 | 9 | 10 |
| Đáp án | B | D | B | C | A | B | B | C | A | A |
| Câu | 11 | 12 | 13 | 14 | 15 | 16 | 17 | 18 | 19 | 20 |
| Đáp án | B | D | A | C | C | C | D | B | C | C |
Câu 1. Chọn B
Xét các đáp án:
- Đáp án A. Ta có (-1)2 + 4.(-1) + 2 = -1 ≠ 0
- Đáp án B. Ta có 2.(-1)2 - 5.(-1) - 7 = 0
- Đáp án C. Ta có -3.(-1)2 + 5.(-1) - 2 = -10 ≠ 0
- Đáp án D. Ta có (-1)3 - 1 = -2 ≠ 0
Câu 2. Chọn D
Ta có x2 - 7x + 12 = 0 ⇔ x2 = 7x - 12. Do đó, nghiệm của phương trình đã cho có thể xem là hoành độ giao điểm của 2 đồ thị hàm số y = x2 và y = 7x - 12
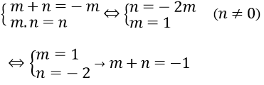
Câu 3. Chọn B
Theo hệ thức Viet, ta có
Câu 4. Chọn C
Ta có: P = √2 - √3 < 0 nên pt có 2 nghiệm trái dấu
Câu 5. Chọn A
Ta có: ⇒ pt: x2 - Sx + P = 0 ⇒ x2 - 2x - 1 = 0
Câu 6. Chọn B
Ta có: ⇒ pt: x2 - Sx + P = 0 ⇒ x2 - (√2 + √3)x + √6 = 0
Câu 7. Chọn B
Ta có P = x12(1-x2) + x22(1 - x1) = x12 - x12.x2 + x22 - x22.x1
= x12 + x22 - x1.x2(x1 + x2) = (x1 + x2)2 - 2x1.x2 - x1.x2(x1 + x2)
Theo định lý Viet, ta có
Thay vào P, ta được P = 32 - 2(-m) - (-m).3 = 5m + 9
Câu 8. Chọn C
Gọi x0 là nghiệm của phương trình x2 - 2mx + 1 = 0. Điều kiện: x0 ≠ 0
Suy ra 1/x0 là nghiệm của phương trình x2 - 2x + m = 0
Khi đó, ta có hệ
Lấy (1) - (2), ta được x02(1 - m) - 2x0(m - 1) = 0 ⇔ (m - 1)(x02 + 2x0) = 0 ⇔
Với x0 = - 2 thay vào (1), ta được (-2)2 - 2m.(-2) + 1 = 0 ⇔ m = -5/4
Vậy tổng tất cả giá trị của m cần tìm là m1 + m2 = 1 - 5/4 = -1/4
Câu 9. Chọn A
Gọi x1, x2 là nghiệm của x2 + px + q = 0 khi đó
Ta có
Câu 10. Chọn A
Vì c, d là hai nghiệm của phương trình x2 + ax + b = 0 suy ra c + d = -a
Vì a, b là hai nghiệm của phương trình x2 + cx + d = 0 suy ra a + b = -c
Khi đó, ta có hệ
Lại có
Với a = -c thì từ c + d = -a → d = 0: mâu thuẫn giả thiết
Với a = c thì từ c + d = -a → d = -2c và từ a + b = -c ⇒ b = -2c
Ta có
Khi đó S = a + b + c + d = c - 2c + c - 2c = -2c = -2.1 = -2
Câu 11. Chọn B
Vì phương trình đã cho có nghiệm bằng 3 nên thay x = 3 vào phương trình, ta được 9 - 12 + m + 1 = 0 ⇔ m = 2
Với m = 2 phương trình trở thành x2 - 4x + 3 = 0 ⇔
Câu 12. Chọn D
Ta có:
Câu 13. Chọn A
Ta có: x2 – 2a(x – 1) – 1 = 0 ⇔
Yêu cầu bài toán x1 + x2 = x12 + x22 ⇒ x1 + x2 = (x1 + x2)2 - 2x1x2 ⇒ 2a = 4a2 - 4a + 2 ⇒
Câu 14. Chọn C
Ta có:
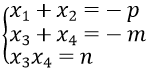
Câu 15. Chọn C
Giả sử phương trình x2 + px + q = 0 có hai nghiệm phân biệt x1, x2 và
Phương trình x2 + mx + n = 0 có hai nghiệm phân biệt x3, x4
Theo bài ra, ta có
⇔ x1 + x2 = x33 + x43 = (x3 + x4)[(x3 + x4)2 - 3x3x4] (*)
Theo hệ thức Viet, ta có, thay vào (*), ta được - p = - m(m2 - 3n)
Vậy p = m(m2 - 3n) = m3 - 3mn
Câu 16. Chọn C
Câu 17. Chọn D
Ta có: x1 + x2 = 3; x1x2 = -1 ⇒ x12 + x22 = (x1 + x2)2 - 2x1x2 = 11
Câu 18. Chọn B
Ta có Δ = m2 - 4(m - 1) = (m - 2)2 ≥ 0, với mọi m
Do đó phương trình luôn có nghiệm với mọi giá trị của m
Theo hệ thức Viet, ta có
Suy ra x12 + x22 = (x1 + x2)2 - 2x1x2 = m2 - 2(m - 1) = m2 - 2m + 2
Khi đó
Suy ra P ≥ -1/2, ∀m ∈ R. Dấu " = " xảy ra khi và chỉ khi m = -2
Câu 19. Chọn C
Ta có Δ' = (m - 1)2 - (2m2 - 3m + 1) = -m2 + m = m(1 - m)
Để phương trình có hai nghiệm ⇔ Δ' ≥ 0 ⇔ 0 ≤ m ≤ 1. (*)
Theo định lý Viet, ta có
Khi đó
Vì :
Dấu "=" xảy ra khi và chỉ khi m = 1/4 thỏa mãn (*)
Câu 20. Chọn C
Ta có Δ' = m2 - 2(m2 - 2) = -m2 + 4
Để phương trình có hai nghiệm khi và chỉ khi Δ' = 4 - m2 ≥ 0 ⇔ -2 ≤ m ≤ 2 (*)
Theo định lý Viet, ta có
Khi đó A = |2x1x2 + x1 + x2 - 4| = |m2 - m - 6| = |(m + 2)(m - 3)| = -(m + 2)(m - 3)
= -m2 + m + 6 = -(m - 1/2)2 + 25/4 ≤ 25/4 (do -2 ≤ m ≤ 2)
Dấu "=" xảy ra khi và chỉ khi m = 1/2 thỏa mãn (*)
(199k) Xem Khóa học Toán 10 KNTTXem Khóa học Toán 10 CDXem Khóa học Toán 10 CTST
Xem thêm các dạng bài tập Toán 10 có đáp án hay khác:
- Phương trình chứa ẩn trong dấu giá trị tuyệt đối
- Bài tập phương trình chứa ẩn trong dấu giá trị tuyệt đối
- Phương trình chứa ẩn ở mẫu
- Bài tập phương trình chứa ẩn ở mẫu
Để học tốt lớp 10 các môn học sách mới:
- Giải bài tập Lớp 10 Kết nối tri thức
- Giải bài tập Lớp 10 Chân trời sáng tạo
- Giải bài tập Lớp 10 Cánh diều
Tủ sách VIETJACK shopee lớp 10-11 (cả 3 bộ sách):
Đã có app VietJack trên điện thoại, giải bài tập SGK, SBT Soạn văn, Văn mẫu, Thi online, Bài giảng....miễn phí. Tải ngay ứng dụng trên Android và iOS.
Theo dõi chúng tôi miễn phí trên mạng xã hội facebook và youtube:Nếu thấy hay, hãy động viên và chia sẻ nhé! Các bình luận không phù hợp với nội quy bình luận trang web sẽ bị cấm bình luận vĩnh viễn.
- Giải Tiếng Anh 10 Global Success
- Giải Tiếng Anh 10 Friends Global
- Giải sgk Tiếng Anh 10 iLearn Smart World
- Giải sgk Tiếng Anh 10 Explore New Worlds
- Lớp 10 - Kết nối tri thức
- Soạn văn 10 (hay nhất) - KNTT
- Soạn văn 10 (ngắn nhất) - KNTT
- Soạn văn 10 (siêu ngắn) - KNTT
- Giải sgk Toán 10 - KNTT
- Giải sgk Vật lí 10 - KNTT
- Giải sgk Hóa học 10 - KNTT
- Giải sgk Sinh học 10 - KNTT
- Giải sgk Địa lí 10 - KNTT
- Giải sgk Lịch sử 10 - KNTT
- Giải sgk Kinh tế và Pháp luật 10 - KNTT
- Giải sgk Tin học 10 - KNTT
- Giải sgk Công nghệ 10 - KNTT
- Giải sgk Hoạt động trải nghiệm 10 - KNTT
- Giải sgk Giáo dục quốc phòng 10 - KNTT
- Lớp 10 - Chân trời sáng tạo
- Soạn văn 10 (hay nhất) - CTST
- Soạn văn 10 (ngắn nhất) - CTST
- Soạn văn 10 (siêu ngắn) - CTST
- Giải Toán 10 - CTST
- Giải sgk Vật lí 10 - CTST
- Giải sgk Hóa học 10 - CTST
- Giải sgk Sinh học 10 - CTST
- Giải sgk Địa lí 10 - CTST
- Giải sgk Lịch sử 10 - CTST
- Giải sgk Kinh tế và Pháp luật 10 - CTST
- Giải sgk Hoạt động trải nghiệm 10 - CTST
- Lớp 10 - Cánh diều
- Soạn văn 10 (hay nhất) - Cánh diều
- Soạn văn 10 (ngắn nhất) - Cánh diều
- Soạn văn 10 (siêu ngắn) - Cánh diều
- Giải sgk Toán 10 - Cánh diều
- Giải sgk Vật lí 10 - Cánh diều
- Giải sgk Hóa học 10 - Cánh diều
- Giải sgk Sinh học 10 - Cánh diều
- Giải sgk Địa lí 10 - Cánh diều
- Giải sgk Lịch sử 10 - Cánh diều
- Giải sgk Kinh tế và Pháp luật 10 - Cánh diều
- Giải sgk Tin học 10 - Cánh diều
- Giải sgk Công nghệ 10 - Cánh diều
- Giải sgk Hoạt động trải nghiệm 10 - Cánh diều
- Giải sgk Giáo dục quốc phòng 10 - Cánh diều


Giải bài tập SGK & SBT
Tài liệu giáo viên
Sách
Khóa học
Thi online
Hỏi đáp

