Cách xét tính đơn điệu của dãy số (cực hay có lời giải)
Bài viết Cách xét tính đơn điệu của dãy số với phương pháp giải chi tiết giúp học sinh ôn tập, biết cách làm bài tập Cách xét tính đơn điệu của dãy số.
Cách xét tính đơn điệu của dãy số (cực hay có lời giải)
(199k) Xem Khóa học Toán 11 KNTTXem Khóa học Toán 11 CDXem Khóa học Toán 11 CTST
A. Phương pháp giải
* Định nghĩa:
+ Dãy số (un) được gọi là dãy số tăng nếu với mọi n ta có un < un + 1
+ Dãy số (un) được gọi là dãy số giảm nếu với mọi n ta có: un > un+1
* Để xét tính tăng (giảm) của dãy số ta có 2 cách sau:
+ cách 1: Xét hiệu: un+1 − un
Nếu un+1 − un > 0 thì dãy số tăng.
Nếu un+1 − un < 0 thì dãy số giảm
+ Cách 2. Nếu các số hạng của dãy un > 0 với mọi n: Xét thương
Nếu T > 1 thì dãy số tăng.
Nếu T < 1 thì dãy số giảm.
B. Ví dụ minh họa
Ví dụ 1: Cho dãy số (un) với un = a . 10n ( với a hằng số).Khẳng định nào sau đây là sai?
A. Dãy số có un+1 = a . 10n+1. B. Hiệu số un+1 − uu = 10a.
C. Với a > 0 thì dãy số tăng D. Với a < 0 thì dãy số giảm.
Hướng dẫn giải:
+Ta có: un+1 = a . 10n + 1
+ Xét hiệu: un+1 − un = a . 10n+1 − a . 10n = a . 10n (10 − 1) = 9a . 10n.
+ Nếu a > 0 thì un + 1 − un > 0 nên dãy số tăng.
Và nếu a < 0 thì un + 1 − un < 0 nên dãy số giảm.
=> B sai
Chọn B.
Ví dụ 2: Cho dãy số (un) với
(a là hằng số) . Khẳng định nào sau đây là đúng?
Hướng dẫn giải:
+ Ta có:
+ Xét hiệu:
Nếu a > 0 thì un + 1 − un < 0 => Dãy số giảm
Nếu a < 0 thì un+1 − un > 0 => dãy số tăng
Do chưa biết dấu của a nên ta chưa thể kết luận tính tăng; giảm của dãy số.
Chọn D.
Ví dụ 3: Cho dãy số (un) với
(k là hằng số). Khẳng định nào sau đây là sai?
Hướng dẫn giải:
+ Số hạng thứ 4 của dãy số là
+ Số hạng thứ n + 1 của dãy số là
+ Xét hiệu:
=> Nếu k > 0 thì T < 0 nên dãy số giảm
Nếu k < 0 thì T > 0 nên dãy số tăng
=> B sai.
Chọn B.
Ví dụ 4: Cho dãy số (un) với
. Khẳng định nào sau đây là sai?
Hướng dẫn giải:
+ Số hạng thứ 9 của dãy số là:
+ Số hạng thứ 10 của dãy số là:
+ Số hạng thứ 5 của dãy số là:
+ Dãy un là một dãy đan dấu nên đây là dãy số không tăng; không giảm
=> C sai.
Chọn C.
Ví dụ 5: Cho dãy số (un) có un = −n2 + n + 1. Khẳng định nào sau đây là đúng?
A. 5 số hạng đầu của dãy là −1; 1; −5; −11; −19.
B. Số hạng thứ n+1 là: un+1 = − n2 + n + 2.
C. Số hạng thứ 10 của dãy số là : u10 = 89
D. Là một dãy số giảm.
Hướng dẫn giải:
Ta xét các phương án:
+ 5 số hạng đầu tiên của dãy số là: 1; −1; −5; −11; −19
+ Số hạng thứ n+ 1 của dãy số là un + 1 = −(n+1)2 + (n+1) + 1 = −n2 − n + 1
+ Số hạng thứ 10 của dãy số là : u10 = −89
+ Xét hiệu T = un+1 − un = (−n2 − n + 1) − (−n2 + n + 1)= −2n < 0 với ∀n ≥ 1
Do đó (un) là một dãy giảm.
Chọn D.
Ví dụ 6: Cho dãy số (un) với
. Khẳng định nào sau đây là sai?
Hướng dẫn giải:
+ Ta có:
+ Xét hiệu
=> un+1 > un và dãy số đã cho là dãy số tăng.
=> B sai.
Chọn B.
Ví dụ 7: Xét tính tăng; giảm của dãy số (un) biết
A. Dãy số giảm B. Dãy số tăng
C. Dãy số không tăng; không giảm D. Đáp án khác
Hướng dẫn giải:
Số hạng thứ n+1 là
+ Xét hiệu:
∀n ∈ N*
=> Dãy số (un) là dãy số giảm.
Chọn A.
Ví dụ 8: Chọn mệnh đề sai. Cho dãy số (un) xác định bởi
Hướng dẫn giải:
Ta có:
Chọn C.
Ví dụ 9: Cho dãy số (un) xác định bởi: un = (−1)n . (2n + 1). Tìm mệnh đề sai.
A. u1 = −3
B. u2 = 5
C. Dãy số giảm
D. Dãy số không tăng; không giảm
Hướng dẫn giải:
Ta có: u1 = −3; u2 = 5; u3 = −9
Từ đó suy ra dãy số (un) là dãy số không tăng; không giảm.
=> C sai.
Chọn C.
C. Bài tập trắc nghiệm
Câu 1: Cho dãy số (un) xác định bởi
. Tìm mệnh đề sai?
Lời giải:
Đáp án: C
+ Do n ∈ N* nên un > 0 với mọi n .
Xét tỉ số:
=> un < un + 1
=> Dãy số (un) là một dãy số tăng.
=> C sai
Câu 2: Cho dãy số (un) xác định bởi un> = 2n − √(4n2 − 1). Tìm mệnh đề sai?
Lời giải:
Đáp án: B
+ Ta có:
=> un > 0 với mọi n ∈ N*.
+ Lại có: un+1 = 2n+2 − √(4(n+1)2 − 1)
+ Xét hiệu:
∀n ∈ N*
Vì:
Vậy: dãy số (un) giảm.
=> B sai
Câu 3: Cho dãy số (un) xác định bởi:
. Chọn mệnh đề sai.
A. Dãy số tăng.
B. Dãy số giảm
C. Số hạng thứ 2 là u2 = √7.
D. un > 1 với mọi n.
Lời giải:
Đáp án: B
+ Ta có: u2 = √(2u1 + 3) = √7 > u1
+ Ta dự đoán un+1 > un (*) với mọi n ≥ 1. Ta chứng minh (*) bằng phương pháp quy nạp.
Ta có (*) đúng với n = 1
Giả sử ta có: uk > uk − 1 với k ≥ 2. Khi đó ta có:
uk+1 = √(2uk + 3) > √(2uk−1 + 3) = uk (do uk > uk − 1 )
Suy ra (*) đúng với mọi n ∈ N*.
Vậy (un) là dãy số tăng.
=> B sai.
Câu 4: Cho dãy số (un) xác định bởi:
. Chọn mệnh đề sai.
A. Số hạng thứ hai u2 = 1.
B. Dãy số (un) giảm.
C. Dãy số (un) tăng.
D. Các số hạng của dãy luôn dương.
Lời giải:
Đáp án: C
* Từ hệ thức truy hồi đã cho ; ta chứng minh un > 0 với mọi n.
Thật vậy ; u1 = 3 > 0
=> đúng với n = 1.
Giả sử đúng với n = k và k ∈ N*; tức là uk > 0
Ta chứng minh uk+1 > 0 .
Thật vậy;
mà uk > 0 nên uk + 1 > 0.
*Ta có:
Ta dự đoán un + 1 < un (**) với mọi n ∈ N*.
Ta có (**) đúng khi n = 1. Giả sử có uk < uk-1
Khi đó
Vì uk < uk−1 nên
Suy ra (**) đúng với mọi n.
Vậy (un) là dãy số giảm.
=> C sai .
Câu 5: Cho a dãy số (un) xác định bởi : un = 2n3 − 5n + 1. Tìm mệnh đề đúng
A. Dãy số tăng.
B.Dãy số giảm.
C.Số hạng thứ n+1 là un + 1 = 2(n+1)3 − 5n + 1
D. Dãy số không tăng không giảm.
Lời giải:
Đáp án: A
Dãy số (un) với un = 2n3 − 5n + 1
Với mỗi n, ta có: un+1 − un = [2.(n+1)3 − 5(n+1)+ 1] − (2n3 − 5n+1)
= 2n3 + 6n2 + 6n+ 2- 5n – 5+ 1 – 2n3 + 5n – 1
= 6n2 + 6n – 3= 6n2 + 3n+ (3n- 3)> 0 đúng do n≥1
Vì thế dãy số (un) là một dãy số tăng.
=> A đúng.
Chọn A.
Câu 6: Cho dãy số (un) xác định bởi un = 3n − n và dãy số (vn) xác định bởi
. Tìm mệnh đề đúng ?
A. Dãy số (un) và (vn) là hai số tăng.
B. Dãy số (un) và (vn) là hai dãy số giảm.
C.Dãy số (un) tăng và dãy số (vn) là giảm
D.Dãy số (un) giảm và dãy số (vn) là tăng.
Lời giải:
Đáp án: C
* Xét dãy số (un) với un = 3n − n.
Với mỗi n ∈ N*, ta có: un+1 − un = [ 3n+1 − (n + 1)] − (3n − n)
= 3 . 3n − n − 1 − 3n + n= 2 . 3n − 1 > 0 vì n ∈ N*
=> Dãy số (un) là dãy số tăng.
* Xét dãy số (vn) với
.
Với mỗi n ∈ N* ta có:
Vì (−n2 − n + 1) < 0 với ∀n ≥ 1, và [(n+1)2 + 1] . (n2 + 1) > 0
Kết luận: dãy số (vn) là một dãy số giảm.
Câu 7: Cho dãy số (un ) với
và dãy số (vn ) với
. Tìm mệnh đề đúng ?
A. Dãy số (un) tăng ; dãy số (vn) giảm.
B.Dãy số (un)giảm ; dãy số (vn) tăng.
C. Dãy số (un) và (vn) đều giảm.
D. Dãy số (un) và (vn) đều tăng.
Lời giải:
Đáp án: B
* Xét dãy số (un) với
Dễ thấy un >0 với mọi n. Xét tỉ số
Ta có:
Thật vậy:
( luôn đúng với n ≥ 1)
Kết luận: (un) là một dãy số giảm.
* Xét dãy số (vn) với
Ta có:
Với mọi n ∈ N* ta có:
Kết luận (vn) là dãy số tăng.
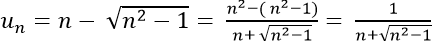
Câu 8: Dãy số (un) với un = n − √(n2 − 1) và dãy số
. Chọn mệnh đề đúng
A. Cả hai dãy số giảm.
B. Cả hai dãy số tăng.
C. Dãy số (un) tăng và (vn) giảm.
D. Dãy số (un) giảm và (vn ) tăng.
Lời giải:
Đáp án: B
* Xét dãy số (un) với un = n − √(n2 − 1)
Ta có:
Dễ dàng ta có:
hay un + 1 < un
Từ đó suy ra dãy số (un) là dãy số giảm.
* Xét dãy số (vn) với
Ta có:
Dễ dàng ta có:
Vậy dãy số (vn) là dãy số giảm.
Câu 9: Xét tính tăng giảm của các dãy số sau:
A. Dãy số tăng B. Dãy số giảm
C. Dãy số không tăng không giảm D. Cả A, B, C đều sai
Lời giải:
Đáp án: A
Ta có:
Với ∀n ∈ N* ta có:
nên un+1 − un > 0
=> dãy (un) là dãy tăng.
Câu 10: Cho dãy số (un) với
. Tìm a để dãy số đã cho là dãy số tăng.
A.a < 2 B. a > −2 C. a < 4 D. a < −4
Lời giải:
Đáp án: D
Ta có dãy số (un) tăng khi và chỉ khi: un+1 − un > 0
Với n ∈ N* thì (2n+1) > 0 và (2n − 1) < 0 nên (*) chỉ xảy ra khi và chỉ khi: −a − 4 > 0 ⇔ a < −4
Câu 11: Cho dãy số (un) xác định bởi :
.Tìm a để dãy số (un) tăng.
Lời giải:
Đáp án: C
Ta có:
Mà:
Nên (un) tăng ⇔ un+1 − un > 0 ⇔ 4 − 5a < 0
D. Bài tập tự luyện
Bài 1. Xét tính tăng, giảm của dãy số un = .
Bài 2. Xét tính tăng, giảm của dãy số un = .
Bài 3. Xét tính tăng, giảm của dãy số un = .
Bài 4. Xét tính tăng, giảm và bị chặn của dãy số un .
Bài 5. Xét tính tăng, giảm và bị chặn của dãy số un .
(199k) Xem Khóa học Toán 11 KNTTXem Khóa học Toán 11 CDXem Khóa học Toán 11 CTST
Xem thêm các dạng bài tập Toán lớp 11 có trong đề thi THPT Quốc gia khác:
- Cách chứng minh bằng phương pháp quy nạp (cực hay có lời giải)
- Cách tìm số hạng thứ n của dãy số (cực hay có lời giải)
- Cách tìm công thức của số hạng tổng quát (cực hay có lời giải)
- Cách xét tính bị chặn của dãy số (cực hay có lời giải)
- Cách chứng minh một dãy số là cấp số cộng (cực hay có lời giải)
- Cách tìm số hạng đầu tiên, công sai, số hạng thứ k của cấp số cộng cực hay
Tủ sách VIETJACK shopee lớp 10-11 (cả 3 bộ sách):
Đã có app VietJack trên điện thoại, giải bài tập SGK, SBT Soạn văn, Văn mẫu, Thi online, Bài giảng....miễn phí. Tải ngay ứng dụng trên Android và iOS.
Theo dõi chúng tôi miễn phí trên mạng xã hội facebook và youtube:Nếu thấy hay, hãy động viên và chia sẻ nhé! Các bình luận không phù hợp với nội quy bình luận trang web sẽ bị cấm bình luận vĩnh viễn.
- Giải Tiếng Anh 11 Global Success
- Giải sgk Tiếng Anh 11 Smart World
- Giải sgk Tiếng Anh 11 Friends Global
- Lớp 11 - Kết nối tri thức
- Soạn văn 11 (hay nhất) - KNTT
- Soạn văn 11 (ngắn nhất) - KNTT
- Giải sgk Toán 11 - KNTT
- Giải sgk Vật Lí 11 - KNTT
- Giải sgk Hóa học 11 - KNTT
- Giải sgk Sinh học 11 - KNTT
- Giải sgk Lịch Sử 11 - KNTT
- Giải sgk Địa Lí 11 - KNTT
- Giải sgk Giáo dục KTPL 11 - KNTT
- Giải sgk Tin học 11 - KNTT
- Giải sgk Công nghệ 11 - KNTT
- Giải sgk Hoạt động trải nghiệm 11 - KNTT
- Giải sgk Giáo dục quốc phòng 11 - KNTT
- Giải sgk Âm nhạc 11 - KNTT
- Lớp 11 - Chân trời sáng tạo
- Soạn văn 11 (hay nhất) - CTST
- Soạn văn 11 (ngắn nhất) - CTST
- Giải sgk Toán 11 - CTST
- Giải sgk Vật Lí 11 - CTST
- Giải sgk Hóa học 11 - CTST
- Giải sgk Sinh học 11 - CTST
- Giải sgk Lịch Sử 11 - CTST
- Giải sgk Địa Lí 11 - CTST
- Giải sgk Giáo dục KTPL 11 - CTST
- Giải sgk Hoạt động trải nghiệm 11 - CTST
- Giải sgk Âm nhạc 11 - CTST
- Lớp 11 - Cánh diều
- Soạn văn 11 Cánh diều (hay nhất)
- Soạn văn 11 Cánh diều (ngắn nhất)
- Giải sgk Toán 11 - Cánh diều
- Giải sgk Vật Lí 11 - Cánh diều
- Giải sgk Hóa học 11 - Cánh diều
- Giải sgk Sinh học 11 - Cánh diều
- Giải sgk Lịch Sử 11 - Cánh diều
- Giải sgk Địa Lí 11 - Cánh diều
- Giải sgk Giáo dục KTPL 11 - Cánh diều
- Giải sgk Tin học 11 - Cánh diều
- Giải sgk Công nghệ 11 - Cánh diều
- Giải sgk Hoạt động trải nghiệm 11 - Cánh diều
- Giải sgk Giáo dục quốc phòng 11 - Cánh diều
- Giải sgk Âm nhạc 11 - Cánh diều


Giải bài tập SGK & SBT
Tài liệu giáo viên
Sách
Khóa học
Thi online
Hỏi đáp

