Cách tìm số hạng đầu tiên, công sai, số hạng thứ k của cấp số cộng cực hay
Bài viết Cách tìm số hạng đầu tiên, công sai, số hạng thứ k của cấp số cộng với phương pháp giải chi tiết giúp học sinh ôn tập, biết cách làm bài tập Cách tìm số hạng đầu tiên, công sai, số hạng thứ k của cấp số cộng.
- Cách giải bài tập tìm số hạng đầu tiên, công sai, số hạng thứ k của cấp số cộng
- Ví dụ minh họa bài tập tìm số hạng đầu tiên, công sai, số hạng thứ k của cấp số cộng
- Bài tập trắc nghiệm tìm số hạng đầu tiên, công sai, số hạng thứ k của cấp số cộng
- Bài tập tự luyện tìm số hạng đầu tiên, công sai, số hạng thứ k của cấp số cộng
Cách tìm số hạng đầu tiên, công sai, số hạng thứ k của cấp số cộng cực hay
(199k) Xem Khóa học Toán 11 KNTTXem Khóa học Toán 11 CDXem Khóa học Toán 11 CTST
A. Phương pháp giải
+ Dãy số (un) là cấp số cộng khi và chỉ khi un+1 − un = d không phụ thuộc vào n và d là công sai.
+ Cho cấp số cộng có số hạng đầu là u1; công sai d. Khi đó; số hạng thứ n của cấp số cộng là: un = u1 + (n−1)d
+ Nếu biết số hạng thứ n và thứ m của dãy ta suy ra:
Giải hệ phương trình trên ta được u1 và công sai d.
B. Ví dụ minh họa
Ví dụ 1: Cho một cấp số cộng có u1 = −1 và u5 = 11. Tìm công sai của cấp số cộng ?
A. d= 3 B. d= 5 C. d= 4 D. d= 2
Hướng dẫn giải:
Ta có: u5 = u1 + (5−1)d
=> 11 = − 1 + 4d ⇔ d= 3
Chọn A.
Ví dụ 2: Cho một cấp số cộng có u1 = 10; u7 = −8. Tìm d?
A. d= −2 B. d = −3 C. d = 2 D.d = 3
Hướng dẫn giải:
Ta có: u7 = u1 +(7−1)d
=> −8 = 10 + 6d
⇔ −18 = 6d nên d = −3
Chọn B.
Ví dụ 3: Cho cấp số cộng (un) có u1 = 0,4 và công sai d = 1. Số hạng thứ 10 của cấp số cộng này là:
A. 1,6 B. 1,4 C. 10,4 D. 9,4
Hướng dẫn giải:
Số hạng tổng quát của cấp số cộng (un) là: un = u1 + (n − 1) d
=>số hạng thứ 10 của cấp số cộng là:
u10 = 0,4 +(10 − 1) . 1 = 9,4
Chọn D.
Ví dụ 4: Cho cấp số cộng (un) có u1 = −2 và công sai d = 3. Hỏi có bao nhiêu số hạng của cấp số thỏa mãn un < 11.
A.3 B. 4 C.5 D.6
Hướng dẫn giải:
Cấp số cộng có u1 = −2 và công sai d = 3 nên số hạng tổng quát của cấp số cộng là:
un = u1 + (n − 1) . d = −2 + 3(n − 1) = 3n − 5
Để un < 11 thì 3n − 5 < 11
Mà n nguyên dương nên n ∈ { 1,2,3,4,5}
Vậy có 5 số hạng của cấp số cộng thỏa mãn điều kiện
Chọn C.
Ví dụ 5: Viết ba số xen giữa các số 2 và 22 để được cấp số cộng có 5 số hạng. Tính tổng của ba số hạng xen giữa đó.
A. 36 B.28 C. 32 D.30
Hướng dẫn giải:
Khi viết ba số xen giữa hai số 2 và 22 để được cấp số cộng có 5 số hạng thì:
u1 = 2 và u5 = 22.
+ Lại có: u5 = u1 + (5 − 1) d nên 22 = 2 + 4d
⇔ 20 = 4d ⇔ d= 5
+Suy ra: u2 = u1 + d = 2 + 5= 7
u3 = u1 + 2d = 2 + 2 . 5 = 12
Và u4 = u1 + 3d = 2 + 3 . 5 = 17
=> u2 + u3 +u4 = 7 + 12 + 17 = 36
Chọn A.
Ví dụ 6: Cho dãy số (un) với un = 7 − 2n. Khẳng định nào sau đây là sai?
A. 3 số hạng đầu của dãy u1 = 5; u2 = 3 và u3 = 1.
B. Số hạng thứ n + 1 là un+1 = 8 − 2n.
C. Là cấp số cộng có d = −2.
D. Số hạng thứ 4: u4 = −1.
Hướng dẫn giải:
* Ta có:
=> đáp án A, D đúng.
*Số hạng thứ n+1 là: un + 1 = 7 − 2(n+1) = 5 − 2n
=> B sai.
* Xét hiệu: un+1 − un = (5−2n) − (7 − 2n)= −2
=> (un) là cấp số cộng với công sai d = −2.
=> C đúng.
Ví dụ 7: Cho cấp số cộng (un) có u3 = −15 và u14 = 18. Tìm u1, d của cấp số cộng?
A. u1 = −21; d = 3 B. u1 = −20; d = 2
C. u1 = −21; d = −3 D. u1 = −20 ; d = −2
Hướng dẫn giải:
Ta có:
Từ giả thiết suy ra:
Chọn A.
Ví dụ 8: Cho cấp số cộng ( un) thỏa mãn :
. Tìm số hạng thứ 10 của cấp số.
A. 39 B.27
C. 36 D.42
Hướng dẫn giải:
Theo giả thiết ta có:
=> Số hạng thứ 10 của cấp số cộng là :
u10 = u1 + 9d = 3 + 9 . 4 = 39
Chọn A.
Ví dụ 9: Cho cấp số cộng (un) thỏa mãn :
. Hỏi 301 là số hạng thứ bao nhiêu của cấp số cộng.
A.99 B.100
C.101 D.103
Hướng dẫn giải:
Theo giả thiết ta có:
Ta có : 301 = 1 + (n − 1) . 3 ⇔ 300 = 3(n-1)
⇔ n − 1 = 100 ⇔ n = 101
Vậy 301 là số hạng thứ 101 của cấp số cộng.
Chọn C.
Ví dụ 10: Cho cấp số cộng (un) thỏa mãn
. Tìm số hạng thứ 6 của cấp số cộng ?
A.8 B.10
C. 6 D. 12
Hướng dẫn giải:
Theo giả thiết ta có :
Từ (1) suy ra : u1 = 8 − 5d thay vào (2) ta được :
Với
Số hạng thứ 6 là:
Với d = 2 => u1 = −2
Số hạng thứ 6: u6 = −2 + 5 . 2 = 8
Chọn A.
Ví dụ 11: Cho cấp số cộng (un) thỏa mãn điều kiện:
. Tìm công sai của cấp số cộng đã cho.
A.d = ±1 B.d = ±2 C .d = ±3 D. d = ±4
Hướng dẫn giải:
Theo đề bài ta có:
Từ (1) suy ra: u1 + 2d = 4 ⇔ u1 = 4 − 2d thế vào (2) ta được:
* Với d = 3 => u1 = 4 − 6 = −2
* Với d = −3 => u1 = 4 + 6 = 10
Chọn C.
C. Bài tập trắc nghiệm
Câu 1: Cho cấp số cộng (un) có u4 = −20; u19 = 55 . Tìm u1, d của cấp số cộng?
A. u1 = −35; d = 5 B. u1 = −35; d = −5
C. u1 = 35; d = 5 D. u1 = 35; d = −5
Lời giải:
Đáp án: A
Ta có:
Từ giả thiết suy ra:
Câu 2: Cho (un) là cấp số cộng thỏa mãn :
. Tìm số hạng thứ 2 của cấp số cộng.
A.6 B.7
C .8 D. 9
Lời giải:
Đáp án: B
Theo giả thiết ta có:
=> Số hạng thứ hai của cấp số cộng là:
u2 = u1 + d = 3 + 4 = 7
Câu 3: Cho (un) là cấp số cộng thỏa mãn :
. Tìm số hạng thứ 20 của cấp số cộng.
A.67 B.75
C. 87 D. 91
Lời giải:
Đáp án: C
Theo giả thiết ta có:
Số hạng thứ 20 của cấp số cộng là: u20 = u1 + 19d = 87
Câu 4: Tìm ba số hạng liên tiếp của một cấp số cộng biết tổng của chúng bằng −9 và tổng các bình phương của chúng bằng 29.
A. 0 ; −3 ; −6 B. −2 ; −3 ; −4
C. −1; −2 ; −3 D. −3 ; −2 ; −1
Lời giải:
Đáp án: B
Gọi ba số hạng của cấp số cộng là a − 2d; a ; a + 2d
Theo giả thiết ta có :
+ Nếu
thì ba số hạng cần tìm là : −4 ; −3 ; −2.
+ Nếu
thì ba số hạng cần tìm là : −2 ; −3 ; −4.
Câu 5: Cho cấp số cộng (un) thỏa mãn
. Tìm u1 ;d biết u1 > 0
A. u1 = 3; d= 1 B. u1 = 3; d = 2
C. u1 = 2; d = 3 D. u1 = 2; d = −3
Lời giải:
Đáp án: B
Theo giả thiết
Vậy u1 = 3 và d = 2.
Câu 6: Cho cấp số cộng (un) có công sai d > 0 và
. Hãy tìm số hạng tổng quát của cấp số cộng đó.
A. un = 3n − 9 B. un = 3n − 42
C. un = 3n − 67 D. un = 3n − 92
Lời giải:
Đáp án: D
Ta có:
Từ (1) suy ra : u31 = 11 − u34 thế vào (2) ta được:
+ Mà công sai d > 0 nên u34 > u31
=> u34 = 10 và u31 = 1
Suy ra:
Vậy số hạng tổng quát của dãy số là :
un = u1 + (n-1)d= −89 + 3(n-1) = 3n - 92
Câu 7: Cho cấp số cộng (un) có u2 + u3 = 20; u5 + u7 = −29 . Tìm u1 ; d?
A. u1 = 20; d = 7 B. u1 = 20;d = 7
C. u1 = 20,5; d = −7 D. u1 = −20,5; d= 7
Lời giải:
Đáp án: C
Áp dụng công thức un = u1 + (n - 1)d ta có:
Câu 8: Tam giác ABC có ba góc A, B, C theo thứ tự đó lập thành cấp số cộng và C = 5A. Tính tổng số đo của góc có số đo lớn nhất và góc có số đo nhỏ nhất.
A. 1400 B. 1200
C. 1350 D. 1500
Lời giải:
Đáp án: B
Do số đo ba góc A ; B ; C theo thứ tự lập thành cấp số cộng nên: A + C = 2B.
Tổng số đo ba góc trong một tam giác bằng 1800 nên : A + B + C = 180
Từ giả thiết bài toán ta có hệ phương trình :
Suy ra ; tổng số đo góc lớn nhất và góc nhỏ nhất là 1200
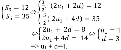
Câu 9: Cho (un) là cấp số cộng thỏa mãn :
. Tính tổng của số hạng đầu tiên và công sai d ?
A. 3 B. 4
C. 5 D .6
Lời giải:
Đáp án: B
Theo giả thiết ta có :
Câu 10: Cho (un) là cấp số cộng, u1; u2; u3 là 3 số hạng của cấp số cộng thỏa mãn:
. Tìm tích 3 số đó?
A.15 B. 20
C. 21 D. 18
Lời giải:
Đáp án: A
Gọi 3 số cần tìm là: u1 = a − d; u2 = a; u3 = a + d
Theo giả thiết ta có:
Với d = 2 thì 3 số cần tìm là 1; 3; 5
Với d = −2 thì 3 số cần tìm là 5; 3; 1.
Trong cả 2 trường hợp thì tích của 3 số đó là 15
Câu 11: Cho dãy số (un) là cấp số cộng thỏa mãn:
Tính số hạng thứ 4 của cấp số cộng.
A.3 hoặc −1 B. 2 hoặc −2.
C.2 hoặc −3 D. −2 hoặc 1.
Lời giải:
Đáp án: A
Theo giả thiết ta có:
Từ (1) suy ra : 2u1 + 4d = 2 ⇔ u1 + 2d = 1 ⇔ u1 = 1 − 2d thay vào (2) ta được:
Đặt t= d2 khi đó phương trình (*) trở thành:
+ Với t = 4 => d2 = 4 ⇔ d = ±2
* Với d = 2 => u1 = −3. Khi đó u4 = u1 + 3d = 3.
* Với d = −2 => u1 = 5. Khi đó u4 = u1 + 3d = −1.
Vậy số hạng thứ 4 của cấp số cộng là 3 hoặc −1 .
Câu 12: Cho 2 cấp số cộng : 5 ;8 ;11 ; .....và 3 ;7 ;11,.... Hỏi trong 100 số hạng đầu tiên của mỗi cấp số ; có bao nhiêu số hạng chung ?
A. 23 B. 24
C. 25 D. Tất cả sai
Lời giải:
Đáp án: C
Giả sử un là số hạng thứ n của cấp số cộng thứ nhất: un = 5 + 3(n − 1) và vm = 3 + (m − 1) . 4 là số hạng thứ m của cấp số cộng thứ 2.
un = vm khi và chỉ khi:
Đặt
Vì m; n không lớn hơn 100 nên:
Kết hợp với t là số nguyên dương nên
Tương ứng với 25 giá trị của t ta được 25 số hạng chung của 2 dãy (un); (vm) .
D. Bài tập tự luyện
Bài 1. Cho cấp số cộng có u1 = -3; u10 = 24. Tìm công sai d?
Bài 2. Cho cấp số cộng (un) với un = 2n + 5.
a) Tìm u1 và d.
b) Tính tổng 40 số hạng đầu tiên.
c) Biết Sn = 187, tìm n.
Bài 3. Tìm công sai của cấp số cộng thỏa mãn: .
Bài 4. Tìm công sai của cấp số cộng sau, biết: .
Bài 5. Tìm số hạng u1 và công sai d của cấp số cộng sau, biết:
Bài 6. Tìm số hạng đầu u1 và công sai d của cấp số cộng (un), biết: .
Bài 7. Tìm số hạng đầu u1 và công sai d của cấp số cộng (un), biết: .
Bài 8. Tìm số hạng đầu u1 và công sai d của cấp số cộng (un), biết: Sn = 5n2 + 3n.
Bài 9. Tìm số hạng đầu và công sai của cấp số cộng biết: S4 = 38, S7 = 119 trong đó Sn là tổng của n số hạng.
Bài 10. Cho biết số hạng đầu u1 và công sai d của cấp số cộng dưới đây:
a) 1, 3, 5, 7, 9, 11, 13.
b) 14, 12, 10, 8, 6, 4, 2, 0.
Bài 11. Tìm công sai của các cấp số cộng sau:
a) 2, 4, 6, 8, 10, 12.
b) -9, -7, -5, -3, -1, 1, 3, 5, 7, 9.
Bài 12. Cho cấp số cộng (un) có u1 = -3, u6 = 27. Tính công sai d.
Bài 13. Cho cấp số cộng (un) có u1 = -3, u10 = 24. Tính công sai d.
Bài 14. Cho cấp số cộng (un) với:
Tìm công sai d của cấp số cộng trên?
Bài 15. Cho cấp số cộng có các số hạng lần lượt là -4, 1, 6, x. Giá trị của x bằng bao nhiêu và tính công sai của cấp số cộng đã cho.
Bài 16. Xác định số hạng đầu u1 và công sai d của cấp số cộng (un) có u9 = 5u12 và u13 = 2u6 + 5.
Bài 17. Cho cấp số cộng (un) có số hạng thứ 4 (u4) là -20 và số hạng thứ 19 (u19) là 55. Tìm giá trị của u1 và d.
Bài 18. Cho (un) là cấp số cộng thỏa mãn: uk = 3n - 9. Tính số hạng đầu tiên và số hạng thứ 10 của cấp số cộng.
Bài 19. Xác định số hạng đầu của cấp số cộng có công sai d là 3, số hạng cuối là 12, và có tổng bằng 30.
Bài 20. Tìm số hạng đầu u1 và công sai d của cấp số cộng (un) biết:
(199k) Xem Khóa học Toán 11 KNTTXem Khóa học Toán 11 CDXem Khóa học Toán 11 CTST
Xem thêm các dạng bài tập Toán lớp 11 có trong đề thi THPT Quốc gia khác:
- Cách chứng minh bằng phương pháp quy nạp (cực hay có lời giải)
- Cách tìm số hạng thứ n của dãy số (cực hay có lời giải)
- Cách tìm công thức của số hạng tổng quát (cực hay có lời giải)
- Cách xét tính đơn điệu của dãy số (cực hay có lời giải)
- Cách xét tính bị chặn của dãy số (cực hay có lời giải)
- Cách chứng minh một dãy số là cấp số cộng (cực hay có lời giải)
- Cách tính tổng n số hạng đầu tiên của cấp số cộng (cực hay có lời giải)
Tủ sách VIETJACK shopee lớp 10-11 (cả 3 bộ sách):
Đã có app VietJack trên điện thoại, giải bài tập SGK, SBT Soạn văn, Văn mẫu, Thi online, Bài giảng....miễn phí. Tải ngay ứng dụng trên Android và iOS.
Theo dõi chúng tôi miễn phí trên mạng xã hội facebook và youtube:Nếu thấy hay, hãy động viên và chia sẻ nhé! Các bình luận không phù hợp với nội quy bình luận trang web sẽ bị cấm bình luận vĩnh viễn.
- Giải Tiếng Anh 11 Global Success
- Giải sgk Tiếng Anh 11 Smart World
- Giải sgk Tiếng Anh 11 Friends Global
- Lớp 11 - Kết nối tri thức
- Soạn văn 11 (hay nhất) - KNTT
- Soạn văn 11 (ngắn nhất) - KNTT
- Giải sgk Toán 11 - KNTT
- Giải sgk Vật Lí 11 - KNTT
- Giải sgk Hóa học 11 - KNTT
- Giải sgk Sinh học 11 - KNTT
- Giải sgk Lịch Sử 11 - KNTT
- Giải sgk Địa Lí 11 - KNTT
- Giải sgk Giáo dục KTPL 11 - KNTT
- Giải sgk Tin học 11 - KNTT
- Giải sgk Công nghệ 11 - KNTT
- Giải sgk Hoạt động trải nghiệm 11 - KNTT
- Giải sgk Giáo dục quốc phòng 11 - KNTT
- Giải sgk Âm nhạc 11 - KNTT
- Lớp 11 - Chân trời sáng tạo
- Soạn văn 11 (hay nhất) - CTST
- Soạn văn 11 (ngắn nhất) - CTST
- Giải sgk Toán 11 - CTST
- Giải sgk Vật Lí 11 - CTST
- Giải sgk Hóa học 11 - CTST
- Giải sgk Sinh học 11 - CTST
- Giải sgk Lịch Sử 11 - CTST
- Giải sgk Địa Lí 11 - CTST
- Giải sgk Giáo dục KTPL 11 - CTST
- Giải sgk Hoạt động trải nghiệm 11 - CTST
- Giải sgk Âm nhạc 11 - CTST
- Lớp 11 - Cánh diều
- Soạn văn 11 Cánh diều (hay nhất)
- Soạn văn 11 Cánh diều (ngắn nhất)
- Giải sgk Toán 11 - Cánh diều
- Giải sgk Vật Lí 11 - Cánh diều
- Giải sgk Hóa học 11 - Cánh diều
- Giải sgk Sinh học 11 - Cánh diều
- Giải sgk Lịch Sử 11 - Cánh diều
- Giải sgk Địa Lí 11 - Cánh diều
- Giải sgk Giáo dục KTPL 11 - Cánh diều
- Giải sgk Tin học 11 - Cánh diều
- Giải sgk Công nghệ 11 - Cánh diều
- Giải sgk Hoạt động trải nghiệm 11 - Cánh diều
- Giải sgk Giáo dục quốc phòng 11 - Cánh diều
- Giải sgk Âm nhạc 11 - Cánh diều


Giải bài tập SGK & SBT
Tài liệu giáo viên
Sách
Khóa học
Thi online
Hỏi đáp

