Cách tính tổng n số hạng đầu tiên của cấp số cộng (cực hay có lời giải)
Bài viết Cách tính tổng n số hạng đầu tiên của cấp số cộng với phương pháp giải chi tiết giúp học sinh ôn tập, biết cách làm bài tập Cách tính tổng n số hạng đầu tiên của cấp số cộng.
Cách tính tổng n số hạng đầu tiên của cấp số cộng (cực hay có lời giải)
(199k) Xem Khóa học Toán 11 KNTTXem Khóa học Toán 11 CDXem Khóa học Toán 11 CTST
A. Phương pháp giải
Cho cấp số cộng (un) có số hạng đầu là u1; công sai là d. Tổng n số hạng đầu tiên của cấp số cộng là:
+ Ngoài ra; ta còn có 1 cách tính khác là:
+ Chú ý: Cho dãy số (un) là cấp số cộng có công sai d. Cho x và y là hai số hạng của cấp số cộng. Khi đó từ x đến y có số số hạng là:
B. Ví dụ minh họa
Ví dụ 1: Cho cấp số cộng (un) có u5 = −10 và u15 = 60. Tổng của 20 số hạng đầu tiên của cấp số cộng là:
A. S20 = 560 B. S20 = 480
C. S20 = 570 D. S20 = 475
Hướng dẫn giải:
Ta có:
Theo giả thiết ta có:
Tổng 20 số hạng đầu tiên của cấp số cộng là:
Chọn C.
Ví dụ 2: Cho cấp số cộng (un) thỏa mãn: . Tính tổng
S = u5 + u6 + ..+ u30
A. – 1243 B. -1235
C. – 1345 D. - 1450
Hướng dẫn giải:
* Từ giả thiết bài toán, ta có:
* Ta có: u5; u6; ...; u30 là cấp số cộng có 26 số hạng; số hạng đầu là u5 = 2 + 4.(-3) = -10; công sai d = -3
=> Tổng
Chọn B.
Ví dụ 3: Cho dãy số (un) có d = –2; S8 = 72. Tính u1 ?
A. u1 = 16 B. u1 =- 16
C. u1 = 8 D. u1 = - 4
Hướng dẫn giải:
* Ta có:
* Lại có: u8 = u1 + 7d => u8 – u1 = 7d = -14 (2)
Từ (1) và (2) ta có hệ phương trình:
Chọn A.
Ví dụ 4: Cho dãy số (un) là một cấp số cộng có u1 = -1; d = 2 và Sn= 483. Tính số các số hạng của cấp số cộng?
A. n = 20 B. n= 21
C. n= 22 D. n= 23.
Hướng dẫn giải:
Tổng của n số hạng đầu tiên của cấp số cộng là
Chọn D.
Ví dụ 5: Cho (un) là cấp số cộng thỏa mãn:
. Tính tổng của số hạng đầu và công sai của cấp số cộng.
A. 63 B. 67
C. 75 D. 81
Hướng dẫn giải:
Theo giả thiết ta có:
=> Tổng của số hạng đầu và công sai của cấp số cộng là: 86 + (−19) = 67
Chọn B.
Ví dụ 6: Cho một cấp số cộng (un) có u1 = 1 và tổng 100 số hạng đầu bằng 24850 . Tính
Hướng dẫn giải:
Gọi d là công sai của cấp số đã cho.
Ta có:
Chọn D.
Ví dụ 7: Cho cấp số cộng (un) thỏa mãn . Tìm số hạng đầu tiên của cấp số cộng .
Hướng dẫn giải:
Theo giả thiết ta có :
Từ (1) suy ra : thế vào (2) ta được
Đặt khi đó phương trình (*) trở thành:
* Với thì
Với
Với
* Với t = 1 => d2 = 1 ⇔ d= ±1
Với
Với
Vậy ứng với 4 trường hơp sẽ có 4 giá trị của u1 thỏa mãn.
Chọn D.
Ví dụ 8: Cho cấp số cộng (un) thỏa mãn: u4 + u8 + u11 + u17 = 100. Tính S19
A. 475 B. 500
C. 1000 D. 750
Hướng dẫn giải:
* Theo giả thiết ta có:
* Do đó:
Chọn A.
Ví dụ 9: Cho (un) là cấp số cộng thỏa mãn: u2 + u3 + u7 + u10 + u12 + u17 = 300. Tính u9 + u8
A. 50 B. 150
C.75 D. 100
Hướng dẫn giải:
*Theo giả thiết ta có:
u2 + u3 + u7 + u10 + u12 + u17 = 300
⇔ u1 + d + u1 + 2d + u1 + 6d + u1 + 9d + u1 +11d+ u1 + 16d = 300
⇔ 6u1 + 45d = 300 ⇔ 2u1 + 15d = 100
* Do đó;
Chọn D.
Ví dụ 10: Cho (un) là cấp số cộng và Sm = Sn với m ≠ n.Tính Sm+n
A. 0 B. Sm − Sn
C. Sn − Sm D. Sn + Sm
Hướng dẫn giải:
* Ta có:
Do Sm = Sn với m ≠ n nên ta có:
* Ta có: (do (*)
Chọn A.
Ví dụ 11: Tính tổng sau: S = 2 + 4 + 6 + ...+ (2n − 2) + 2n
Hướng dẫn giải:
Ta có dãy số 2, 4, 6,.., 2n − 2, 2n là cấp số cộng với công sai d = 2 và u1 = 2, số hạng tổng quát un= 2 + 2(n-1) = 2n. Dãy số này có n số hạng.
Chọn B.
Ví dụ 12: Gọi Khi đó S20 có giá trị là
A. 34 B. 30,5
C. 325 D. 32,5
Hướng dẫn giải:
Có
Chọn D
Ví dụ 13: Cho cấp số cộng (un) có công sai d = 1 và u22 − 2u32 − u42 đạt giá trị lớn nhất. Tính tổng S20 của 20 số hạng đầu tiên của cấp số cộng đó.
A.120 B. 125
C.130 D.135
Hướng dẫn giải:
Đặt a = u1 thì
với mọi a.
Dấu bằng xảy ra khi a + 3 = 0 ⇔ a = −3.
Suy ra u1 = −3.
Ta có .
Chọn C.
C. Bài tập trắc nghiệm
Câu 1: Cho cấp số cộng: −4; −8; −12; −16...Tìm công sai của cấp số cộng và tổng của 10 số hạng đầu tiên?
A.110 B. -220
C.220 D. -110
Lời giải:
Đáp án: B
Ta có: −16 − (−12) = −12 − (−8) = −8 − (−4) = −4
Nên công sai d = −4
Áp dụng công thức nên tổng của 10 số hạng đầu tiên của cấp số cộng:
Câu 2: Cho dãy số (un) có d = 1; S5 = 65. Tính u2?
A. 12 B. 13
C. 14 D.10
Lời giải:
Đáp án: A
Ta có:
=>u1 + u5 = 26 (1)
Lại có: u5 = u1 + 4d = u1 + 4
=> u5 − u1 = 4 (2)
Từ (1) và (2) ta có hệ phương trình:
Số hạng thứ hai của dãy số là: u2 = u1 + d = 11 + 1 = 12
Câu 3: Cho cấp số cộng (un) thỏa mãn . Tính S = u1 + u4 + u7 +..+ u2011 .
A. S = 2023 736 B. S = 2534134
C. S = 673044 D. S = 2198 650
Lời giải:
Đáp án: A
* Gọi d là công sai của cấp số cộng, theo giả thiết ta có:
Ta có công sai d = 3 và số hạng đầu u1 = 1.
* Ta có các số hạng u1; u4; u7;...; u2011 lập thành một cấp số cộng gồm: số hạng với công sai d’ = 3d = 9.
nên ta có:
Câu 4: Cho cấp số cộng (un) thỏa mãn: . Tính tổng 20 số hạng đầu của cấp số cộng là :
A. −565 B. −530
C. −652 D. −285
Lời giải:
Đáp án: B
* Từ giả thiết bài toán, ta có:
Tổng của 20 số hạng đầu:
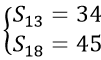
Câu 5: Cho cấp số cộng (un) thỏa mãn . Tính tổng
S= u5 + u7 + ..+ u2011
A. S = 3028760 B. S = 3420198
C. S = 3034088 D. S = 3298701
Lời giải:
Đáp án: C
* Theo giả thiết ta có:
=> Số hạng thứ 5 là: u5 = u1 + 4d = 1 + 4.3 = 13
* Ta có u5; u7..,u2011 lập thành cấp số cộng với công sai d' = 2d = 6 và có số hạng nên
.
Câu 6: Cho cấp số cộng (un) thỏa mãn: . Tìm số hạng đầu của cấp số cộng .
Lời giải:
Đáp án: A
Theo giả thiết ta có:
Vậy số hạng đầu tiên của cấp số cộng là:
Câu 7: Cho (un) là cấp số cộng thỏa mãn: . Tìm số hạng thứ 5 của cấp số cộng.
A. 10 B. 5
C. 8 D.0
Lời giải:
Đáp án: D
Theo giả thiết ta có:
=> Số hạng thứ 5 của cấp số cộng là: u5 = u1 + 4d = 0
Câu 8: Cho (un) là cấp số cộng thỏa mãn: u2 + u22 = 20. Tính S23?
A. 120 B. 230
C. 150 D. 200
Lời giải:
Đáp án: B
Theo giả thiết thì u2 + u22 = 20
⇔ u1 + d + u1 + 21d = 20
⇔ 2u1 + 22d = 20
Lại có:
Câu 9: Cho (un) là cấp số cộng thỏa mãn: u21 + u59 = 30. Tính u20 + u59 + u158 + 3u1
A.90 B.120
C.150 D. 180
Lời giải:
Đáp án: A
* Theo giả thiết ta có: u1 + u59 = 30
⇔ u1 + 20d+ u1 + 58d = 30
⇔ 2u1 + 78d = 30
* Do đó; u20 + u59 + u158 + 3u1
= u1 + 19d + u1 + 58d + u1 + 157d + 3u1
= 6u1 + 234 = 3. (2u1 + 78d) = 3 . 30 = 90.
Câu 10: Cho (un) là cấp số cộng. Đặt Sn = m; Sn = m với (m ≠ n). Tính Sm+n
A. – m- n B.n+ m
C .2n+2m D.n.m
Lời giải:
Đáp án: A
Ta có Sm = n nên
Tương tự do Sn = m nên: 2nu1 + (n2 − n)d = 2m
Từ (1) và (2) vế trừ vế ta được :
Do m ≠ n nên:
Mặt khác ta có:
Thay kết quả (*) vào biểu thức của Sm+n ta được:
Câu 11: Tính tổng sau: S = 1002 − 992 + 982 − 972 + ..+ 22 − 12
A. 5000 B.5050
C.5100 D. 5150
Lời giải:
Đáp án: B
Ta có:
S = 1002 – 992 + 982 – 972 + ...+ 22 - 12
⇔ S = (100 - 99) . ( 100+ 99)+ (98- 97). (98+ 97)+ ...+ ( 2-1)(2+ 1)
⇔ S = 199 + 195 + 191+ ...+ 3
Ta có dãy số 199, 195, 191,.., 3 là cấp số cộng với công sai d = -4, số hạng đầu tiên u1 = 199 và có số hạng
Vậy tổng
Câu 12: Cho cấp số cộng có tổng của n số hạng đầu tiên được tính bởi công thức Sn = 4n − n2. Gọi M là tổng của số hạng đầu tiên và công sai của cấp số cộng đó. Khi đó :
A. M = 7 B. M= 4
C. M=- 1 D. M= 1
Lời giải:
Đáp án: D
Ta có:
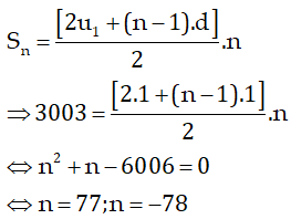
Câu 13: Người ta trồng 3003 cây theo hình một tam giác như sau: hàng thứ nhất có 1 cây; hàng thứ 2 có 2 cây; hàng thứ 3 có 3 cây...hỏi có bao nhiêu hàng?
A.76 B.77
C.78 D.79
Lời giải:
Đáp án: B
Gọi số hàng cây là n.
Gọi số cây lần lượt trên các hàng là 1;2;3..;n.
Đây là một cấp số cộng với số hạng đầu u1 = 1; d = 1.
Ta có:
Vậy số hàng cần tìm là 77.
D. Bài tập tự luyện
Bài 1. Cho cấp số cộng (un) có số hạng đầu u1 = 2 và công sai d = 3. Tính tổng 100 số hạng đầu tiên của un.
Bài 2. Cho cấp số cộng (un). Tìm u1 và công sai d biết tổng n số hạng đầu tiên của cấp số cộng là Sn = 2n2 – 5n.
Bài 3. Mỗi cấp số cộng có 5 số hạng mà tổng của số hạng đầu và số hạng thứ ba bằng 28, tổng số hạng thứ ba và số hạng cuối bằng 40. Hãy tìm tổng của cấp số cộng đó?
Bài 4. Cho cấp số cộng có tổng n số hạng đầu tiên được tính bởi công thức Sn = 4n – n2. Hãy tìm số hạng thứ ba và công sai của cấp số cộng đó.
Bài 5. Cho cấp số cộng (un) có u2 + u22 = 60. Hãy tính tổng 23 số hạng đầu tiên của cấp số cộng đó?
(199k) Xem Khóa học Toán 11 KNTTXem Khóa học Toán 11 CDXem Khóa học Toán 11 CTST
Xem thêm các dạng bài tập Toán lớp 11 có trong đề thi THPT Quốc gia khác:
- Cách tìm số hạng đầu tiên, công sai, số hạng thứ k của cấp số cộng cực hay
- Tìm điều kiện để dãy số lập thành cấp số cộng cực hay
- Cách chứng minh đẳng thức dựa vào tính chất của cấp số cộng cực hay
- Cách chứng minh một dãy số là cấp số nhân (cực hay có lời giải)
- Cách tìm số hạng đầu tiên, công bội, số hạng thứ k của cấp số nhân cực hay
- Cách tính tổng n số hạng đầu tiên của cấp số nhân (cực hay có lời giải)
Tủ sách VIETJACK shopee lớp 10-11 (cả 3 bộ sách):
Đã có app VietJack trên điện thoại, giải bài tập SGK, SBT Soạn văn, Văn mẫu, Thi online, Bài giảng....miễn phí. Tải ngay ứng dụng trên Android và iOS.
Theo dõi chúng tôi miễn phí trên mạng xã hội facebook và youtube:Nếu thấy hay, hãy động viên và chia sẻ nhé! Các bình luận không phù hợp với nội quy bình luận trang web sẽ bị cấm bình luận vĩnh viễn.
- Giải Tiếng Anh 11 Global Success
- Giải sgk Tiếng Anh 11 Smart World
- Giải sgk Tiếng Anh 11 Friends Global
- Lớp 11 - Kết nối tri thức
- Soạn văn 11 (hay nhất) - KNTT
- Soạn văn 11 (ngắn nhất) - KNTT
- Giải sgk Toán 11 - KNTT
- Giải sgk Vật Lí 11 - KNTT
- Giải sgk Hóa học 11 - KNTT
- Giải sgk Sinh học 11 - KNTT
- Giải sgk Lịch Sử 11 - KNTT
- Giải sgk Địa Lí 11 - KNTT
- Giải sgk Giáo dục KTPL 11 - KNTT
- Giải sgk Tin học 11 - KNTT
- Giải sgk Công nghệ 11 - KNTT
- Giải sgk Hoạt động trải nghiệm 11 - KNTT
- Giải sgk Giáo dục quốc phòng 11 - KNTT
- Giải sgk Âm nhạc 11 - KNTT
- Lớp 11 - Chân trời sáng tạo
- Soạn văn 11 (hay nhất) - CTST
- Soạn văn 11 (ngắn nhất) - CTST
- Giải sgk Toán 11 - CTST
- Giải sgk Vật Lí 11 - CTST
- Giải sgk Hóa học 11 - CTST
- Giải sgk Sinh học 11 - CTST
- Giải sgk Lịch Sử 11 - CTST
- Giải sgk Địa Lí 11 - CTST
- Giải sgk Giáo dục KTPL 11 - CTST
- Giải sgk Hoạt động trải nghiệm 11 - CTST
- Giải sgk Âm nhạc 11 - CTST
- Lớp 11 - Cánh diều
- Soạn văn 11 Cánh diều (hay nhất)
- Soạn văn 11 Cánh diều (ngắn nhất)
- Giải sgk Toán 11 - Cánh diều
- Giải sgk Vật Lí 11 - Cánh diều
- Giải sgk Hóa học 11 - Cánh diều
- Giải sgk Sinh học 11 - Cánh diều
- Giải sgk Lịch Sử 11 - Cánh diều
- Giải sgk Địa Lí 11 - Cánh diều
- Giải sgk Giáo dục KTPL 11 - Cánh diều
- Giải sgk Tin học 11 - Cánh diều
- Giải sgk Công nghệ 11 - Cánh diều
- Giải sgk Hoạt động trải nghiệm 11 - Cánh diều
- Giải sgk Giáo dục quốc phòng 11 - Cánh diều
- Giải sgk Âm nhạc 11 - Cánh diều


Giải bài tập SGK & SBT
Tài liệu giáo viên
Sách
Khóa học
Thi online
Hỏi đáp

