Tìm điều kiện để dãy số lập thành cấp số cộng cực hay
Bài viết Tìm điều kiện để dãy số lập thành cấp số cộng với phương pháp giải chi tiết giúp học sinh ôn tập, biết cách làm bài tập Tìm điều kiện để dãy số lập thành cấp số cộng.
Tìm điều kiện để dãy số lập thành cấp số cộng cực hay
(199k) Xem Khóa học Toán 11 KNTTXem Khóa học Toán 11 CDXem Khóa học Toán 11 CTST
A. Phương pháp giải
+ Điều kiện để ba số a; b; c lập thành cấp số cộng là c − b = b − a hay a + c= 2b.
+ Điều kiện để dãy số (un) là cấp số cộng là với ∀n ∈ N* thì: un+1 − un là hằng số ( không phụ thuộc vào n) .
B. Ví dụ minh họa
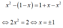
Ví dụ 1: Xác định x để 3 số: 1 − x; x2; 1 + x theo thứ tự lập thành một cấp số cộng?
A. Không có giá trị nào của x. B. x = ±2.
C. x = ±1. D. x = 0
Hướng dẫn giải:
Ba số: 1 − x; x2; 1 + x lập thành một cấp số cộng khi và chỉ khi :
Chọn C.
Ví dụ 2: Xác định n để ba số 2n - 9; n ;n+ 3 theo thứ tự lập thành cấp số cộng ?
A. n= 2 B. n= 3
C. n= 4 D. n= 5
Hướng dẫn giải:
Điều kiện để ba số 2n – 9 ; n và n+ 3 theo thứ tự lập thành cấp số cộng là :
Chọn B.
Ví dụ 3: Xác định x để 3 số: 1 + 2x; 2x2 − 1; −2x theo thứ tự lập thành một cấp số cộng?
Hướng dẫn giải:
Ba số 1 + 2x; 2x2 − 1; −2x theo thứ tự lập thành một cấp số cộng khi và chỉ khi
Chọn B.
Ví dụ 4: Xác định a để 3 số 2-a; 6 + a2 ; 3a + 2 theo thứ tự lập thành một cấp số cộng?
A. Không có giá trị nào của . B. a= 4
C. a= ±2 D. a= ±√5
Hướng dẫn giải:
Ba số 2 - a; 6 + a2 ; 3a + 2 theo thứ tự lập thành một cấp số cộng khi và chỉ khi:
6 + a2 − 2 + a = 3a + 2 - 6 - a2
⇔ 2a2 − 2a + 8 = 0 phương trình này vô nghiệm.
=> Không có giá trị nào của a thỏa mãn.
Chọn A.
Ví dụ 5: Cho tam giác ABC biết 3 góc của tam giác lập thành một cấp số cộng và có một góc bằng 250. Tìm 2 góc còn lại?
A. 65o ; 90o. B. 75o ; 80o.
C. 60o ; 95o. D. 60o ; 90o.
Hướng dẫn giải:
Gọi 3 góc của tam giác là u1 = 25; u2 = 25 + d và u3 = 25 + 2d.
Tổng ba góc trong một tam giác bằng 1800 nên ta có:
Vậy hai góc còn lại của tam giác là 600 và 950
Chọn C.
Ví dụ 6: Cho tứ giác ABCD biết 4 góc của tứ giác lập thành một cấp số cộng và góc Acó số đo nhỏ nhất và bằng 30o. Tìm tổng của góc lớn nhất và góc nhỏ nhất của tứ giác.
A. 180o B. 150o.
C. 200o. D. 210o.
Hướng dẫn giải:
Do 4 góc của tứ giác lập thành cấp số cộng và nên các góc còn lại của tứ giác là:
u2 = 30 + d; u3 = 30 + 2d và u4 = 30 + 3d
Do tổng bốn góc của 1 tứ giác là 3600 nên:
Vậy các góc còn lại của tứ giác là: 700; 1100 và 1500
=> Góc lớn nhất và góc nhỏ nhất của tứ giác là 1500 và 300
Chọn A.
Ví dụ 7: Tìm bốn số hạng liên tiếp của một cấp số cộng biết tổng của chúng bằng 20 và tổng các bình phương của chúng bằng 120 .
A. 1,5,6,8 B. 2,4,6,8
C. 1,4,6,9 D. 1,4,7,8
Hướng dẫn giải:
Giả sử bốn số hạng đó là a- 3d; a- d; a+ d; a+ 3d với công sai là d’= 2d. Khi đó, ta có:
+ Nếu d = 1 thì bốn số cần tìm là: 2; 4; 6; 8
+ Nếu d = −1 thì bốn số cần tìm là: 8; 6; 4; 2
Chọn B.
Chú ý:
* Cách gọi các số hạng của cấp số cộng như trên giúp ta giải quyết bài toán gọn hơn.
* Nếu số hạng cấp số cộng là lẻ thì gọi công sai , là chẵn thì gọi công sai rồi viết các số hạng cấp số dưới dạng đối xứng.
Ví dụ 8: Biết ba số: x2 + 1; x − 2 và 1 − 3x theo thứ tự lập thành cấp số cộng. Hỏi có mấy giá trị nguyên dương của x thỏa mãn?
A. 0 B.1
C.2 D.3
Hướng dẫn giải:
Ta có: x2 + 1; x − 2 ; 1 − 3x theo thứ tự lập thành cấp số cộng nên:
Vậy có hai giá trị nguyên dương của x thỏa mãn đầu bài.
Chọn C.
Ví dụ 9: Xác định a; b để phương trình x3 + ax + b= 0 có ba nghiệm phân biệt lập thành cấp số cộng.
A. b = 0; a < 0 B. b = 0; a = 1
C. b = 0; a > 0 D. b > 0; a < 0
Hướng dẫn giải:
Giả sử phương trình đã cho có 3 nghiệm phân biệt là x1; x2 và x3
*Do 3 số này lập thành cấp số cộng nên x1 + x3 = 2x2 (1)
*Áp dụng hệ thức vi- et cho phương trình bậc 3 ta có:
x1 + x2 + x3 = 0 (2)
Từ (1) và (2) suy ra: 2x2 + x2 = 0 ⇔ x2 = 0
Suy ra phương trình đã cho có nghiệm x = 0.Thay x = 0 vào phương trình đã cho ta được: 03 + a . 0 + b = 0 ⇔ b = 0.
* Với b = 0 phương trình đã cho trở thành: x3 + ax = 0
Do đó; để phương trình đã cho có 3 nghiệm phân biệt khi và chỉ khi (*) có hai nghiệm phân biệt khác 0 khi và chỉ khi: a < 0.
Vậy điều kiện để phương trình đã cho có 3 nghiệm phân biệt lập thành cấp số cộng là:
b = 0 và a < 0 .
chọn A.
Ví dụ 10: Tìm m để phương trình mx4 − 2(m − 1)x2 + m − 1= 0 có bốn nghiệm phân biệt lập thành cấp số cộng.
Hướng dẫn giải:
Đặt x2 = t (t ≥ 0) khi đó phương trình đã cho trở thành:
mt2 − 2(m − 1)t + m − 1 = 0 (*)
Để phương trình đã cho có 4 nghiệm phân biệt khi và chỉ khi phương trình (*) có 2 nghiệm dương phân biệt 0 < t1 < t2
Khi đó phương trình đã cho có 4 nghiệm phân biệt là −√t2; −√t1; √t1; √t2
Để 4 nghiệm này lập thành cấp số cộng thì:
Áp dụng hệ thức Vi-et với phương trình (*) ta có:
Thay t2 = 9t1 vào (1) ta được :
thay vào (2) ta được:
Thử lại: Thay vào phương trình đã cho ta thấy thỏa mãn.
Chọn B.
C. Bài tập trắc nghiệm
Câu 1: Với giá trị nào của x để ba số: 10 − 3x; 2x2 + 3 và 7 − 4x theo thứ tự lập thành cấp số cộng?
Lời giải:
Đáp án: C
Để ba số 10 − 3x; 2x2 + 3 và 7 − 4x theo thứ tự lập thành cấp số cộng khi:
Câu 2: Một tam giác vuông có chu vi bằng 3a và 3 cạnh lập thành cấp số cộng. Tính diện tích tam giác vuông đó theo a.
Lời giải:
Đáp án: B
Gọi x, y, z theo thứ tự tăng dần của độ dài ba cạnh của tam giác.
Chu vi của tam giác: x + y + z = 3a (1)
Tính chất của cấp số cộng có x + z = 2y (2)
Vì tam giác vuông nên có: x2 + y2 = z2 (3)
Thay (2) vào (1) được 3y = 3a ⇔ y = a thay y = a vào (2) được:
x + z = 2a ⇔ x = 2a − z
Thay x và y vào (3) được: (2a- z)2 + a2 = z2
Vậy độ dài ba cạnh của tam giác cần tìm là :
=> Diện tích tam giác vuông này là:
Câu 3: Biết rằng 3 số hạng liên tiếp của 1 cấp số cộng biết tổng của chúng bằng 27 và tổng các bình phương của chúng là 293. Hỏi số lớn nhất trong 3 số đó bằng bao nhiêu?
A. 14 B. 9
C. 11 D. 13
Lời giải:
Đáp án: A
Gọi 3 số hạng liên tiếp của cấp số cộng u1 − d; u1; u1 + d. Theo đề bài ta có:
Giải phương trình (*):
+ Với d = 5=> Ba số hạng cần tìm là: 4; 9; 14.
+ Với d = −5 => Ba số hang cần tìm là: 14; 9; 4
Câu 4: Biết rằng 4 số hạng liên tiếp của một cấp số cộng có tổng bằng 20 và tích của của chúng là 384. Tìm số bé nhất trong bốn số đó.
A. 2 B. 5 − √241
C. −√241 D. Đáp án khác
Lời giải:
Đáp án: D
Gọi 4 số hạng của cấp số cộng cần tìm là u1 = u − 3d; u2 = u − d; u3 = u + d và u4 = u + 3d có công sai d' = 2d.
Theo đề bài ta có:
Đặt t = d2 (t ≥ 0); khi đó phương trình (*) trở thành:
* Với t = 1 => d2 = 1 ⇔ d = ±1
Với d = 1 => u1 = 2; u2 =4; u3 = 6 và u4 = 8
Với d = −1 => u1 = 8; u2 = 6; u3 =4 và u4 = 2
* Với:
Với
và u4 = 5 + √241
Với
và u1 = 5 + √241
Câu 5: Xác định m để phương trình x3 − 3x2 − 9x + m = 0 có ba nghiệm phân biệt lập thành cấp số cộng.
A. m= 16 B. m= 11
C. m= 13 D. m= 12
Lời giải:
Đáp án: B
Giả sử phương trình có ba nghiệm phân biệt x1; x2; x3 lập thành cấp số cộng.
=> x1 + x3 = 2x2
Theo hệ thức Viet cho phương trình bậc ba ta có:
=> 3x2 = 3 ⇔ x2 = 1
Thay x= 1 vào phương trình đã cho ta được:
13 − 3 . 12 − 9 . 1 + m = 0 ⇔ m = 11
Với m = 11 ta có phương trình x3 − 3x2 − 9x + 11 = 0
Ba nghiệm này lập thành cấp số cộng.
Vậy m = 11 là giá trị cần tìm.
Câu 6: Tìm m để phương trình x4 − 2(m+1).x2 + 2m + 1 = 0 (1) có bốn nghiệm phân biệt lập thành cấp số cộng.
A. m= 16 B. m= 11
C. m= 13 D. m= 12
Lời giải:
Đáp án: B
Đặt t = x2 (t ≥ 0).
Phương trình trở thành: t2 − 2(m+1)t + 2m + 1 = 0 (2)
Phương trình (1) có bốn nghiệm phân biệt khi và chỉ khi phương trình (2) có hai nghiệm dương phân biệt 0 < t1 < t2
Với điều kiện trên phương trình (2) có bốn nghiệm là:
Bốn nghiệm này lập thành cấp số cộng khi :
Theo định lý viet thì
Thay t2 = 9t1 vào (*) ta được: thay vào (**) ta được:
Vậy m = 4 hoặc là những giá trị cần tìm.
Câu 7: Cho tam giác ABC có độ dài các cạnh là a, b ,c theo thứ tự lập thành một cấp số cộng. Biết , giá trị x+ y là:
A. 4 B. 1
C. 2 D. 3
Lời giải:
Đáp án: A
Ta có:
Do đó x + y = 4
Câu 8: Có bao nhiêu giá trị của tham số m để phương trình x3 − (3m + 1).x2 + 2mx = 0 có ba nghiệm phân biệt lập thành một cấp số cộng.
A. 0 B.1
C.2 D. 3
Lời giải:
Đáp án: D
Ta có:
Để phương trình đã cho có ba nghiệm phân biệt
● Để các nghiệm này lập thành cấp số cộng nên ta sắp xếp các nghiệm này theo thứ tự tăng dần được các dãy số sau:
+ 2m, 0, 1 lập thành cấp số cộng
+ 0, 2m, 1 lập thành cấp số cộng
+ 0, 1, 2m lập thành cấp số cộng
Vậy có ba giá trị của m thỏa mãn là: là các giá trị cần tìm.
Câu 9: Tìm m để phương trình : x3 − 3x2 − 9x + m = 0 có ba nghiệm phâ biệt và các nghiệm đố theo thứ tự lập thành cấp số cộng .
A. m= 11 B. m= 12 C. m= -11 D. m= 18
Lời giải:
Đáp án: A
* Điều kiện cần:
Ta có: x3 − 3x2 − 9x + m = 0 (*)
Gọi x1 < x2 < x3 là ba nghiệm của phương trình (*) .Khi đó, ta sẽ phân tích được:
Đồng nhất hệ số của x2 ta được: x1 + x2 + x3 = 3 (1) .
Do x1; x2; x3 lập thành một cấp số cộng theo thứ tự đó nên x1 + x3 = 2x2 (2).
Thế (2) vào (1) ta được: 3x2 = 3 ⇔ x2 = 1.
Thế x2 = 1 vào (*) được m = 11.
* Điều kiện đủ.
Thay m = 11 vào phương trình đã cho ta được:
Vậy m = 11 là giá trị cần tìm.
(199k) Xem Khóa học Toán 11 KNTTXem Khóa học Toán 11 CDXem Khóa học Toán 11 CTST
Xem thêm các dạng bài tập Toán lớp 11 có trong đề thi THPT Quốc gia khác:
- Cách tìm số hạng đầu tiên, công sai, số hạng thứ k của cấp số cộng cực hay
- Cách tính tổng n số hạng đầu tiên của cấp số cộng (cực hay có lời giải)
- Cách chứng minh đẳng thức dựa vào tính chất của cấp số cộng cực hay
- Cách chứng minh một dãy số là cấp số nhân (cực hay có lời giải)
- Cách tìm số hạng đầu tiên, công bội, số hạng thứ k của cấp số nhân cực hay
- Cách tính tổng n số hạng đầu tiên của cấp số nhân (cực hay có lời giải)
Tủ sách VIETJACK shopee lớp 10-11 (cả 3 bộ sách):
Đã có app VietJack trên điện thoại, giải bài tập SGK, SBT Soạn văn, Văn mẫu, Thi online, Bài giảng....miễn phí. Tải ngay ứng dụng trên Android và iOS.
Theo dõi chúng tôi miễn phí trên mạng xã hội facebook và youtube:Nếu thấy hay, hãy động viên và chia sẻ nhé! Các bình luận không phù hợp với nội quy bình luận trang web sẽ bị cấm bình luận vĩnh viễn.
- Giải Tiếng Anh 11 Global Success
- Giải sgk Tiếng Anh 11 Smart World
- Giải sgk Tiếng Anh 11 Friends Global
- Lớp 11 - Kết nối tri thức
- Soạn văn 11 (hay nhất) - KNTT
- Soạn văn 11 (ngắn nhất) - KNTT
- Giải sgk Toán 11 - KNTT
- Giải sgk Vật Lí 11 - KNTT
- Giải sgk Hóa học 11 - KNTT
- Giải sgk Sinh học 11 - KNTT
- Giải sgk Lịch Sử 11 - KNTT
- Giải sgk Địa Lí 11 - KNTT
- Giải sgk Giáo dục KTPL 11 - KNTT
- Giải sgk Tin học 11 - KNTT
- Giải sgk Công nghệ 11 - KNTT
- Giải sgk Hoạt động trải nghiệm 11 - KNTT
- Giải sgk Giáo dục quốc phòng 11 - KNTT
- Giải sgk Âm nhạc 11 - KNTT
- Lớp 11 - Chân trời sáng tạo
- Soạn văn 11 (hay nhất) - CTST
- Soạn văn 11 (ngắn nhất) - CTST
- Giải sgk Toán 11 - CTST
- Giải sgk Vật Lí 11 - CTST
- Giải sgk Hóa học 11 - CTST
- Giải sgk Sinh học 11 - CTST
- Giải sgk Lịch Sử 11 - CTST
- Giải sgk Địa Lí 11 - CTST
- Giải sgk Giáo dục KTPL 11 - CTST
- Giải sgk Hoạt động trải nghiệm 11 - CTST
- Giải sgk Âm nhạc 11 - CTST
- Lớp 11 - Cánh diều
- Soạn văn 11 Cánh diều (hay nhất)
- Soạn văn 11 Cánh diều (ngắn nhất)
- Giải sgk Toán 11 - Cánh diều
- Giải sgk Vật Lí 11 - Cánh diều
- Giải sgk Hóa học 11 - Cánh diều
- Giải sgk Sinh học 11 - Cánh diều
- Giải sgk Lịch Sử 11 - Cánh diều
- Giải sgk Địa Lí 11 - Cánh diều
- Giải sgk Giáo dục KTPL 11 - Cánh diều
- Giải sgk Tin học 11 - Cánh diều
- Giải sgk Công nghệ 11 - Cánh diều
- Giải sgk Hoạt động trải nghiệm 11 - Cánh diều
- Giải sgk Giáo dục quốc phòng 11 - Cánh diều
- Giải sgk Âm nhạc 11 - Cánh diều


Giải bài tập SGK & SBT
Tài liệu giáo viên
Sách
Khóa học
Thi online
Hỏi đáp

