Cách tìm số hạng đầu tiên, công bội, số hạng thứ k của cấp số nhân cực hay
Bài viết Cách tìm số hạng đầu tiên, công bội, số hạng thứ k của cấp số nhân với phương pháp giải chi tiết giúp học sinh ôn tập, biết cách làm bài tập Cách tìm số hạng đầu tiên, công bội, số hạng thứ k của cấp số nhân.
- Cách giải bài tập tìm số hạng đầu tiên, công bội, số hạng thứ k của cấp số nhân
- Ví dụ minh họa bài tập tìm số hạng đầu tiên, công bội, số hạng thứ k của cấp số nhân
- Bài tập trắc nghiệm tìm số hạng đầu tiên, công bội, số hạng thứ k của cấp số nhân
- Bài tập tự luyện tìm số hạng đầu tiên, công bội, số hạng thứ k của cấp số nhân
Cách tìm số hạng đầu tiên, công bội, số hạng thứ k của cấp số nhân cực hay
(199k) Xem Khóa học Toán 11 KNTTXem Khóa học Toán 11 CDXem Khóa học Toán 11 CTST
A. Phương pháp giải
+ Cho cấp số nhân (un) có số hạng đầu u1; công bội q. Khi đó, số hạng thứ k của cấp số nhân là: uk = u1 . qk − 1
+ Với n > m ta có: un = um . qn-m
+ Với a ≠ 1 ta có:
B. Ví dụ minh họa
Ví dụ 1: Cho cấp số nhân (un) với u1 = 2 và u7 = 128. Tìm q.
A .q= 2 B. q= - 2
C. q= ±3 D. q= ±2
Hướng dẫn giải:
Ta có:
Vậy q = 2 hoặc q = −2
Chọn D.
Ví dụ 2: Cho cấp số nhân (un) với u1 = 3; q = 5. Viết 3 số hạng tiếp theo.
A. 15, 95, 275 B.15, 75, 375
C. 75, 375, 1975 D. Đáp án khác
Hướng dẫn giải:
Ta có:
Chọn B .
Ví dụ 3: Cho cấp số nhân (un) với u4 = 108 và u2 = 3. Viết số hạng tổng quát của cấp số nhân; biết q > 0 ?
Hướng dẫn giải:
Ta có:
Khi đó;
=> Số hạng tổng quát của cấp số nhân là:
Chọn C.
Ví dụ 3: Cho cấp số nhân (un) với u4 = 108 và u2 = 3. Viết số hạng tổng quát của cấp số nhân; biết q > 0 ?
Hướng dẫn giải:
Ta có:
Khi đó;
=> Số hạng tổng quát của cấp số nhân là:
Chọn C.
Ví dụ 4: Cho cấp số nhân (un) với u1 = 3 và u8 = 384. Hỏi 12288 là số hạng thứ bao nhiêu của dãy?
Hướng dẫn giải:
Ta có: u8 = u1 . q7 nên
Suy ra: Số hạng tổng quát của cấp số nhân là; un = 3. 2n-1.
Ta có:
Vậy 12288 là số hạng thứ 13 của cấp số nhân.
Chọn A.
Ví dụ 5: Cho cấp số nhân (un) với . Số 222 là số hạng thứ mấy của (un) ?
Hướng dẫn giải:
Số hạng tổng quát của dãy số đã cho là:
Xét phương trình:
=> Không có giá trị nào của n thỏa mãn.
Vậy 222 không là số hạng của cấp số đã cho.
Chọn D.
Ví dụ 6: Cho cấp số nhân (un) thỏa mãn: . Số hạng đầu tiên có dạng
trong đó a và b nguyên tố. Tính a+ b?
Hướng dẫn giải:
Theo giả thiết ta có:
Từ (1) và (2) vế chia vế (chú ý u1 ≠ 0 ) ta được:
Thay vào (1) suy ra:
Chọn C.
Ví dụ 7: Cho cấp số nhân (un) có các số hạng khác không, tìm u1 biết
Hướng dẫn giải:
Ta có:
Từ ( 1) và (2) lấy vế chia vế ta được:
Thay vào (1) ta tìm được u1 = 1 hoặc u1 = 8.
Chọn B.
Ví dụ 8: Cho (un) là cấp số nhân thỏa mãn: . Tìm u1 và q?
Hướng dẫn giải:
Theo giả thiết ta có:
Lấy (1) chia (2) vế chia vế ta được:
Đặt: . Điều kiện |t| ≥ 2
Với
Nếu
Nếu
Chọn C.
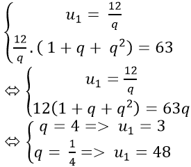
Ví dụ 9: Cho cấp số nhân (un) thỏa mãn: . Tìm số hạng đầu tiên của cấp số nhân?
Hướng dẫn giải:
Theo giả thiết ta có:
Từ (1) và u1 q ≠ 0 suy ra:
Từ (2) suy ra:
Chọn B.
Ví dụ 10: Cho cấp số nhân (un) thỏa mãn: . Tìm công sai của cấp số nhân đã cho?
Hướng dẫn giải:
Theo giả thiết ta có:
Chọn C.
Ví dụ 11: Giữa các số 160 và 5 hãy chèn vào 4 số nữa để tạo thành một cấp số nhân. Tính tổng bốn số đó?
Hướng dẫn giải:
Nếu giữa các số 160 và 5 ta chèn vào 4 số nữa để tạo thành cấp số nhân. Khi đó; ta được cấp số nhân có số hạng đầu là u1 = 160 và số hạng thứ 6 là u6 = 5.
Suy ra:
=> 4 số hạng ta cần thêm vào là: u2 = 80; u3 = 40; u4 = 20 và u5 = 10.
Suy ra tổng bốn số cần tìm là: 80 + 40 + 20 + 10= 150.
Chọn C.
C. Bài tập trắc nghiệm
Câu 1: Cho dãy số (un) xác định bởi . Chọn mệnh đề đúng:
Lời giải:
Đáp án: B
+ Ta có: không đổi
=> (un) là cấp số nhân có công bội .
+ Dãy số (un) có số hạng tổng quát là:
+Theo tính chất của cấp số nhân ta có :
=> B đúng
Câu 2: Cho (un) là cấp số nhân thỏa mãn : u2 = 4 và u3 = 8. Tìm số hạng đầu tiên của cấp số nhân ?
Lời giải:
Đáp án: A
Theo tính chất của cấp số nhân ta có :
Câu 3: Cho cấp số nhân (un) thỏa mãn : . Tìm số hạng thứ 6 của cấp số nhân.
Lời giải:
Đáp án: A
Theo đầu bài ta có :
Từ (1) và (2) vế chia vế ta được (u1 ≠ 0)
Số hạng thứ 6 của cấp số nhân là : u6 = u1 . q5 = 3 . 25 = 96
Câu 4: Giữa các số 243 và 1 ta viết thêm 4 số nữa để tạo thành cấp số nhân. Tính tổng của 4 số đó?
Lời giải:
Đáp án: B
Nếu ta viết thêm 4 số nữa vào giữa hai số 243 và 1 thì ta được cấp số nhân có 6 số hạng trong đó số hạng đầu tiên là : u1 = 243 và số hạng thứ 6 là u6 = 1 .
Suy ra:
Do đó; u2 = 81; u3 = 27; u4 = 9 và u5 = 3.
Tổng bốn số cần tìm là: 81+ 27+ 9+ 3= 120.
Câu 5: Cho 3 số hạng liên tiếp của cấp số nhân biết tổng của chúng là 19 và tích là 216. Tìm công bội q của cấp số nhân?
Lời giải:
Đáp án: A
Gọi ba số hạng liên tiếp của cấp số nhân là u1; u2; u3 với công bội là q. Theo đề bài ta có hệ phương trình:
Thay vào (*) được:
Với
Với
Câu 6: Cho cấp số nhân (un) có các số hạng khác không, tìm công bội biết:
Lời giải:
Đáp án: A
Ta có:
Từ (1) và (2) vế chia vế ta được:
Câu 7: Cho cấp số nhân (un) thỏa mãn
.Trên khoảng
có bao nhiêu số hạng của cấp số.
Lời giải:
Đáp án: B
* Trước tiên; ta đi tìm số hạng đầu và công bội của cấp số nhân.
Gọi q là công bội của cấp số. Khi đó từ giả thiết ta có:
Từ (1) và (2) chia vế ta được:
+ Với . Số hạng tổng quát của cấp số nhân là:
Để số hạng thứ n thuộc khoảng thì:
⇔ n= 3 nên có 1 số hạng của dãy thỏa mãn.
+ Với . Số hạng tổng quát của cấp số nhân là:
Để số hạng thứ n thuộc khoảng thì:
⇔ n= 3 nên có một số hạng của dãy thỏa mãn.
Như vậy trong cả 2 trường hợp chỉ có 1 số hạng của dãy thỏa mãn.
Câu 8: Cho cấp số nhân (un) thỏa mãn biết ui > 0. Tính công bội q?
Lời giải:
Đáp án: B
Theo giả thiết ta có:
Từ (2) ( vì ui > 0)
thay vào (1) ta được:
Với q = 2 thì
Với thì u1 = 20.
Câu 9: Cho cấp số nhân (un) thỏa mãn . Tìm số hạng đầu tiên của cấp số nhân?
Lời giải:
Đáp án: A
Ta có:
Lấy (2) chia (1) vế chia vế ta được:
+ Với q = 2 thay vào (2) ta được u1 = 5.
+ Với q = −2 thay vào (2) ta được u1 = 5.
Như vậy ;trong cả hai trường hợp ta có: u1 = 5.
Câu 10: Cho cấp số nhân (un) thỏa mãn . Tìm số hạng đầu tiên của cấp số nhân?
Lời giải:
Đáp án: C
Theo giả thiết ta có:
Lấy (1) chia (2) vế chia vế ta được:
Chia cả hai vế của phương trình trên cho q2 ≠ 0 ta được:
Đặt . Điều kiện: |t| ≥ 2.
Khi đó phương trình (*) trở thành:
Với
với
với
Vậy số hạng đầu tiên của cấp số nhân là 5 hoặc 160.
D. Bài tập tự luyện
Bài 1. Tìm số hạng đầu u1 và công bội q của cấp số nhân (un), biết: u5 = 96; u6 = 192.
Bài 2. Cho cấp số nhân (un) với: . Tìm số hạng đầu u1 và công bội q của cấp số nhân đã cho.
Bài 3. Cấp số nhân (un) có un = . Tìm số hạng đầu tiên và công bội q.
Bài 4. Xét xem dãy số sau có phải là cấp số nhân hay không? Nếu phải hãy xác định công bội và số hạng đầu tiên: un = 2n.
Bài 5. Cho cấp số nhân (un) thỏa mãn: .
a. Xác định công bội và hạng đầu tiên của cấp số nhân trên?
b. Xác định công thức tổng quát của cấp số nhân trên?
c. Tìm số hạng thứ 15 của cấp số cộng trên?
d. Số 12288 là số hạng thứ bao nhiêu của cấp số nhân?
(199k) Xem Khóa học Toán 11 KNTTXem Khóa học Toán 11 CDXem Khóa học Toán 11 CTST
Xem thêm các dạng bài tập Toán lớp 11 có trong đề thi THPT Quốc gia khác:
- Cách tìm số hạng đầu tiên, công sai, số hạng thứ k của cấp số cộng cực hay
- Cách tính tổng n số hạng đầu tiên của cấp số cộng (cực hay có lời giải)
- Tìm điều kiện để dãy số lập thành cấp số cộng cực hay
- Cách chứng minh đẳng thức dựa vào tính chất của cấp số cộng cực hay
- Cách chứng minh một dãy số là cấp số nhân (cực hay có lời giải)
- Cách tính tổng n số hạng đầu tiên của cấp số nhân (cực hay có lời giải)
Tủ sách VIETJACK shopee lớp 10-11 (cả 3 bộ sách):
Đã có app VietJack trên điện thoại, giải bài tập SGK, SBT Soạn văn, Văn mẫu, Thi online, Bài giảng....miễn phí. Tải ngay ứng dụng trên Android và iOS.
Theo dõi chúng tôi miễn phí trên mạng xã hội facebook và youtube:Nếu thấy hay, hãy động viên và chia sẻ nhé! Các bình luận không phù hợp với nội quy bình luận trang web sẽ bị cấm bình luận vĩnh viễn.
- Giải Tiếng Anh 11 Global Success
- Giải sgk Tiếng Anh 11 Smart World
- Giải sgk Tiếng Anh 11 Friends Global
- Lớp 11 - Kết nối tri thức
- Soạn văn 11 (hay nhất) - KNTT
- Soạn văn 11 (ngắn nhất) - KNTT
- Giải sgk Toán 11 - KNTT
- Giải sgk Vật Lí 11 - KNTT
- Giải sgk Hóa học 11 - KNTT
- Giải sgk Sinh học 11 - KNTT
- Giải sgk Lịch Sử 11 - KNTT
- Giải sgk Địa Lí 11 - KNTT
- Giải sgk Giáo dục KTPL 11 - KNTT
- Giải sgk Tin học 11 - KNTT
- Giải sgk Công nghệ 11 - KNTT
- Giải sgk Hoạt động trải nghiệm 11 - KNTT
- Giải sgk Giáo dục quốc phòng 11 - KNTT
- Giải sgk Âm nhạc 11 - KNTT
- Lớp 11 - Chân trời sáng tạo
- Soạn văn 11 (hay nhất) - CTST
- Soạn văn 11 (ngắn nhất) - CTST
- Giải sgk Toán 11 - CTST
- Giải sgk Vật Lí 11 - CTST
- Giải sgk Hóa học 11 - CTST
- Giải sgk Sinh học 11 - CTST
- Giải sgk Lịch Sử 11 - CTST
- Giải sgk Địa Lí 11 - CTST
- Giải sgk Giáo dục KTPL 11 - CTST
- Giải sgk Hoạt động trải nghiệm 11 - CTST
- Giải sgk Âm nhạc 11 - CTST
- Lớp 11 - Cánh diều
- Soạn văn 11 Cánh diều (hay nhất)
- Soạn văn 11 Cánh diều (ngắn nhất)
- Giải sgk Toán 11 - Cánh diều
- Giải sgk Vật Lí 11 - Cánh diều
- Giải sgk Hóa học 11 - Cánh diều
- Giải sgk Sinh học 11 - Cánh diều
- Giải sgk Lịch Sử 11 - Cánh diều
- Giải sgk Địa Lí 11 - Cánh diều
- Giải sgk Giáo dục KTPL 11 - Cánh diều
- Giải sgk Tin học 11 - Cánh diều
- Giải sgk Công nghệ 11 - Cánh diều
- Giải sgk Hoạt động trải nghiệm 11 - Cánh diều
- Giải sgk Giáo dục quốc phòng 11 - Cánh diều
- Giải sgk Âm nhạc 11 - Cánh diều


Giải bài tập SGK & SBT
Tài liệu giáo viên
Sách
Khóa học
Thi online
Hỏi đáp

