Cách chứng minh đẳng thức dựa vào tính chất của cấp số cộng cực hay
Bài viết Cách chứng minh đẳng thức dựa vào tính chất của cấp số cộng với phương pháp giải chi tiết giúp học sinh ôn tập, biết cách làm bài tập Cách chứng minh đẳng thức dựa vào tính chất của cấp số cộng.
Cách chứng minh đẳng thức dựa vào tính chất của cấp số cộng cực hay
(199k) Xem Khóa học Toán 11 KNTTXem Khóa học Toán 11 CDXem Khóa học Toán 11 CTST
A. Phương pháp giải
* Tính chất của cấp số cộng: Cho (un) là cấp số cộng thì ta có
* Nếu ba số a; b; c lập thành cấp số cộng thì c − b = b − a.
B. Ví dụ minh họa
Ví dụ 1: Cho a, b, c theo thứ tự lập thành cấp số cộng, đẳng thức nào sau đây là đúng?
Hướng dẫn giải:
Ta có a, b, c theo thứ tự lập thành cấp số cộng khi và chỉ khi:
Chọn B
Ví dụ 2: Cho 3 số a; b và c theo thứ tự lập thành cấp số cộng, đẳng thức nào sau đây là đúng?
Hướng dẫn giải:
Ta có 3 số a,b,c theo thứ tự lập thành cấp số cộng khi và chỉ khi:
Chọn C.
Ví dụ 3: Cho 3 số a; b và c theo thứ tự lập thành cấp số cộng, ba số nào dưới đây cũng lập thành một cấp số cộng ?
Hướng dẫn giải:
Ta có a,b,c theo thứ tự lập thành cấp số cộng khi và chỉ khi:
Chọn B
Ví dụ 4: Cho ba số a,b,c là ba số hạng liên tiếp của một cấp số cộng .Đẳng thức nào sau đây sai?
Hướng dẫn giải:
Vì a, b, c là ba số hạng liên tiếp của một cấp số cộng nên: a + c= 2b ⇔ a = 2 b - c
Ta có:
Vậy a2 − 2ab = c2 − 2bc ; a2 − 2ab = −ac và −ac = c2 − 2bc
Chọn D.
Ví dụ 5: Cho a,b và c là ba số hạng liên tiếp của một cấp số cộng. Tìm đẳng thức đúng?
Hướng dẫn giải:
+ Ta có a,b và c theo thứ tự lập thành cấp số cộng nên : a + c = 2b ⇔ a = 2b – c
+ Khi đó;
Chọn C.
Ví dụ 6: Cho ba số a, b và c theo thứ tự lập thành cấp số cộng. Ba số nào sau đây cũng lập thành cấp số cộng.
Hướng dẫn giải:
Ta chứng minh ba số: a2 + ab + b2; a2 + ac + c2 ; b2 + bc + c2 theo thứ tự lập thành cấp số cộng.
Thật vậy;
=> ba số: a2 + ab + b2; a2 + ac + c2 ; b2 + bc + c2 theo thứ tự lập thành cấp số cộng.
Chọn A.
Ví dụ 7: Cho tam giác ABC có cot theo thứ tự lập thành cấp số cộng. Tìm hệ thức đúng về mối liên hệ giữa ba cạnh a,b và c?
Hướng dẫn giải:
Do theo thứ tự lập thành cấp số cộng nên:
Áp dụng định lí sin trong tam giác suy ra:
thay vào (*) ta được:
=> Ba cạnh của tam giác ABC tạo thành cấp số cộng.
Chọn D.
C. Bài tập trắc nghiệm
Câu 1: Cho a,b và c là 3 số hạng liên tiếp của một cấp số cộng. Hỏi ba số nào sau đây cũng là cấp số cộng.
Lời giải:
Đáp án: B
Khi a, b và c là ba số hạng liên tiếp của cấp số cộng ta chứng minh ba số:
a2 − bc; b2 − ac; c2 − ab cũng là ba số hạng liên tiếp của cấp số cộng.
+ Vì a,b,c theo thứ tự lập thành cấp số cộng nên : a + c = 2b.
Ta chứng minh:
a2 – bc + c2 – ab = 2(b2 – ac)
⇔ a2 + c2 – b(a+ c)= 2b2 – 2ac
⇔ a2 + c2 – b.2b= 2b2 – 2ac ( vì a+c= 2b)
⇔ a2 +c2 + 2ac= 2b2 + 2b2
⇔( a+ c)2 =4b2 2 ⇔ 4b2 = 4b2 ( đúng) => điều phải chứng minh .
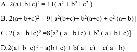
Câu 2: Cho ba số a,b,c theo thứ tự lập thành cấp số cộng. Đẳng thức nào sau đây đúng?
Lời giải:
Đáp án: B
Do a, b và c theo thứ tự lập thành cấp số cộng nên ta có: 2b = a+ c.
=> 3b = a+ b+ c
Ta chứng minh phương án B đúng.
+ Ta có:
9[a2 (b+c)+ b2 ( a+ c)+ c2 (a+ b)]
= 9[ a2(3b –a) + 2b3 + ( 2b –a)2 ( a+b) ]
= 9[ 3a2b - a3 + 2b3 + ( 4b2 – 4ab + a2 ). (a+ b)]
= 9( 3a2b – a3 +2b3+4ab2+4b3 – 4a2b – 4ab2 + a3+ a2b)= 54b3 (1) .
+ Lại có:
Từ (1) và (2) suy ra:
Câu 3: Cho bốn số x, y, z và t theo thứ tự lập thành cấp số cộng. Hỏi đẳng thức nào sau đây là đúng?
Lời giải:
Đáp án: A
*Do bốn số x, y, z và t theo thứ tự lập thành cấp số cộng có công sai nên ta có:
Câu 4: Cho ba số x + 1; y + 3 và z - 3 theo thứ tự lập thành cấp số cộng. Tìm mệnh đề đúng?
Lời giải:
Đáp án: C
Do x + 1; y + 3 và z - 3 theo thứ tự lập thành cấp số cộng có công sai d nên:
Câu 5: Cho ba số x- 1; y+ 1 và z theo thứ tự lập thành cấp số cộng. Tìm mệnh đề đúng?
Lời giải:
Đáp án: C
Do x-1; y+1 và z theo thứ tự lập thành cấp số cộng nên ta có:
Câu 6: Cho các số a2, b2 và c2 lập thành một cấp số cộng có công sai d khác không. Ba số nào sau đây cũng lập thành cấp số cộng.
Lời giải:
Đáp án: D
Do ba số a2, b2 và c2 theo thứ tự lập thành cấp số cộng nên ta có:
a2 + c2 = 2b2
Ta sẽ chứng minh ba số cũng lập thành cấp số cộng; tức là ta đi chứng minh:
+ Ta có:
Vậy ba số cũng lập thành cấp số cộng.
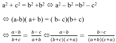
Câu 7: Cho ba số a, b và c dương theo thứ tự lập thành cấp số cộng. Ba số nào sau đây cũng lập thành cấp số cộng.
Lời giải:
Đáp án: C
* Vì a, b, c lập thành cấp số cộng nên ta có a + c= 2b.
Ta chứng minh ba số cũng theo thứ tự lập thành cấp số cộng.
Tức là ta đi chứng minh:
* Ta có: a + c = 2b ⇔ a – b = b – c
⇔ (√a- √b).(√a+ √b)=(√b- √c).(√b+ √c)
theo thứ tự đó lập thành cấp số cộng.
Câu 8: Cho tam giác ABC có tan theo thứ tự đó lập thành cấp số cộng. Hỏi 3 số nào sau đây cũng lập thành cấp số cộng.
Lời giải:
Đáp án: D
Ta có theo thứ tự đó lập thành cấp số cộng nên
=> cosA; cosB; cosC theo thứ tự đó lập thành một cấp số cộng.
Chọn D.
(199k) Xem Khóa học Toán 11 KNTTXem Khóa học Toán 11 CDXem Khóa học Toán 11 CTST
Xem thêm các dạng bài tập Toán lớp 11 có trong đề thi THPT Quốc gia khác:
- Cách tìm số hạng đầu tiên, công sai, số hạng thứ k của cấp số cộng cực hay
- Cách tính tổng n số hạng đầu tiên của cấp số cộng (cực hay có lời giải)
- Tìm điều kiện để dãy số lập thành cấp số cộng cực hay
- Cách chứng minh một dãy số là cấp số nhân (cực hay có lời giải)
- Cách tìm số hạng đầu tiên, công bội, số hạng thứ k của cấp số nhân cực hay
- Cách tính tổng n số hạng đầu tiên của cấp số nhân (cực hay có lời giải)
Tủ sách VIETJACK shopee lớp 10-11 (cả 3 bộ sách):
Đã có app VietJack trên điện thoại, giải bài tập SGK, SBT Soạn văn, Văn mẫu, Thi online, Bài giảng....miễn phí. Tải ngay ứng dụng trên Android và iOS.
Theo dõi chúng tôi miễn phí trên mạng xã hội facebook và youtube:Nếu thấy hay, hãy động viên và chia sẻ nhé! Các bình luận không phù hợp với nội quy bình luận trang web sẽ bị cấm bình luận vĩnh viễn.
- Giải Tiếng Anh 11 Global Success
- Giải sgk Tiếng Anh 11 Smart World
- Giải sgk Tiếng Anh 11 Friends Global
- Lớp 11 - Kết nối tri thức
- Soạn văn 11 (hay nhất) - KNTT
- Soạn văn 11 (ngắn nhất) - KNTT
- Giải sgk Toán 11 - KNTT
- Giải sgk Vật Lí 11 - KNTT
- Giải sgk Hóa học 11 - KNTT
- Giải sgk Sinh học 11 - KNTT
- Giải sgk Lịch Sử 11 - KNTT
- Giải sgk Địa Lí 11 - KNTT
- Giải sgk Giáo dục KTPL 11 - KNTT
- Giải sgk Tin học 11 - KNTT
- Giải sgk Công nghệ 11 - KNTT
- Giải sgk Hoạt động trải nghiệm 11 - KNTT
- Giải sgk Giáo dục quốc phòng 11 - KNTT
- Giải sgk Âm nhạc 11 - KNTT
- Lớp 11 - Chân trời sáng tạo
- Soạn văn 11 (hay nhất) - CTST
- Soạn văn 11 (ngắn nhất) - CTST
- Giải sgk Toán 11 - CTST
- Giải sgk Vật Lí 11 - CTST
- Giải sgk Hóa học 11 - CTST
- Giải sgk Sinh học 11 - CTST
- Giải sgk Lịch Sử 11 - CTST
- Giải sgk Địa Lí 11 - CTST
- Giải sgk Giáo dục KTPL 11 - CTST
- Giải sgk Hoạt động trải nghiệm 11 - CTST
- Giải sgk Âm nhạc 11 - CTST
- Lớp 11 - Cánh diều
- Soạn văn 11 Cánh diều (hay nhất)
- Soạn văn 11 Cánh diều (ngắn nhất)
- Giải sgk Toán 11 - Cánh diều
- Giải sgk Vật Lí 11 - Cánh diều
- Giải sgk Hóa học 11 - Cánh diều
- Giải sgk Sinh học 11 - Cánh diều
- Giải sgk Lịch Sử 11 - Cánh diều
- Giải sgk Địa Lí 11 - Cánh diều
- Giải sgk Giáo dục KTPL 11 - Cánh diều
- Giải sgk Tin học 11 - Cánh diều
- Giải sgk Công nghệ 11 - Cánh diều
- Giải sgk Hoạt động trải nghiệm 11 - Cánh diều
- Giải sgk Giáo dục quốc phòng 11 - Cánh diều
- Giải sgk Âm nhạc 11 - Cánh diều


Giải bài tập SGK & SBT
Tài liệu giáo viên
Sách
Khóa học
Thi online
Hỏi đáp

