Cách tính tổng n số hạng đầu tiên của cấp số nhân (cực hay có lời giải)
Bài viết Cách tính tổng n số hạng đầu tiên của cấp số nhân với phương pháp giải chi tiết giúp học sinh ôn tập, biết cách làm bài tập Cách tính tổng n số hạng đầu tiên của cấp số nhân.
Cách tính tổng n số hạng đầu tiên của cấp số nhân (cực hay có lời giải)
(199k) Xem Khóa học Toán 11 KNTTXem Khóa học Toán 11 CDXem Khóa học Toán 11 CTST
A. Phương pháp giải
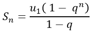
Cho cấp số nhân (un) với công bội q ≠ 1. Khi đó tổng n số hạng đầu tiên được tính theo công thức:
B. Ví dụ minh họa
Ví dụ 1: Cho dãy số (un) xác định bởi . Tính tổng S= u2 + u4 + u6 + ..+ u14
Hướng dẫn giải:
* Ta có: với mọi n.
=> Dãy số (un ) là cấp số nhân với u1 = 32 và công bội q = 2.
* các số u2; u4; u6; ...; u14 lập thành cấp số nhân số hạng đầu u2 = u1 . q = 64 và công bội q' = 2q = 4. Tổng của 7 số hạng u2; u4;...u14 là :
Chọn A.
Ví dụ 2: Cho cấp số nhân có 7 số hạng, số hạng thứ tư bằng 6 và số hạng thứ 7 gấp 243 lần số hạng thứ hai. Hãy tìm số hạng còn lại của cấp số nhân đó.
Hướng dẫn giải:
Gọi cấp số nhân đó là (un) với . Theo đề bài ta có :
Từ (2) ta có:
⇔ q= 3. Thay vào (1) ta được :
Do đó các số hạng còn lại của cấp số nhân là
Chọn D.
Ví dụ 3: Cho cấp số nhân (un) thỏa mãn. . Tính tổng 20 số hạng đầu của cấp số nhân?
Hướng dẫn giải:
Gọi q là công bội của cấp số nhân. Theo giả thiết ta có:
Tổng 20 số hạng đầu của cấp số nhân là:
Chọn C.
Ví dụ 4: Cho cấp số nhân (un) thỏa mãn: . Tính u1?
Hướng dẫn giải:
Theo giả thiết ta có:
Lấy (1) chia (2) vế chia vế với u1 ≠ 0 ta được :
* Với q = 6 => u1 = 1.
* Với
Vậy số hạng đầu tiên của cấp số nhân là 1 hoặc 36.
Chọn B.
Ví dụ 5: Cho cấp số cộng (un) thỏa mãn; . Hỏi tổng bao nhiêu số hạng đầu tiên bằng 3069?
Hướng dẫn giải:
* Trước tiên ta đi tìm số hạng đầu tiên và công bội q của cấp số nhân.
Theo giả thiết ta có:
Từ (1) và (2) vế chia vế ( với u_1.q≠0) ta được:
hay q = 2 thay vào (1) ta được u1 = 3
*Ta có tổng của n số hạng đầu tiên của cấp số nhân là:
Kết luận tổng của 10 số hạng đầu tiên bằng 3069.
Chọn D.
Ví dụ 6: Tính tổng Sn = 3 + 32 + 33 + ....+ 3n
Hướng dẫn giải:
Ta có dãy số 3; 32, 3333; ..;3n là một cấp số nhân có n số hạng. Số hạng đầu là u1 = 3 và công bội q= 3.
=> Tổng của n số hạng đầu tiên là:
Chọn A.
Ví dụ 7: Tính
Hướng dẫn giải:
Ta có:
Có dãy số 32; 34;..; 32n là cấp số nhân với n số hạng, có số hạng đầu u1 = 32 và công bội q = 9. Do đó
Có dãy số là cấp số nhân với n số hạng, có số hạng đầu
và công bội
. Do đó
Vậy
Chọn C.
Ví dụ 8: Tính
Hướng dẫn giải:
Ta có
Vậy
Chọn B.
Ví dụ 9: Cho cấp số nhân (un) có u1 = 2 và u2 = −6. Biết rằng Sn = −29524 , tính un.
Hướng dẫn giải:
Ta có u2 = u1 . q nên −6 = 2q ⇔ q = −3
Ta có
Chọn C.
C. Bài tập trắc nghiệm
Câu 1: Tính tổng
Lời giải:
Đáp án: A
Ta có:
Nhận xét: dãy số 3,32, 33, 34,..., 320 là cấp số nhân với số hạng đầu là u1 = 3 và công bội q= 3.
=> Tổng 20 số hạng của dãy số là:
Câu 2: Tính tổng
Lời giải:
Đáp án: B
Ta có dãy số (-1),(-1)2,(-1)3,…,(-1)41 là cấp số nhân gồm 41 số hạng với số hạng đầu là u1 = −1 và công bội q = −1.
Do đó tổng S bằng.
Câu 3: Cho cấp số nhân (un) có u1 = 3 và công bội là số nguyên tố bé nhất. Tìm k, biết Sk = 189.
Lời giải:
Đáp án: D
Số nguyên tố bé nhất là 2 nên q = 2.
Ta có
Theo giả thiết, ta có:
Câu 4: Tính tổng
Lời giải:
Đáp án: B
Ta có dãy số theo thứ tự lập thành cấp số nhân với n số hạng. Có số hạng đầu là:
Tổng n số hạng đầu tiên của dãy là:
Câu 5: Tính tổng sau
Lời giải:
Đáp án: B
* Nhận xét:
Nên:
Vì 10+ 102 + 103 + ..+ 10n là tổng của cấp số nhân; số hạng đầu u1 =10, công bội q = 10 nên
Câu 6: Tìm số hạng đầu tiên của cấp số nhân biết công bội q= 3, tổng số các số hạng là 728 và số hạng cuối bằng 486.
Lời giải:
Đáp án: A
Theo đề bài ta có:
Thay q= 3 vào (*) ta được :
Câu 7: Tính tổng
Lời giải:
Đáp án: A
Ta có:
Câu 8: Cho dãy số (un) xác định bởi và
.Tổng
bằng
Lời giải:
Đáp án: B
Đặt
suy ra trong đó là cấp số nhân với công sai
Do đó
Câu 9: Cho cấp số nhân (un) thỏa mãn: u1 = 4; q = 2 và Sn = 2044. Tính S2n?
Lời giải:
Đáp án: D
*Tổng của n số hạng đầu tiên của dãy là:
* Khi đó:
(199k) Xem Khóa học Toán 11 KNTTXem Khóa học Toán 11 CDXem Khóa học Toán 11 CTST
Xem thêm các dạng bài tập Toán lớp 11 có trong đề thi THPT Quốc gia khác:
- Cách chứng minh một dãy số là cấp số nhân (cực hay có lời giải)
- Cách tìm số hạng đầu tiên, công bội, số hạng thứ k của cấp số nhân cực hay
- Tìm điều kiện để dãy số lập thành cấp số nhân cực hay
- Cách chứng minh đẳng thức dựa vào tính chất của cấp số nhân cực hay
- Bài toán thực tế về cấp số nhân (cực hay có lời giải)
- Bài tập về cấp số nhân nâng cao (cực hay có lời giải)
Tủ sách VIETJACK shopee lớp 10-11 (cả 3 bộ sách):
Đã có app VietJack trên điện thoại, giải bài tập SGK, SBT Soạn văn, Văn mẫu, Thi online, Bài giảng....miễn phí. Tải ngay ứng dụng trên Android và iOS.
Theo dõi chúng tôi miễn phí trên mạng xã hội facebook và youtube:Nếu thấy hay, hãy động viên và chia sẻ nhé! Các bình luận không phù hợp với nội quy bình luận trang web sẽ bị cấm bình luận vĩnh viễn.
- Giải Tiếng Anh 11 Global Success
- Giải sgk Tiếng Anh 11 Smart World
- Giải sgk Tiếng Anh 11 Friends Global
- Lớp 11 - Kết nối tri thức
- Soạn văn 11 (hay nhất) - KNTT
- Soạn văn 11 (ngắn nhất) - KNTT
- Giải sgk Toán 11 - KNTT
- Giải sgk Vật Lí 11 - KNTT
- Giải sgk Hóa học 11 - KNTT
- Giải sgk Sinh học 11 - KNTT
- Giải sgk Lịch Sử 11 - KNTT
- Giải sgk Địa Lí 11 - KNTT
- Giải sgk Giáo dục KTPL 11 - KNTT
- Giải sgk Tin học 11 - KNTT
- Giải sgk Công nghệ 11 - KNTT
- Giải sgk Hoạt động trải nghiệm 11 - KNTT
- Giải sgk Giáo dục quốc phòng 11 - KNTT
- Giải sgk Âm nhạc 11 - KNTT
- Lớp 11 - Chân trời sáng tạo
- Soạn văn 11 (hay nhất) - CTST
- Soạn văn 11 (ngắn nhất) - CTST
- Giải sgk Toán 11 - CTST
- Giải sgk Vật Lí 11 - CTST
- Giải sgk Hóa học 11 - CTST
- Giải sgk Sinh học 11 - CTST
- Giải sgk Lịch Sử 11 - CTST
- Giải sgk Địa Lí 11 - CTST
- Giải sgk Giáo dục KTPL 11 - CTST
- Giải sgk Hoạt động trải nghiệm 11 - CTST
- Giải sgk Âm nhạc 11 - CTST
- Lớp 11 - Cánh diều
- Soạn văn 11 Cánh diều (hay nhất)
- Soạn văn 11 Cánh diều (ngắn nhất)
- Giải sgk Toán 11 - Cánh diều
- Giải sgk Vật Lí 11 - Cánh diều
- Giải sgk Hóa học 11 - Cánh diều
- Giải sgk Sinh học 11 - Cánh diều
- Giải sgk Lịch Sử 11 - Cánh diều
- Giải sgk Địa Lí 11 - Cánh diều
- Giải sgk Giáo dục KTPL 11 - Cánh diều
- Giải sgk Tin học 11 - Cánh diều
- Giải sgk Công nghệ 11 - Cánh diều
- Giải sgk Hoạt động trải nghiệm 11 - Cánh diều
- Giải sgk Giáo dục quốc phòng 11 - Cánh diều
- Giải sgk Âm nhạc 11 - Cánh diều


Giải bài tập SGK & SBT
Tài liệu giáo viên
Sách
Khóa học
Thi online
Hỏi đáp

